Кернеуі 35/10 кв «Қараоба» қосалқы станциясы


МАЗМҰНЫ
КІРІСПЕ . . . . . . … . . . ……… . . . 3
1 НЕГІЗГІ БӨЛІМ . . . 4
1. 1 Кернеуі 35/10 кВ «Қараоба» қосалқы станциясына бастапқы берілгендер . . . 4
2 ТЕХНОЛОГИЯЛЫҚ БӨЛІМ . . . 5
«Қараоба» 35/10 кВ қосалқы стациясының электр жүктемелерін есептеу . . . 5
2. 1 Жүктемелер графигін тұрғызу . . . 5
2. 2 Электр энергияның мөлшері . . . 9
2. 3 Күштік трансформатор . . . 10 2. 4 Қысқа тұйықталу тоғын анықтау . . . 11
2. 5 Қосалқы станцияның негізгі құрылғыларын таңдау . . . 15 2. 6 35 кВ кернеу желісіндегі айырғыш таңдау . . . 20
2. 7 10 кВ кернеу желісіндегі ажаратқыш таңдау . . . 21
2. 8 35 кВ кернеу желісіндегі айырғыш таңдау . . . 22
2. 9 Тоқ және кернеудiң өлшеу трансформаторларын таңдау . . . 23
3 ЕҢБЕКТІ ЖӘНЕ ҚОРШАҒАН ОРТАНЫ ҚОРҒАУ БӨЛІМІ . . . 26
3. 1 Оперативті қызмет көрсету және жұмыстарды орындау . . . 26
3. 2 Өнбойдың жалғағыш жолағының кедергісі . . . 28
ҚОРТЫНДЫ . . . 29
ҚОЛДАНЫЛҒАН ӘДЕБИЕТТЕР ТІЗІМІ . . . 30
КІРІСПЕ
Электр энергиясын қолданатын кез-келген кәсiпорын оны әрбiр бөлiмшесінде және әрбiр электр қондырғысында ұтымды және үнемдеп пайдалануы керек. Кез келген объекттiні жобалау сатысында осының барлығы назарға алынуы тиіс. Өндiрiстің ерекше айырмашылығы ол яғни үлестiрiлу және электр энергиясын тұтынуы бiр уақытта жүргізіледі. Өндірілген энергиямен қолданылған энергия көлемі әрқашан бірдей болып келеді, өйткені өндірілген көлемде электр энергиясын сақтап және белгілі көлемде жинау мүмкін емес. Мемлекеттер үшiн экономикалық қызықтыруларының жасау Ұлттық энергетикалық жүйенiң сүйемелдеуi үшiн өте маңызды. Қазақстан рыногына алдыңғы қатарлы әлемдік өндірушілердің жаңа заманғы коммутациялық жабдықтары ене бастады. Қажетті жағдайларда отандық өнімге жалпы бейімделу отандық стандарттарға және республикадағы қажетті сертификацияға сай келетін, көбірек жетілдірілген импорттық жабдықтар және электротехникалық материалдар қолданумен ақталады.
Қосалқы станцияны элетрмен жабдықтау тәсілдері берілген жұмыстың тақырыбы болып табылады. Өнеркәсіптік электрониканың іске асыру қажеттілігін ғылыми - техникалық процестің жылдамдатылуын айтады. Қазіргі заманда өндірістік кәсіпорынның электр жабдықтау жүйесінде жарықтандырудың, технологиялық процестің, автоматтандырудың сенімді пайда болуы, сондай-ақ жобалау кезінде сенімділік жағына көп көңіл бөлінуі, электромагнитті бірігу мен электрэнергияны сапалы қамтамасыз етуі, оперативті автоматтандыру мен релейлік қорғаудың селективтілігі дамуға тез әсер етеді.
Елдердің бірдей энергия жүйесіне үлкен сұранысына, өнеркәсіптің даму жағдайымен өндірістік кәсіпорынның электр жабдықтау әдістеріне жаңалық ендіруге, үлкен масштабтар бойынша диспетчерлі істелетін өнеркәсіпті енгізуге, электр энергиясын үнемдеуге пайдалы жұмыстар жүргізілуі ескеріледі. Электр энергиясын үнемдеудің жетілуімен электр энергиясын тарату жүйесінің мүлтіксіз күрделі іс-шешімі, КРУ құрылуының рационалды орындалуы, трансформатор қосалқы станциясының сонымен қатар күрделі электр жабдықтау жүйесінің оптимизациясы жүргізіледі.
