Жұлдыз координаттарының рефракция мен аберрация салдарынан өзгерісінің жалпы формулалары

 
    
 
 Біз жоғарыда әңгімелегендей, рефракция мен аберрация жұлдыздың аспан сферасындағы орналасуының бекітілген бақылау нүктесіне қарай ығысуына әкеледі: рефракция салдарынан жұлдыздың көрінетін кескіні вертикал бойынша зенитке қарай ығысады; аберрация кескіннің жұлдыз бен апекс арқылы өтетін үлкен шеңбер бойымен апекске қарай ығысуына әкеледі. Ығысудың ортақ заңдылықтары бұл және басқа да, жұлдыздың аспан сферасындағы орналасуын бұрмалайтын, эффекттер үшін жарамды ортақ формулаларды алуға мүмкіндік береді. Координаттары
  және
 және
  жұлдыз координатары
 жұлдыз координатары
  және
 және
  нүктеге ығысады, және
 нүктеге ығысады, және
  делік (
 
  1. 31-сурет
 
 ) . Ығысу
 
  S
 
 жұлдызды координаттары
 делік (
 
  1. 31-сурет
 
 ) . Ығысу
 
  S
 
 жұлдызды координаттары
  және
 және
  
 бекітілген нүктемен қосатын үлкен шеңбер доғасы бойымен болады.
 бекітілген нүктемен қосатын үлкен шеңбер доғасы бойымен болады.
  , ал
 , ал
  болсын, онда
 болсын, онда
  деп жазуға болады мұндағы
 
  k
 
 - кейбір коэффициент. Бірден қорытынды формулаларды жазайық:
 деп жазуға болады мұндағы
 
  k
 
 - кейбір коэффициент. Бірден қорытынды формулаларды жазайық:
 (1. 12. 36)
 (1. 12. 36)
 (1. 12. 37)
 (1. 12. 37)
 (1. 12. 36), (1. 12. 37) теңдеулерді нақтылы жағдайда қолдану үшін, оларға
 
  k
 
 коэффициент пен
  нүктенің координаттарын қою керек. Мысалы, рефракция үшін
 нүктенің координаттарын қою керек. Мысалы, рефракция үшін
  .
 .
 Экваторлық жүйе орнына эклиптикалық жүйені қолдануға болады, (1. 12. 36) , (1. 12. 37) теңдеулерді
  айнымалылар үшін айнымалыларды жай ауыстыру көмегімен
 айнымалылар үшін айнымалыларды жай ауыстыру көмегімен
  жазуға болады. (1. 12. 36) , (1. 12. 37) формулаларды рефракция үшін қолданайық. Рефракия жұлдызды көкжиекке қатысты көтереді, мұның нәтижесінде зениттік қашықтық азаяды. Сондықтан
 
  k
 
 коэффициенті теріс болады.
 жазуға болады. (1. 12. 36) , (1. 12. 37) формулаларды рефракция үшін қолданайық. Рефракия жұлдызды көкжиекке қатысты көтереді, мұның нәтижесінде зениттік қашықтық азаяды. Сондықтан
 
  k
 
 коэффициенті теріс болады.
  нүктесі бақылаушының зениті болып табылады. Демек,
 нүктесі бақылаушының зениті болып табылады. Демек,
  , мұндағы
 
  S
 
 - жергілікті жұлдыздық уақыт,
 , мұндағы
 
  S
 
 - жергілікті жұлдыздық уақыт,
  , мұнда
 , мұнда
  - астрономиялық ендік. Бұл мәндерді (1. 12. 36), (1. 12. 37) өрнектерге қою нәтижесінде мыналарды аламыз:
 - астрономиялық ендік. Бұл мәндерді (1. 12. 36), (1. 12. 37) өрнектерге қою нәтижесінде мыналарды аламыз:
 (1. 12. 38)
 (1. 12. 38)
 (1. 12. 39)
 (1. 12. 39)
Тәуліктік аберрация
 Тәуліктік аберрация Жердің өз осі бойымен айналысымен себептеледі. Жұлдыздың
  ығысуы (1. 12. 31) теңдеуімен анықталады. Тәуліктік аберрацияны есептеу үшін бақылаушы жылдамдығының
 
  V=Vn
 
 векторын есептеу керек. Бақылаушы геоцентрлік ендігі
 ығысуы (1. 12. 31) теңдеуімен анықталады. Тәуліктік аберрацияны есептеу үшін бақылаушы жылдамдығының
 
  V=Vn
 
 векторын есептеу керек. Бақылаушы геоцентрлік ендігі
  , ал геоцентрлік қашықтығы
 
  r
 
 нүктеде орналасса, оның жылдамдығының векторы:
 , ал геоцентрлік қашықтығы
 
  r
 
 нүктеде орналасса, оның жылдамдығының векторы:
  , мұндағы
 , мұндағы
  - Жер айналуының бұрыштық жылдамдығы. Егер бақылаушы бетімен солтүстікке қарай тұрса,
 
