ЭЛЕКТРҚОЗҒАЛТҚЫШТЫ ТАҢДАУ


МАЗМҰНЫ
КІРІСПЕ
Өндірістегі техникалық прогрестердің дамуы алуан түрлі технологиялық процестердің, механизімдердің және олардың қолдану мақсаты мен жұмыс істеу принципіне, өндірістік процестерді режимдерді тұрақтандыру, техникалық цикілдарды қысқарту, өңдеу дәлдігін арттыруына тікелей байланыста болады. Білгілі болғандай бұл жағдайларда электроэнергияный пайдалы жақтары, және өзіні спецификалық құрамы үлкен жұмыс күшін және жаңа технилогияларды құрастыруға сәйке келеді. Электроэгнергияны көп тұтынатын маңызды бөліктеріндің бірі ол электір жетегі болып есептеледі. Электр жетегі дегеніміз ол электрмашиналарының жұмыс органдыры мен басқару органдарын іске қосатын электромеханикалық құрылғы болып табылады. Басым көпшілігі технологиялық процестерді қазіргі заманғы өнеркәсіптік және ауыл шаруашылығы өндірісінде механикалық энергия алу үшін электрмеханикалық түрлендіру көп қолданылады.
Осы процесте қолданылатын жеке механизмдер мен машинаның жұмыс жасау жағдайы, электромеханикалық құрылғылар жүйесі және оны басқару ерекшеліктерін ескере отырып, түбегейлі шешімдерді қабылдау шартына кемшіліксіз электржетегін құру үшін негізделеді. Бұл, әр түрлі халық шаруашылығына керек-жарақтары және технологиялық процестердің молшылығымен олардың өзара байланысымен түсіндіріледі. Сонымен қатар технологиялық процеске жұмыс машиналары қатыса алады. Мүлде өзгеше технологиялық процестерде бір машина сол уақытта жұмыс істей алады.
Технологиялық процестердің, машиналардың, механизмдердің көптігінен электржетек міндетін зерттеу ерекшеліктерін және электржетегінің нақты механикалық түбегейлі шешімдерін қабылдау мүмкін емес. Талдау және синтез негізіне жүйелердің электромеханикалық құрылғылардың алынуға тиіс принциптері: бір қатар белгілері бойынша механизмнің жіктелуіне сүйіне отырып, олардың бір бөлігі механизм сипаттамасына, басқасы электржетек талаптарына тікелей қатысты.
БЕРІЛГЕН МӘЛІМЕТТЕР
Тәуелсіз қоздырылтын тұрақты тоқ қозғалтқышындағы кранның көтерілу механизімі келтірілген /ТҚ ТТҚ/. Техникалық деректері №1 кестеде көрсетліген.
1−Кесте
Нұсқа
№27
1. ЭЛЕКТРҚОЗҒАЛТҚЫШЫНЫҢ МЕХАНИКАЛЫҚ СИПАТТАМАСЫН ТҰРҒЫЗУ
1. 1 Табиғи механикалық сипаттамалары
Қозғалтқыштың механикалық сипаттамасын құрылысын бастау үшін табиғи механикалық сипаттамаларын есептеп және құру, нүкте арқылы өтетін түзу сызық болып табылады: координаттары М 0 , ω 0 , (идеалды бос режимде) және М н , ω н (номиналды режим) .
Статикалық және динамикалық сипаттамаларын зерттеу, тәуелсіз қоздырылатын тұрақты тоқтын бірмассалы электромеханикалық жүйесі.
, (1. 1)
Бірегей электромагнитті коэффицентті табу:
, (1. 2)
Қозғалтқыштың кедергілерінің қосынды суммасы:
, (1. 3)
Номиналды электромагнитті момент:
, (1. 4)
Қозғалтқыш валынын номиналды моменті:
, (1. 5)
Момент шығыны:
, (1. 6)
Кедергінін толық моменті:
, (1. 7)
Кедергі моментіне сәйкес келетін якорь тгғы М с :
, (1. 8)
Қозғалтқыштын айналу жиілігі ток I c кезінде:
, (1. 9)
Бос жүріс кезіндегі бұрыштық жылдамдық:
, (1. 10)
, (1. 11)
Сурет 1 - Табиғи механикалық график
2 ЭЛЕКТРҚОЗҒАЛТҚЫШТЫ ТАҢДАУ ЖӘНЕ ДИНАМИКАЛЫҚ ЖҮКТЕМЕ ДИАГРАММАСЫН ТҰРҒЫЗУ
2. 1 Механизмнің статикалық жүктемелік графигі, қосылу ұзақтылығын есептеу
Стандартталған бастапқы режим бойынша статикалық жұмыстық жүктеме (5М) диаграммасы бойынша көтеру механизміне келесі операциялар жатады:
1. t
Р1
уақыт аралығында
массалы жүкті Н биіктікке көтеру;
2. Жүкті тасымалдау кезіндегі t 0 уақыты аралығында механизмнің тоқтауы;
3. t
Р2
= t
Р1
уақытында
массалы жүкті Н биіктіктен түсіру;
4. Жүкті түсіру кезіндегі t 0 уақыты аралығында механизмнің тоқтауы;
5. 0, 2
массалы жүкті көтеру;
6 . t 0 уақыты кезіндегі механизмнің тоқтауы t Р3 = t Р2 = t Р1 ;
7. 0, 2
массалы жүкті t
Р4
= t
Р3
= t
Р2
= t
Р1
уақыты аралығында ілмектен түсіру;
8. t 0 уақыты кезінде жүктеме механизмін тоқтату.