Электр жабдықтау жүйесін құрудағы көптеген факторларды міндетті түрде ескеру керек. Бөлек элементтердің сенімді қоректену категориясы, пайдаланатын қуаты, пайдаланатын жүктеме графигі, мысалы электр пеші; жүктеме мінезі, тез айнымалы жүктеме соғуының болуы; электр жүктемесінің генпланда орналасуы; қосалқы станция қуаты мен саны және басқа да электр энергияны пайдалану пунктері; пайдаланатын кернеуі: орналасу, қуат, кернеу және басқа да орналасқан нәр беруші параметрлер: энергетикалық жүйенің сұранысы, бірегей қоректену есебі, басқаша пайдаланатындар: апаттық және апаттық жағдайдан кейінгі режимдердің сұранысы, қоршаған ортаның шамасы және т. б.
1 НЕГІЗГІ БӨЛІМ
1. 1 Кернеуі 35/10 кВ «Қараоба» қосалқы станциясына бастапқы берілгендер.
1. 1 Ішкі энерго жүйенің сұлбасы
1. 2 10 кВ шинадағы тәуліктік жүктеме графигі
Тұтынушылардың категориясы бойынша проценттік көлемі:
1-ші категория тұтынушылары -10% қысқы мерзiмдегі қазандық.
2-ші категория тұтынушылары -20%
3-ші категория тұтынушылары -70%
1. 4 Климатические условия:
Қоршаған ортаның есепті температурасы:
минималды - 35 0 С
максималды + 45 0 С
орташа жылдық + 10 0 С
Қар жамылғысының қалыңдығы - 16 см.
Жер қабаты ( тас аралас сазды топырақ) р = 100 Ом. м.
Тұздану пайызы - 2, 5: 3, 2 %
Жер асты суларының деңгейі - 3, 2:4, 4 м
Жер асты суларының тасығыштығы - тасымайды
Жылдағы көкмұздақ күндердің саны - 10-15 күн
Жылдағы жазғы күндер саны - 210 күн
Жылдағы қысқы күндер саны - 185 күн
Жылдағы найзағайлы күндердің орташа ұзақтығы - 38 сағат
2 ТЕХНОЛОГИЯЛЫҚ БӨЛІМ
«Қараоба» 35/10 кВ қосалқы стациясының электр жүктемелерін есептеу
2. 1 Жүктемелер графигін тұрғызу
Р расч =2, 86 МВт - «Батыс Қазақстан ТЭК» АҚ - дан алынған электр жүктемелерінің анықтамалары негізінде:
Жазғы жүктеме графигі үшін:
=(1, 6∙0, 82-0, 5) 2. 86 =2. 32 МВт (2. 1)
=(2, 0∙0, 82-1, 0) 2. 86 =1. 83 МВт
=(2, 2∙0, 82-1, 2) 2. 86 =1. 73 МВт
=(2, 3∙0, 82-1, 3) 2. 86 =1. 68 МВт
=(2, 3∙0, 82-1, 3) 2. 86 =1. 68 МВт
=(2, 3∙0, 82-1, 3) 2. 86 =1. 68 МВт
=(2, 2∙0, 82-1, 2) 2. 86 =1. 44 МВт
=(1, 6∙0, 82-0, 6) 2. 86 =2. 03МВт
=(1, 0∙0, 82+0, 0) 2. 86 =2. 35МВт
=(0, 2∙0, 82+0, 8) 2. 86 =2. 75 МВт
=2. 86 МВт
=(0, 3 ∙0, 82 +0, 7) 2. 86 =2. 7 МВт
=(0, 6∙0, 82+0, 4) 2. 86 =2. 55 МВт
=(0, 4∙0, 82+0, 6) 2. 86 =2. 65 МВт
=(0, 2∙0, 82+0, 8) 2. 86 =2. 75 МВт
=(0, 4∙0, 82+0, 6) 2. 86 = 2. 65МВт
=(0, 7∙0, 82+0, 3) 2. 86 =2. 5 МВт
=(0, 4∙0, 82+0, 6) 2. 86 =2. 65 МВт
=(0, 5∙0, 82+0, 5) 2. 86 =2. 6 МВт
=(0, 6∙0, 82+0, 4) 2. 86 =2. 55 МВт
=(0, 5∙0, 82+0, 5) 2. 86 =2. 6 МВт
=(0, 4∙0, 82+0, 6) 2. 86 =2. 65 МВт
=(0, 3∙0, 82+0, 7) 2. 86 =2. 7 МВт
=(0, 9∙0, 82+0, 1) 2. 86 = 2. 40 МВт
мұндағы К
- қысқы тәулік iшiндегі графика жүктемелерiнің тығыздығының коэффициентi К
=0, 8 болса Т
мах
=5500 сағат.
