Өнеркәсіпті электрмен қамтамасыздандыру жолдары


Жұмыс түрі: Курстық жұмыс
Тегін: Антиплагиат
Көлемі: 23 бет
Таңдаулыға:
Кіріспе
Электрмен қамтамасыздандыру жүйесі болып кибернетикалық түрден күрделі өндірістік объектілер және олардың біріккен өндірісті процестерге қатынасатын барлық элементтерді айтады, спецификалық негізгі ерекшеліктері болып жылдамдық құбылысы және бұзылудың авариялық сипаттамасы болып саналады. Сондықтан сенімді және экономикалық функциялардың электрмен қамтамасыздандыру жүйесі тек оларды автоматты басқаруда ғана мүмкін. Бұл мақсатта кешенді автоматты қондырғылар қолданылады, соның ішінде релелік қорғаныс және автоматика жатады. Электроэнергиясың тұтынушының көтерілуі және қиындатылған электрмен қамтамасыздандыру жүйесі бұл қондырғылардың үнемі жаңарып тұруын талап етеді.
Қазіргі таңда көптеген тұтынушылар электр энергиясын электростанцияның энергетикалық жүйесінен алады.
Барлық пайдалы тұтынылған электроэнергиясын негізгі үлесі өнеркәсіптерге 59-62% тиеді. 15-20% астам электроэнергиясы қаланың коммунальды-тұрмыстық қажеттілігіне жұмсалады. Ал 16% жуығы агроөнеркәсіптік кешеннің қажеттілігін қамтамасыз етеді.
Өнеркәсіптік мекемелердің, көбіне, өзінің аймағында электростанциялары болады. Кейбір өнеркәсіптік мекемелер тек өзінің электростанциясынан ғана қоректенеді.
Сол себепті бұл өнеркәсіптік электрмен қамтамасыздандыру жүйесін шешудің үш жолы қарастырылады.
Бірінші шешім-өнеркәсіптік мекемелерді тек энергожүйелі электростанциялармен қоректендіру керек. Бұл үлкен өнеркәсіптік байланыстар мен қалаларды, олардың, көбіне, біруақытты және үлкен административтік немесе дамыған өнеркәсіптің орталықталынған жүйесін шешу сипаттамасы болып табылады. Бұл жағдайларда сәтті үйлесімдер болып өнеркәсіптік электрмен қамтамасыздандыру және біруақыттағы немесе қуатты жылулық байланыстың энергожүйесін жылумен қамтамасыздандыру кіреді.
Екінші шешім-өнеркәсіпті мекемелерді энергожүйемен және біруақытта өзінің жеке электростанцияларымен қоректендіру керек. Бұл жағдайда жылулық энергия өзінің ЖЭО өнеркәсібімен немесе қазандықтарымен жүреді. Өнеркәсіптік мекемелердің өзінің жеке электростанциясының бөлшекті қоректенуі тұтынушылардың электрмен қамтамасыз етуіне үлкен сенімділігін көрсетеді, ал бұл тұтынушылар өз кезегінде қоректендіруде үзіліске жол бермейді немесе ЖЭО өнеркәсіптік мекемелердің экономикалық жүйелі жұмыс режимін қамтамасыз етеді. Соңғысы үлкен өнеркәсіптік мекемелерден орын алады. Жеке электростанциялардың пайда болуы, тек жылу энергиясын тұтынумен түсіндірілмейді. Бірқатар өнеркәсіптік мекемелер өнеркәсіптік және ауыз суымен жабдықталуымен қажет етіледі, яғни сумен тек өнеркәсіптік мекемелердің технологиялық процесстері ғана емес, сонымен қатар, өнеркәсіпке жақын орналасқан ауылдар немесе қалалар сумен қамтылуы тиіс.
Үшінші шешім-өнеркәсіптік мекемелердің тек өзінің өндірістік-қалалық мәні бар жеке электростанцияларынан қоректену.
Мұндай шешім, егер өнеркәсіптік мекемелердің құрылысы жырақтағы және қолжетімсіз аймақтарда салынғанда туындайды. Бұл жағдайда өнеркәсіптік мекеме электроэнергия қаласы немесе өнеркәсіптік мекемесін қамтамасыз ететін жылуэлектроорталық ретінде құрылады.