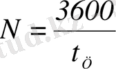
Жүкті көтеру және тұсіру уақыты келесі формула бойынша анықталады:
, (2. 1)
Жүктеме кезіндегі циклдың ұзақтығы:
, (2. 2)
= 1800c
, (2. 3)
, (2. 4)
Механизм қосылған кездегі статикалық ұзақтылық, динамикалық режимді ескермеген кезде:
, (2. 5)
Әртүрлі массада қозғалтқыштың жүкті көтеруі кезінде оның білігіндегі статикалық моменттің формуласы келесідей анықталады:
, (2. 6)
, (2. 7)
Әртүрлі массалы жүкті түсірген кездегі қозғалтқыштың білігіндегі статикалық моменті:
, (2. 8)
, (2. 9)
Сурет 2 - Көпірлік кранның механизмінің статикалық жүктеме диаграммасы
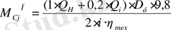
2. 2 Электрқозғалтқышты қуат бойынша алдын ала таңдау
ПВ шарты бойынша номинал салмақты көтерген кездегі
есептеме қуатын анықтау:
, (2. 10)
, (2. 11)
Есептелген қуатқа сәйкес келетін айналу жылдамдығын анықтау:
,
(2. 12)
айн/мин
Максималь қосылу моменті:
(2. 13)
мұндағы:
Минималь қосылу моменті (ауыстырып-қосылу кезінде) :
, (2. 14)
мұндағы:
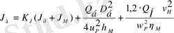
Орнынан қозғау кезіндегі динамикалық момент:
, (2. 15)
Орнынан қозғау кезіндегі келтірілген момент инерциясының қосынды мәнін анықтау:
, (2. 16)
мұндағы:
,
up
=24, 9
, (2. 17)
, (2. 18)
с
, (2. 19)
с
, (2. 20)
с
, (2. 21)
с
t ж = t 1 +t 2 +t 3 +t 4 , (2. 22)
t ж = t 1 +t 2 +t 3 +t 4 =24, 5+9, 72-36, 8+46, 8 = 44, 22 с
Сурет 3 - Электрқозғалтқышының динамикалық жүктеме диаграммасы
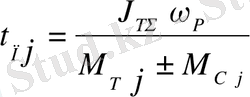
Жүкті көтеру және түсіру кезіндегі жетектің қосылу уақыты
:
, (2. 23)
с
Номиналды момент:
, (2. 24)
Тежеу моменті:
, (2. 25)
.
.
Электромеханикалық тежеу механизмінің уақыты:
, (2. 26)
с
Қосылу ұзақтығының анықталған мәні:
, (2. 27)
Бір сағаттағы цикл саны:
, (2. 28)
2. 3 Электрқозғалтқышын рұқсат етілген қызуға тексеру
Динамиклық жүктеме графигі бойынша жұмыстық цикл моментінің эквивалентін анықтаймыз:
, (2. 29)
М
Э
мұндағы:
= 0, 5.
Қайта қосу ПВ көрсеткішіне сәйкес эквивалентті қуатты анықтаймыз:
, (2. 30)
Вт
Таңдалған қозғалтқыш бекітілген шартқа сәйкес белгілі температурадан аспайды, яғни қызымайды :
, (2. 31)
Шарт орындалады: 55 кВт ≥ 1, 6 kВт
3 жиілікті электр жетегін басқару жүйесін тұрғызу
3. 1 Тұрақты ток звеносы бар тиристорлы түрлендіргіш схемасын тұрғызу
Сурет 4 - Жиіліктік түрлендіргіштің күштік схемасы
Жиіліктік түрлендіргіштің күштік схемасы тиристорлардан VS1 . . . VS6, қарсы қосылған көпірлік диодтардан VD1 . . . VD6, инверторлық жүйемен қамтамасыз ететін бөліктерден тұрады
Тиристорлы блок кернеуді реттеуге және тұрақты ұстап тұруға арналған басқарушы құрылғы.