мұндағы К 2 - жазғы тәулік iшiндегі графика жүктемелерiнің тығыздығының коэффициентi К 2 =0, 82 болса Т мах =5500 сағат
Т мах - аралас жүктеме кезіндегі (өндірістік, коммуналдық, ауылшаруашылық) максимал жүктемені қолдану уақыты;
Рmax - максимальді тұтынатын қуат
Р i -бір тәулік ішіндегі жүктеме .
Сурет 2 Жазғы мезгілдегі тәуліктік жүктеме
Қысқы жүктеме графигі үшін:
=(1, 3∙0, 8-0, 3) 2, 86=2, 12 МВт
=(2, 0∙0, 8-1, 0) 2, 86=1, 72 МВт
=(2, 1∙0, 8-1, 1) 2, 86=1, 66 МВт
=(2, 2∙0, 8-1, 2) 2, 86=1, 6 МВт
=(2, 2∙0, 8-1, 2) 2, 86=1, 6 МВт
=(2, 1∙0, 8-1, 1) 2, 86=1, 66 МВт
=(1, 9∙0, 8-0, 9) 2, 86=1, 77 МВт
=(1, 4∙0, 8-0, 4) 2, 86=2, 06 МВт
=(0, 7∙0, 8+0, 3) 2, 86=2, 46МВт
=(0, 3∙0, 8+0, 7) 2, 86=2, 69МВт
=(0, 4∙0, 8+0, 6) 2, 86=2, 63 МВт
=2, 86МВт
=(0, 9∙0, 8+0, 1) 2, 86=2, 35 МВт
=(0, 8∙0, 8+0, 2) 2, 86=2, 4 МВт
=(0, 6∙0, 8+0, 4) 2, 86=2, 52 МВт
=(0, 6∙0, 8+0, 4) 2, 86=2, 52 МВт
=(0, 7∙0, 8+0, 3) 2, 86=2, 46 МВт
=(0, 2∙0, 8+0, 8) 2, 86=2, 75 МВт
=2, 86МВт
=(0, 1∙0, 8+0, 9) 2, 86=2, 8 МВт
=(0, 2∙0, 8+0, 8) 2, 86=2, 75 МВт
=(0, 4∙0, 8+0, 6) 2, 86=2, 63 МВт
=(0, 6∙0, 8+0, 4) 2, 86=2, 52 МВт
=(0, 8∙0, 8+0, 2) 2, 86=2, 4 МВт
К
- тәулік iшiнде графиканың жүктемелердiң тығыздығының коэффициентi К
=0, 8
Р max - максимальді тұтынатын қуат
Р i -бір тәулік .
35/10 кВ «Қараоба» қосалқы станциясының электрлік жүктеме графигі:
Сурет 3- Қысқы мезгілдегі тәуліктік жүктеме
Егер, мысалы, 165 күн аралығында тұтынушылар жазғы график бойынша, ал 200 күн аралығында қысқы график бойынша жұмыс істейтін болса, онда жылдық графиктің тұрғызылуы(2. 3-сурет)
Сурет 4 - Электрлік жүктемелердің жылдық графигі
2. 2 Электр энергияның мөлшері
Алынған жылдық электрлік жүктемелер графигін сараптай отырып, 35/10кВ «Қараоба» қосалқы станциясының тұтынатын электр энергиясының мөлшерін анықтаймыз.
(2. 1)
W год =2, 86*730+2, 802*365+2, 745*730+2, 67*365+2, 63*730+2, 52*1095+
+ 2, 46*730+2, 4*730+2, 35*365+2, 12*365+2, 06*365+1, 77*365+1, 72*365++1, 66*730+1, 6*730 = 20355, 7 МВт*ч
Орташа жүктемені анықтаймыз.
Р ср =W год /8760= 20355, 7/8760=2, 32 МВт (2. 2)
Толтыру коэффициенті
К з =Р ср /Р max =2, 32/2, 86=0, 8
(2. 3)
Максимал жүктеменiң қолданылу ұзақтығы: жылдық график ұзақтықтығына сәйкес.