  V
 
 векторы қашанда да оңға қарай бағытталған болатынын көреді, яғни апекс болып шығыс нүктесі табылады.
 - Жер айналуының бұрыштық жылдамдығы. Егер бақылаушы бетімен солтүстікке қарай тұрса,
 
  V
 
 векторы қашанда да оңға қарай бағытталған болатынын көреді, яғни апекс болып шығыс нүктесі табылады.
 Тәуліктік аберрациядан жұлдыз координаттарының өзгеруін есептейік. 1. 23 суреттегі
  доғасы 1. 22 суреттегі жұлдыз бен апекске бағыттар арасындағы
 доғасы 1. 22 суреттегі жұлдыз бен апекске бағыттар арасындағы
  бұрышына сәйкес келеді. Демек, (1. 12. 37) -гі
 
  k
 
 коэффициенті -
 
  V/с-
 
 ға тең (
 бұрышына сәйкес келеді. Демек, (1. 12. 37) -гі
 
  k
 
 коэффициенті -
 
  V/с-
 
 ға тең (
  доғасы аберрация салдарынан азаяды) . Апекс координаттары
 доғасы аберрация салдарынан азаяды) . Апекс координаттары
  болады (мұндағы
 
  s -
 
 бақылаушы меридианындағы жергілікті жұлдыздық уақыт) және
 болады (мұндағы
 
  s -
 
 бақылаушы меридианындағы жергілікті жұлдыздық уақыт) және
  (
 
  V
 
 векторы экваторға параллель) .
 (
 
  V
 
 векторы экваторға параллель) .
  болғандықтан, (1. 12. 38, 1. 12. 39) теңдеулерден мынаны аламыз:
 болғандықтан, (1. 12. 38, 1. 12. 39) теңдеулерден мынаны аламыз:
 
(1. 12. 40),
 1. 12. 41),
 1. 12. 41),
 мұндағы
  - сағаттық бұрыш,
 - сағаттық бұрыш,
  - гоецентрлік ендік пен
 - гоецентрлік ендік пен
  - астрономиялық ендік арасындағы айрмашылықты еске алмасақ, онда:
 - астрономиялық ендік арасындағы айрмашылықты еске алмасақ, онда:
 , (1. 12. 42)
 , (1. 12. 42)
 
 , (1. 12. 43)
 , (1. 12. 43)
 мұндағы
  жұлдыздық тәуілік ішінде, яғни
 жұлдыздық тәуілік ішінде, яғни
 рад/с (1. 12. 44)
 рад/с (1. 12. 44)
(1. 12. 40, 1. 12. 41) теңдеулері жұлдыздың Жер бетіндегі бақылаушы үшін және Жер центрінде тыныштықта тұрған бақылаушы үшін координаттарының айырмасын береді.
Жылдық аберрация
 Жер өз осі бойымен айналудан басқа, күн жүйесінің барицентріне қатысты қозғалады, бұл орбита бойымен қозғалыстың жылдамдығы
  ~30 км/с.
 
  V/с
 
 қатынас бұл жағдайда ~10
 
  -4
 
 , демек жылдық аберрация ~
 ~30 км/с.
 
  V/с
 
 қатынас бұл жағдайда ~10
 
  -4
 
 , демек жылдық аберрация ~
  . (
 
  V/с
 
 )
 
  2
 
 пропорционал, екінші ретті эффекттердің мәні ~10
 
  -8
 
 , бұл жылдық аберрацияның
 . (
 
  V/с
 
 )
 