Тегістеуші сүзгілер тегістегіш дроссельден L1 және ферритті өзекше мен конденсатордан С1 тұрады
АИН 6 VS7 . . . VS12 тиристорлы кілттен жиналған және С2…С7 конденсаторлармен қамтамасыз етілген, сондайақ L2 және L3 дросселден және также коммутациялық диодтардан VD7 . . . VD12 құралған.
Жиіліктік түрлендіргіш арқылы электр жетектің функцональді сұлбасының жүйесі:
Сурет 5 - Жиіліктік басқарылатын электр жетегінің функционалды схемасы
ЖБ - жылдамдық бергіш;
ҚБ - қарқын бергіш;
ЖқР - жылдамдық реттегіш;
ЭР - ЭҚК реттегіш;
ТББ - түрлендіргіш басқару блогы;
ТТ - тиристрлі түрлендіргіш;
С - сүзгі;
АКИ - автономды кернеу инверторы;
АҚ - қысқа тұыйқталған роторлы асинхронды қозғалтқыш;
ЖР - жиілік реттегіш;
ИББ - инвертор басқару блогы;
ЖД - жылдамдық датчигі;
ТД - ток датчигі;
КД - кернеу датчигі;
ЭД - ЭҚК датчигі.
Сурет 6 - Жиіліктік басқарылатын электр жетегінің құрылымдық схемасы
3. 2 Жиіліктік басқарылатын электр жетегінің құрылымдық схемасының параметрлерін есептеу
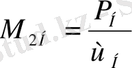
Асинхронды қозғалтқыштың беріліс функциясы:
, (3. 1)
Қатаңдық коэффициенті:
, (3. 2)
Критикалық сырғанау:
, (3. 3)
= 0. 05 * 1. 14 = 0, 057
Номинальды сырғанау:
, (3. 4)
с
АҚ-тың жүктемелік қабілеттілігі:
(3. 5)
Электромагнитті берілісі:
, (3. 6)
Механикалық беріліс коэффициенті:
, (3. 7)
Қозғалтқыштың білігіне берілетін қосынды момент инерциясы
, (3. 8)
ЭҚК беріліс функциясы:
, (3. 9)
мұндағы:
, (3. 10)
мұндағы:
,
с
, (3. 11)
мұндағы:
=1,
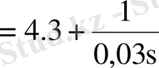
Тиристорлы түрлендіргіштің беріліс функциясы:
, (3. 12)
мұндағы:
(3. 13)
Тегістеуші сүзгінің беріліс функциясы:
, (3. 14)
мұндағы:
, (3. 15)
, (3. 16)
мұндағы:
, (3. 17)
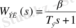
Датчик жылдамдығының беріліс функциясы:
, (3. 18)
0, 15
мұндағы:
, (3. 19)
Кері байланыс:
, (3. 20)
Датчиктің ЭҚК-ң беріліс функциясы:
0, 04 (3. 21)
мұндағы:
, (3. 22)
- Іс жүргізу
- Автоматтандыру, Техника
- Алғашқы әскери дайындық
- Астрономия
- Ауыл шаруашылығы
- Банк ісі
- Бизнесті бағалау
- Биология
- Бухгалтерлік іс
- Валеология
- Ветеринария
- География
- Геология, Геофизика, Геодезия
- Дін
- Ет, сүт, шарап өнімдері
- Жалпы тарих
- Жер кадастрі, Жылжымайтын мүлік
- Журналистика
- Информатика
- Кеден ісі
- Маркетинг
- Математика, Геометрия
- Медицина
- Мемлекеттік басқару
- Менеджмент
- Мұнай, Газ
- Мұрағат ісі
- Мәдениеттану
- ОБЖ (Основы безопасности жизнедеятельности)
- Педагогика
- Полиграфия
- Психология
- Салық
- Саясаттану
- Сақтандыру
- Сертификаттау, стандарттау
- Социология, Демография
- Спорт
- Статистика
- Тілтану, Филология
- Тарихи тұлғалар
- Тау-кен ісі
- Транспорт
- Туризм
- Физика
- Философия
- Халықаралық қатынастар
- Химия
- Экология, Қоршаған ортаны қорғау
- Экономика
- Экономикалық география
- Электротехника
- Қазақстан тарихы
- Қаржы
- Құрылыс
- Құқық, Криминалистика
- Әдебиет
- Өнер, музыка
- Өнеркәсіп, Өндіріс
Қазақ тілінде жазылған рефераттар, курстық жұмыстар, дипломдық жұмыстар бойынша біздің қор #1 болып табылады.

Ақпарат
Қосымша
Email: info@stud.kz