T max =W год /P max =20355, 7/2, 86=7117 часов (2. 4)
2. 3 Күштік трансформатор
Екi трансформаторлы қосалқы станциядағы трансформаторлардың қуатын жүктеме графикасын есепке ала отырып таңдаймыз
(2. 5)
мұндағы
- трансформатордың номиналды қуаты
- қосалқы станцияның максималды жүктемесі ( компенсаторлық құрылғы есебімен ) .
(2. 6)
мұндағы: - қосалқы станцияның максималды реактивті қуаты;
МВАр (2. 7)
Мұндағы:
- дің берілгені бойынша анықталады.
Компенсациялайтын құрылғының реактивті қуаты:
МВАр
қосалқы станцияның базалық қорегі U=35 кВ болған жағдайда. Бұдан:
МВА
МВА
Трансформаторларды таңдау олардың санын, түрі мен қуатын анықтаумен байланысты. Трансформаторлардың негізгі параметрлеріне олардың номиналды қуаты, кернеуі, тоғы, қысқа тұйықталу кернеуі, бос жүріс тоғы, бос жүріс және қысқа тұйықталу шығындары жатады. Трансформаторлардың түрі мен қуатын анықтауды техникалық экономикалық есептеулердің негізінде жүргізу керек.
ПУЭ және ПТЭ талаптарына сәйкес каталог бойынша түрі ТМН-4000/35 с
кВА. күштік трансформатор тандадым.
U Н =35/10кВ;
P x =5. 6кВТ
P к. з =33. 5кВТ
U К =7, 5%
Сүрет 5-Электр қосуларының бас схемасы
2. 4 Қысқа тұйықталу тоғын анықтау.
Қысқа тұйықталу тоғы туралы жалпы мағлұмат.
Тұйықталу - алдын-ала не кез-келген, нормалы жұмыс режимімен алдын-ала қарастырылмаған өзара немесе жермен әртүрлі үш нүкте арқылы электр байланысқан электр құрылғы.
Қысқаша тұйықталу - бұл электр орнатуларының бұталарындағы өзінің пайда болған орнына жиналатын тоқтар, ұзақ мерзімді режимдегі ең үлкен шекті тоқты сәл асып, артқанда пайда болатын тұйықталу. Жердегі қысқаша тұйықталу - кез-келген бір элементімен жермен байланысқан электр орнатуларында болатын қысқаша тұйықталу.
Қысқа тұйықталу (қ. т) дегніміз-фазалардың өзара тұйықталуынан, ал оқшауланған нейтралда фазының жерге тұйықталуынан пайда болатын электр қондырғысының қалыпты жұмысының бұзылуы. Осынған қарап қосалқы станция жабдықтарын тандайды.
Қысқа тұйықталу кезінде фаза токтары өсіп, кернеу азаяды. Қысқа тұйықталу орнына, ток жолының кедергісімен бірге ауыспалы кедергі жасайтын электр доғасы пайда болған қысқа тұйықталу ауыспалы кедергісіз металдық қысқа тұйықталу деп аталады.
Электрлік тізбектерді пайдаланған кезде бұл тізбектерде қысқаша тұйықталудың жиі пайда болуының әсерінен энергожүйесінің қалыпты жұмыс жасау режимі бұзылады. Қысқаша тұйықталу тоғының электро динамикалық және термиялық әсер етуші күштерінен өткізгіштер мен электр құрылғылардың істен шығып қосалқы станциядағы негізгі құрылғылардың бұзылуына әкеліп соқтыруы мүмкін. Берілген орнатуға жіберу үшін электр желісі мен электр құрылғыларының қалыпты жұмыс режимде токтар ағымы болады. Электр желісіндегі құрылғылармен сымдар оқшауламасының электр төзімділігі бұзылса, қысқа тұйықталудың апаттық режимі кенеттен қарсы тұрып, токтардың тез көбейюін шақырып үлкен түсініктерге қол жеткізді. Қысқа тұйықталу себебі мыналар: электр құрылғылар мен электросымдарының тежеу заттарының бұзылуы оқшаулағышты материалдардың жаймен ескеру мен асқын кернеуден, әуе желісінің жалаң сымын айқастырып лақтыру; кабельдік желінің механикалық бұзылу себебі ор қазғаннан немесе тіреудің құлауынан; әуе желісі сымының үзілуінен, кейде станция жұмысшыларының қателігінен болуы, қосалқы станциялардың желісіне байланысты.
Қысқа тұйықталу тоғын есептеу (ҚТ) - яғни:
- Есептеу схемасы бойынша алмастыру схемасын құру, қысқа тұйықталу нүктесін таңдау;
- Кедергіні есептеу;
- Әрбір таңдалған нүктеде 3 фазалы, 2 фазалы және 1 фазалы қысқа тұйықталу нүктесін таңдау.