  2
 
 пропорционал, екінші ретті эффекттердің мәні ~10
 
  -8
 
 , бұл жылдық аберрацияның
  мәніне сәкес болады. Қазіргі заманғы бақылаулардың дәлдігі ~
 мәніне сәкес болады. Қазіргі заманғы бақылаулардың дәлдігі ~
  , сондықтан аздықтың екінші ретті эффекттерді міндетті түрде еске алу қажет.
 , сондықтан аздықтың екінші ретті эффекттерді міндетті түрде еске алу қажет.
Дәлдігі төмен жылдық аберрация үшін формулаларды күн жүйесінің барицентрі мен Күн центрінің айырмашылығын елемей алуға болады.
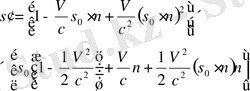
(1. 12. 40, 1. 12. 41) формулаларды қолданып, мыналарды алуға болады:
 , (1. 12. 45)
 , (1. 12. 45)
 , (1. 12. 46)
 , (1. 12. 46)
 мұндағы
  - аберрация тұрақтысы. Бұл теңдеулерден
 - аберрация тұрақтысы. Бұл теңдеулерден
 (1. 12. 47)
 (1. 12. 47)
 өрнегін алады, ол эллипс теңдеуі болып табылады. Демек, жыл ішінде жұлдыздың көрінетін (аберрациямен бұрмаланған) орналасуы аспан сферасында эллипсті сызады, оның ендік щеңберіне перпендикуляр үлкен жартыосі
  , ал бұл шеңбер жазықтығында жататын кіші жарты осі
 , ал бұл шеңбер жазықтығында жататын кіші жарты осі
  . Жылдық аберрация салдарынан жұлдыздың экваторлық координаттарының өзгеруін (12. 2) теңдеуден табуға болады. Егер
 . Жылдық аберрация салдарынан жұлдыздың экваторлық координаттарының өзгеруін (12. 2) теңдеуден табуға болады. Егер
  , мұндағы
 , мұндағы
  - Жердің Күн жүйесінің барицентріне қатысты радиус-векторы, онда:
 - Жердің Күн жүйесінің барицентріне қатысты радиус-векторы, онда:
 . (1. 12. 48)
 . (1. 12. 48)
 мен
 
  s
 
 векторларының құраушылары
 мен
 
  s
 
 векторларының құраушылары
 (1. 12. 49),
 (1. 12. 49),
 мұндағы
  - Жер центрінің барицентрлік жылдамдығының декарт координаттар жүйесіндегі құраушылары,
 - Жер центрінің барицентрлік жылдамдығының декарт координаттар жүйесіндегі құраушылары,
  - жұлдыздың ICRS-гі экваторлық координаттары. (1. 12. 48) -ді компоненттер түрінде жазып, кейбір түрленулерден кейін:
 - жұлдыздың ICRS-гі экваторлық координаттары. (1. 12. 48) -ді компоненттер түрінде жазып, кейбір түрленулерден кейін:
 
(1. 12. 50)
 (1. 12. 51)
 (1. 12. 51)
 формулаларын алуға болады. Жарық жылдамдығының өлшем бірлігі
  құраушылардың өлшем бірлігіндей болуы тиіс. Жылдамдық құраушылары тәулік ішіндегі астрономиялық бірліктер (а. б. /тәуілік) түрінде берілгендіктен:
 құраушылардың өлшем бірлігіндей болуы тиіс. Жылдамдық құраушылары тәулік ішіндегі астрономиялық бірліктер (а. б. /тәуілік) түрінде берілгендіктен:
c=173, 1446327 а. б. / тәулік
Жылдық аберрацияның жұлдыздың аспан сферасындағы орналасуына әсерін еске алудың дәл формулаласы салыстырмалылықтың арнайы теорисы шеңберінде алынады:
 (1. 12. 52)
 (1. 12. 52)
 Бұл формула
  нүктесінен көзге дәл бағытты береді. Көз тыныштықта тұр деп есептелгендіктен, бұл формула
 
  жұлдыздық
 
 аберрацияның мәнін береді.
 нүктесінен көзге дәл бағытты береді. Көз тыныштықта тұр деп есептелгендіктен, бұл формула
 
  жұлдыздық
 
 аберрацияның мәнін береді.
  ретіндегі мүшелермен шектелсек:
 ретіндегі мүшелермен шектелсек:
 (1. 12. 53)
 (1. 12. 53)
Бұл өрнектерді (1. 12. 52) -ге қойсақ, онда:
 (1. 12. 54)
 (1. 12. 54)
Күрделі емес түрлендірулерден кейін мынаны аламыз:
 
(1. 12. 55)
Ғасырлық аберрация
Жұлдыздың және Күн жүйесінің Галактика центріне қатысты қозғалысынан орын алатын аберрация ғасырлық сипатта болатындықтан, ол ғасырлық аберрация деп аталады. Іс жүзінде ғасырлық аберрация еске алынбайды, өйткені бір жағынан, жұлдыздарға дейінгі қашықтықтың анықталмағандығы жоғары. Екінші жағынан, Күн жүйесі жылдамдығының бағыты уақыттың қысқа (Күн жүйесінің 240 млн. Жылға тең айналу периодымен салыстырғандағы) аралықтар ішінде өзгермейді дерлік, демек ғасырлық аберрация тұрақты келеді.
 (1. 12. 45-1. 12. 47) өрнектерін қолданып, ғасырлық аберрация жұлдыздың
  галактикалық координаттарын:
 галактикалық координаттарын:
 (1. 12. 56)
 (1. 12. 56)
 түрінде өзгертетінін табуға болады, мұндағы
  - апекс координаттары. . Егер
 - апекс координаттары. . Егер
  , онда ғасырлық аберрацияның тұрақты бөлігі:
 , онда ғасырлық аберрацияның тұрақты бөлігі:
 (1. 12. 57)
 (1. 12. 57)
 Жоғарыда айтылғандай, бұл эффект жұлдыздардың аспан сферасындағы тұрақты ығысуына әкеледі, сондықтан оны өлшеу мүмкін емес. Егер біз Күн Галактика центрі бойымен, дөңгелек орбита бойымен қозғалады деп болжасақ, онда
  апекске бағытқа жылдық өзгеріс, мұндағы
 апекске бағытқа жылдық өзгеріс, мұндағы
  жыл
 
  --1
 
 - орташа қозғалыс,
 жыл
 
  --1
 
 - орташа қозғалыс,
  жыл - айналу периоды. Онда жұлдыз координаттарының жыл ішіндегі апекстің себебінен өзгерісі:
 жыл - айналу периоды. Онда жұлдыз координаттарының жыл ішіндегі апекстің себебінен өзгерісі:
 . (1. 12. 58)
 . (1. 12. 58)
 коэффициенті доғаның ~4 мкс-на тең.
 коэффициенті доғаның ~4 мкс-на тең.
  галактикалық бойлығының максимал өзгерісі координаттары
 галактикалық бойлығының максимал өзгерісі координаттары
  жұлдыздар үшін бақыланады.
 жұлдыздар үшін бақыланады.
  галактикалық ендігінің максимал өзгерісі координаттары
 галактикалық ендігінің максимал өзгерісі координаттары
  және
 және
  немесе
 немесе
  болатын жұлдыздар үшін бақыланады.
 болатын жұлдыздар үшін бақыланады.
 Қазіргі уақытта координаттардың ғасырлық аберрация салдары өзгерісін өлшеу мүмкін емес. Бірақ келешекте GAIA, FAME, DIVA жобалар нәтижелері бойынша дәлдігі жоғары каталогтарды құрастырған кезде, жұлдыздар координаттары микросекундтық дәлдікпен өлшенгенде, ғасырлық аберрацияны еске алу міндетті болады. Доғаның
  мкс деген мәні ғасырлық аберрацияның жылдық өзгерісіне сәйкес келетінін тағы да айта кетейік. 25 жыл ішінде коэффициент доғаның 100 мкс -не тең болады, сондықтан Күннің Галактика центрі бойымен айналысын қазір де АҰБР-дағы өлшеулер нәтижесінде тікелей табуға (өлшеуге) болады. Күннің Галактика центрі бойымен айналуын тікелей өлшеу іргелі нәтиже береді.
 мкс деген мәні ғасырлық аберрацияның жылдық өзгерісіне сәйкес келетінін тағы да айта кетейік. 25 жыл ішінде коэффициент доғаның 100 мкс -не тең болады, сондықтан Күннің Галактика центрі бойымен айналысын қазір де АҰБР-дағы өлшеулер нәтижесінде тікелей табуға (өлшеуге) болады. Күннің Галактика центрі бойымен айналуын тікелей өлшеу іргелі нәтиже береді.
- Іс жүргізу
- Автоматтандыру, Техника
- Алғашқы әскери дайындық
- Астрономия
- Ауыл шаруашылығы
- Банк ісі
- Бизнесті бағалау
- Биология
- Бухгалтерлік іс
- Валеология
- Ветеринария
- География
- Геология, Геофизика, Геодезия
- Дін
- Ет, сүт, шарап өнімдері
- Жалпы тарих
- Жер кадастрі, Жылжымайтын мүлік
- Журналистика
- Информатика
- Кеден ісі
- Маркетинг
- Математика, Геометрия
- Медицина
- Мемлекеттік басқару
- Менеджмент
- Мұнай, Газ
- Мұрағат ісі
- Мәдениеттану
- ОБЖ (Основы безопасности жизнедеятельности)
- Педагогика
- Полиграфия
- Психология
- Салық
- Саясаттану
- Сақтандыру
- Сертификаттау, стандарттау
- Социология, Демография
- Спорт
- Статистика
- Тілтану, Филология
- Тарихи тұлғалар
- Тау-кен ісі
- Транспорт
- Туризм
- Физика
- Философия
- Халықаралық қатынастар
- Химия
- Экология, Қоршаған ортаны қорғау
- Экономика
- Экономикалық география
- Электротехника
- Қазақстан тарихы
- Қаржы
- Құрылыс
- Құқық, Криминалистика
- Әдебиет
- Өнер, музыка
- Өнеркәсіп, Өндіріс
Қазақ тілінде жазылған рефераттар, курстық жұмыстар, дипломдық жұмыстар бойынша біздің қор #1 болып табылады.
 
            
                Ақпарат
Қосымша
Email: info@stud.kz