Қысқаша тұйықталу тоқтарын анықтау қосалқы станцияның электр жабдықтарын таңдау мен тексеру үшін, сондай-ақ релейлі қорғаныс және автоматика құрылғыларын таңдау үшін жүргізіледі.
Электрмен қамту обьектісіне қойылған барлық электр қондырғылар қысқаша тұйықталу тоғына шыдамды болуы және осы қ. т. есептеулеріндегі рұқсат етілген мәндерінен аспауы керек.
Қысқаша тұйықталу тоғының түрлері:
- үш фазалы немесе симметриялы, үш фазаның өзара қысқаша тұйықталуы;
- екі фазалы, екі фазаның өзара қысқаша тұйықталуы;
- бір фазалы, бір фазаның жерге қысқаша тұйықталуы;
- жерге екі ретті тұйықталу, екі фазаның өзара және жермен қысқаша тұйықталуы.
Тізбектегі қысқаша тұйықталулардың пайда болу себебі:
- электр қондырғылардың бөлшектерінің оқшаулағыштарының зақымдалуы;
- қызмет көрсететін жұмысшылардың қондырғыларды дұрыс қарамауынан;
- қондырғылардың тоқ жүретін бөліктерін бітеуінен.
ҚТ тоғын салыстырмалы бірлікте есептеймиз.
Ұзындығы ВЛ-35кВ l= 5 км
Ары қарай есептеу үшiн [3]
S б =100 МВА
U б1 =37кВ
U б2 =10, 5кВ
(2. 8)
(2. 9)
Жүйенiң кедергiсi Хс=0, 2 с. б . («БҚ ТЭК» АҚ-дан алынған мәлімет бойынша)
Кедергі ВЛ-35кВ
Сым қимасы АС-120
r о =0, 249Ом/км
Х о =0, 414 Ом/км
Equation. 3 (2. 10)
(2. 11)
Трансформаторлар кедергісі
r
т
=
(2. 12)
Z
т
=
(2. 13)
X
т
=
=1. 88о. е (2. 14)
Қ. Т. нүктесіндегі кедергіні анықтаймыз
К-1 қысқа тұйықталу нүктесі:
Z к-1 =x c +x л +r л =j0, 2+ j 0, 148+ 0, 089=0, 089+ j0, 348=0, 359 о. е. (2. 15)
Z к-2 = Z к-1 + x тр =0, 089+j0, 348+ j1, 88=0, 089+ j2, 228=2, 23 о. е. (2. 16)
Үшфазалы Қ. Т. тоғын анықтаймыз:
(2. 17)
(2. 18)
Екіфазалы Қ. Т. тоғын анықтаймыз:
(2. 19)
(2. 20)
Қ. Т. соғу тоқты анықтаймыз:
К-1.
Соғу коэффициенті: К
у
=(1+
)
Т
а
=
(2. 21)
К
у
=(1+
) =1, 43 (2. 22)
К-1 нүктесіндегі соғу тоғы
i
у
=
(2. 23)
К-2 қысқа тұйықталу нүктесі:
Соғу коэффициентін анықтаймыз
Т
а
=
(2. 24)
К
у
=(1+
) =1, 88 (2. 25)
(2. 26)
Кесте 2- Барлық қысқа тұйықталу тоқтарын кестеге енгіземіз


Соғу тоғы
i у в кА
2. 5 Қосалқы станцияның негізгі құрылғыларын таңдау
Қысқа тұйықталу тоғын есептегеннен кейін қосалқы станциядағы электрлік аппараттарды және шинаны: айырғыштырды, ажыратқыштарды, разрядниктер мен ток және кернеу трансформаторларын, өзіндік қажет трансформаторларды таңдаймыз.
10 кВ жағына қатты шинаны таңдау
Жұмыс тоғын анықтаймыз
I
раб.
= S
н
/
3
U
н
= 2, 95/1, 73*10=170, 3 А (2. 27)
К қор ккоэффициент тандаймыз.
Қор коэффициенті К зап. = 1, 2
I
max
=К
зап
I
раб
= 1, 2*170, 3= 204, 4 А (2. 28)
Каталог бойынша өлшемі g =25*3мм 2 болатын тiк төртбұрышты алюмин шинасын таңдаймыз
Мүмкіндік ток I доп. =165 А. (2. 29)
I max =204, 4А< I доп =265А. (2. 30)
Таңдаулы шиналары мүмкiн тоқтың шарты бойынша өтедi.
Шинаны қыздыру табандылығына тексеремiз.
g
мин.
=
В
к
/С
мм
2
мұндағы С=91 алюминді шиналар үшін тұрақты
В
К
=I
K
(3) 2
(t
расч
+Т
а
) кА
2
сек. (2. 31)
t расч = 0, 1-0, 3 секунд қт - дың есептiк ұзақты.
В К =2. 59 2 *(0, 2+0, 007) =1. 39кА (2. 32)
g мин = 12. 96 мм 2
g мин <<g расч =75мм 2 (2. 33)
шиналар қыздыру табандылығы бойынша өтедi.
Техникалық берiктiкке шиналарды тексеруi.
Шинаны көлденең орналастырамыз. Шиналарды тiрек изоляторына жалпағынан жинақтаймыз. Шиналар көлденең орналасқан кезде олардың инерция моментi тең болады:
I=в
h
3
/6=0, 4*4/6=4, 27см
4
(2. 34)
аралық ұзындығы (тiрек изоляторлардың арасындағы қашықтық яғни) l=1, 2 м.
Фазалар ара қашықтығы
а=0, 8 м.
Фазалардың өзара әрекеттесуiнен шина материалдарының кернеуiн анықтаймыз:
W Ф =bh 2 /3=0, 4*4 2 /3 =2, 1 см 3 (2. 35)
Күштiң перпендикуляр әсерi, оське қатысты шинаның момент кедергiсі:
(2. 36)
G ф =0, 5 МПа<G доп =50 мПа (2. 37)
G доп =50 мПа, алюмин шиналар үшін.
Үш фазалық ҚТ жанындағы ең үлкен меншiктi күш, Н/м, анықталады:
(2. 38)
мұндағы
- соғу тоғы;
l
- Фазалар ара қашықтығы
Шиналардың периметрi фазалар арасындағы қашықтықтан едәуiр көп,
Сондықтан форманың коэффициентi К ф = 1 тең.
(2. 39)
яғни таңдалған шиналар термиялық берік.
10 кВ номиналды кернеуіне тiрек изоляторларды таңдаймыз: ИОС-10 кВ
номиналды кернеу U н =10кВ
изоляторды бүлдіретін механикалық жүк F раз =4 кН
Изолятордың басына мүмкiн болатын жүктеме:
F мүм =0, 6·F раз
Мұндағы: F қир - изоляторды бүлдіретін механикалық жүк;
F мүм - өтпелі изоляторлар механикалық жүктеме бойынша өтедi, ньютон бойынша изоляторға мүмкiн күш.
берілген мәндерді қою арқылы изоляторды бүлдіретін механикалық жүк табамыз:
F доп =0, 6·4=2, 4кН (2. 40)
F РАСЧ ≤F ДОП
Формулагға мәндер қою арқылы табамыз:
(2. 41)
мұндағы:
-үшфазалы қысқа тұйықталу кезіндегі соғу тоғы;
l -тірек изоляторлар ара қашықтығы, м;
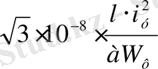
а - фазалар арақашықтығы, м;
k h - шинаның биiктiгiн түзету коэффициентi.
F расч =11, 2<200 Н , тіректік изоляторы төзімділік жағынан сенімді.
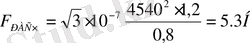
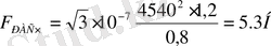
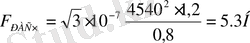
КРУН-10кВ өтпелі изляторларын таңдаймыз.
ИП
10/1000 түрдегі өтпелі изолятор таңдаймыз
U н =10кВ; I н =1000А
F доп =750Н
(2. 42)
(2. 43)
F доп = 750Н > F расч 5. 3Н (2. 44)
35 кВ тұсына жұмсақ шиналар таңдау.
Жұмыс тоқтарын анықтаймыз:
мұндағы: I Ж - қосалқы станцияның жоғарғы кернеу жағындағы жұмыс тоғы;
S max - қосалқы станцияның максимал қуаты МВА,
I
рабоч.
=
(2. 45)
I
max
=К
зап
I
раб
=1, 2·48. 7=58. 5А (2. 46)
Шиналардың қимасын экономикалық тоқтың тығыздығы бойынша таңдаймыз:
мұндағы: F э - экономикалық тоқтың тығыздығы бойынша таңдалған желілерді қоректендіруші қима (мм 2 ) ;
I max - қосалқы станцияның жоғарғы кернеу жағындағы жұмыс тоғы
j Э - экономическалық ток тығыздығы, А/мм 2 .
j Э =1 болса Tmax>5000 сағат
(2. 47)
330 А мүмкін ток болатын шиналарды таңдаймыз
АС өткізгіші арқылы орындалған жұмсақ шиналар қолданылады.
АС -95 g акт =95мм 2
I доп = 330А>I max =58. 5A (2. 48)
Таңдалған шинаны термиялық беріктікке тексерейік.
g
мин
=
Вк/С; В
К
=
I
K
(3)
2
(t
расч
+Т
а
) кА
2
сек
В к = 4. 35*(0, 2+0, 012) =4. 01 кА 2 *сек. (2. 49)
g
мин
=
(2. 50)
сым термиялық беріктік шарты бойынша сай келеді.
т. к. g
мин
=22 мм
2
<95 мм
2
(2. 51)
Электродинамикалық беріктікке тексермейміз
т. к. i. y =8. 79 кА < I э. д. y =50кА (2. 52)
Жұмсақ шинаны тәжілікке тексерейік:
Эномикалық тоқ тығыздғы бойынша таңдалған 35 кВ кернеу шиналарын сонымен қатар қосымша тәжілікке тексереміз, себебі қосалқы станциядағы сым арақашықтығы желілерге арақашықтығына қарағанда аз.
Электр өрісінің бастапқы критикалық кернеуін анықтаймыз:
Е
0
=30, 3
m
(1+е
)
мұндағы; m- сымның бетіндегі бүдірлікті ескеретін коэффициент (көп орамды сым үшін ) .
m=0, 82;
r 0 - өткiзгiштiң есептi радиусы
Е
0
=30, 3х0, 82(1+е
) =33, 7 кВ/см (2. 53)
Сымнын айналасындағы кернеу мәні
Е
факт
=
=
(2. 54)
мұндағы: U - сызықтық кернеу, кВ;
D СР - көршілес фазалар ара қашықтығы, см;
Тәжілік шарты:
1, 07Е факт <0, 9Е 0 (2. 55)
1, 07·6, 9кВ<0, 9·33, 7кВ,
7, 38кВ<30, 3кВ
Таңдалған сым тәжілік шарты бойынша сай келеді.
Жұмсақ шиналарды порталдарға іліп қояды. Ілінбелі оқшаулағыш ретінде әйнеті оқшаулағыш қолданамыз. :
Оқшаулағыш түрі ПС-70Е бір ілгіште жеті дана.
Ілінбелі арматура үшін келесі бөлшектер қолданады:
Бекіту түйіні КГП-7.
Ілінбелі бөлшек У1-7-16.
Ілінбелі қысқыш ПГН-2-6.
Ілінбелі тартқыш үшін ПС-70Е қолданамыз бір ілгіште төрт дана қолданамыз.
Желілі арматура:
Скоба СК-7-1А - 2 дана;
Серьга СР-7-16 - 1 дана;
Ілінбелі бөлшек У-1-7 - 16 дана;
Аралық бөлше ретінде ПРТ-7-1 - 1 дана
Керiп кигiзiлген қысқыш - 1 дана.
Шиналар үшiн тiрек оқшаулағыштар - 35кВ
Оқшаулағыш түрі ОНС-35
Номиналды кернеу U Н =35кВ.
F доп =19500Н
2. 6 35 кВ кернеу желісіндегі айырғыш таңдау
Вакуумды маркасы ВБ9Т
35/630 УХЛ1айырғышты таңдаймыз.
Айырғыш - бұл тоқты қосып және тың ажыратуы үшiн қолайлы коммутацилық аппарат.
Айырғыштар жұмыс жағдайлары бойынша алдын ала таңдалады:
iшкi немесе сыртқы қондырғылар, аязға төзiмдiлiк немесе тропиялық орындау, жылдамдықтың дәрежесiнiң коммутацияларының (бiр рет, бiрнеше рет, жылдам әрекет етуші) АПВ цикл тиiстi жиiлiктерi. Бұдан басқа, май немесе әуе айырғыштарының қолдануы туралы сұрақ ұйғарылады.
Айырғыштар келесі параметрлер арқылы таңдалады:
- Кернеу бойынша
;
- Ұзақтық тоғы бойынша;
;
- ажыратуды тоғы есептiк тоққа тең немесе артық болу керек
;
- аппараттың электродинамикалық табандылығының тоғы соғу тоғына тең немесе одан артық болу керек
;
- ҚТ тоғы үшін есептелген термиялық беріктігі аппараттың термиялық беріктігінен жоғары немесе соған тең болуы қажет
,
U Н =35 кВ.
I Н =630А>I раб =48. 7А
I
откл
= 25кА
>I
расч=
4, 35кА
I зл. длн. дет =63кА>I у= 8, 79 кА
I терм. уст. = 25 кА>4, 01 кА
t= 3 сек болса
Қосылу уақыты-1, 15 сек.
Айырылу уақыты-0, 06 сек.
ВО циклінің комм. ресурсы I=2 кА-2000
2. 7 10 кВ кернеу желісіндегі ажаратқыш таңдау
Вакуумды маркасы BB/TEL 10-20/1000 У2 ажыратқыш таңдаймыз.
Ажыратқыштар жұмыс жағдайлары бойынша алдын ала таңдалады:
iшкi немесе сыртқы қондырғылар, аязға төзiмдiлiк немесе тропиялық орындау, жылдамдықтың дәрежесiнiң коммутацияларының (бiр рет, бiрнеше рет, жылдам әрекет етуші) АПВ цикл тиiстi жиiлiктерi. Бұдан басқа, май немесе әуе айырғыштарының қолдануы туралы сұрақ ұйғарылады.
Ажыратқыш тар келесі параметрлер арқылы таңдалады:
- Кернеу бойынша
;
- Ұзақтық тоғы бойынша;
;
- ажыратуды тоғы есептiк тоққа тең немесе артық болу керек
;
- аппараттың электродинамикалық табандылығының тоғы соғу тоғына тең немесе одан артық болу керек
;
- ҚТ тоғы үшін есептелген термиялық беріктігі аппараттың термиялық беріктігінен жоғары немесе соған тең болуы қажет
,
U Н =10 кВ.
I Н =1000А>I раб =170, 5А
I
откл
= 20кА
>I
расч=
2, 59Ка
I зл. длн. дет =52кА>I у= 6, 59 кА
I терм. уст. = 25 кА>1, 39 кА
Қосылу уақыты-0, 06 сек.
Айырылу уақыты -0, 055 сек.
ВО циклінің комм. ресурсы I=5 кА-50 тыс.
2. 8 35 кВ кернеу желісіндегі айырғыш таңдау
Әрбір электрмен қамту обьектісінің сенімді жұмысы әрбір таңдалған қондырғының тоғын номиналды режим шарттарына және қ. т. кезіндегі жұмыс шарттарына сәйкес келгенде қамтамасыздандырады. Сондықтан электр жабдығын алдымен номиналды параметрлері бойынша таңдаймыз, содан соң қ. т. тоқтарының әсеріне тексереміз.
Жоғары кернеулі айырғыштарды таңдау мен тексеру.
... жалғасы- Іс жүргізу
- Автоматтандыру, Техника
- Алғашқы әскери дайындық
- Астрономия
- Ауыл шаруашылығы
- Банк ісі
- Бизнесті бағалау
- Биология
- Бухгалтерлік іс
- Валеология
- Ветеринария
- География
- Геология, Геофизика, Геодезия
- Дін
- Ет, сүт, шарап өнімдері
- Жалпы тарих
- Жер кадастрі, Жылжымайтын мүлік
- Журналистика
- Информатика
- Кеден ісі
- Маркетинг
- Математика, Геометрия
- Медицина
- Мемлекеттік басқару
- Менеджмент
- Мұнай, Газ
- Мұрағат ісі
- Мәдениеттану
- ОБЖ (Основы безопасности жизнедеятельности)
- Педагогика
- Полиграфия
- Психология
- Салық
- Саясаттану
- Сақтандыру
- Сертификаттау, стандарттау
- Социология, Демография
- Спорт
- Статистика
- Тілтану, Филология
- Тарихи тұлғалар
- Тау-кен ісі
- Транспорт
- Туризм
- Физика
- Философия
- Халықаралық қатынастар
- Химия
- Экология, Қоршаған ортаны қорғау
- Экономика
- Экономикалық география
- Электротехника
- Қазақстан тарихы
- Қаржы
- Құрылыс
- Құқық, Криминалистика
- Әдебиет
- Өнер, музыка
- Өнеркәсіп, Өндіріс
Қазақ тілінде жазылған рефераттар, курстық жұмыстар, дипломдық жұмыстар бойынша біздің қор #1 болып табылады.

Ақпарат
Қосымша
Email: info@stud.kz