Республикадағы өнеркәсіптің дамуы осы үш шешімнің біріккен жүйелі шешімінің дамуына алып келеді. Бұл жағдайда өнеркәсіптік электрмен қамту толыққанды кешенді құрайды, өзіне тазарту құрылысын кірістіреді. Қоршаған ортаны қорғауды қамтамасыз ететін режим құрылады.
Жоғарыда көрсетілген шешімдерге сәйкес электроэнергиямен жанармайды рациональды пайдалануы туралы тапсырма тұрды, ал бұлардың қоры біздің ғаламшарымызда бейберекет таралмайды. Қазіргі таңда маңызды мәселе болып өнеркәсіптік емес электроэнергиямен жанармай шығынымен күресу туралы сұрақ туындайды.
Өкінішен орай, кернеудің ұзақ уақыт шегерілуі, өнеркәсіптік мекемелердің өнімдерін шығаруға кедергі жасайды, бұл ГОСТ норм-ға сәйкес қойылған кернеудің ауытқуында да өзгеруге әкелетінін көбі біле бермейді. Кернеудің төмендеуі 15-20% және одан да көп болса, өнеркәсіптік өндірістік мекемелер котастрофияға ұшырайды және кейбір уақыт аралығында мекеме сапасыз өнім шығарады. Кернеудің ауытқуынан туындайтын шығынды мекемелер ауыр көтереді. Электроэнергиясының тұтыну шамадан тыс көтерілсе, өндірістік және қалалық электрмен қамтамасыз етудегі тарату желілеріндегі кернеуді көбейту қажет. Ал ол тұтынушыларға электроэнергиясын рациональды жеткізумен есептелінеді. Бырақ кернеудің ауытқуы сақталынады немесе қабылданған шешімге аз бағынады және электроэнергиясын тұтынудың көбеюімен байланысады.
Бұл шешімдерді шешу үшін жобалық және эксплуатациондық мекемелер келесідей құралдарды қолданады. Бірінші-тарамдалынған фазалар, әсіресе кабельді желілерде (параллель желілер құрылысында), сонымен қатар трансформаторларда тарату жүйелеріндегі желілердің қимасының өсуіне әкеледі. Соңғы құрал кабельді заводтарды ұлғайтуды талап етуіне байланысты болады. Екінші-қондырғыны қою, өндірістік аймақтардағы қоректенетін торапты трансформаторлардың кернеуін реттеуі керек. (кернеу шығынын жабу үшін)
1 Негізгі бөлім
1. 1 «Уральская» қосалқы станциясы туралы мәліметтер
«Уральская» қосалқы станциясы 220/110/10 ӘЖ- 220 кВ болатын «Правобережная» байланысты транзиттік электроэнергиясымен тұтынушыларды электрмен қамтамасыз ету үшін қызмет етеді. «Уральская» қосалқы станция 220/110/10 сенімділік категориясының бірінші тұтынушысы болып келеді. «Уральская» қосалқы станция қоректі ПС 220/110/10 кВ-ты ПС «Степная» жағынан алады, ол БАЭС-ке байланысты ВЛ 220 кВ «Степная-Уральская-1», «Степная-Уральская-2» болады.
Ұзақтығы ВЛ «Степная - Уральская-1» 23 км, «Степная- Уральская-2» - 26 км.
1. 2 Есептік жүктеме
Курстық жұмысты орындау үшін 2014 жылғы қысқы және жазғы маусымдағы тәуліктік графикті қарастырамыз. Берілген мәліметтер АҚ «KEGOC» Ақтөбе филиалынан алынған. Берілген қосалқы станцияның диспетчерлік қызмет орталығының мәліметтері бойынша амперметрлер арқылы электроэнергияның тұтыну қуатын анықтаймыз. Көрсетілген 1 және 2 кестелері бойынша жазғы және қысқы маусымдағы тәуліктік графикті құрамыз. Сурет 1. 1; 1. 2.
Алынған мөлшерлі жүктеменің тәуліктік графигінің жүктемелі ұзаруының жылдық графигін құрамыз.
Энергия тұтынудың ұзақтығын Т, сағ, келесі формуладан аламыз:
Т i =t*tp қыс Т i =t*t жаз (1. 1)
мұндағы Т-тәуліктік өсу графигіне сәйкес келетін уақыт; t қыс - 1жылдағы қыс тәуліктерінің саны, tp қыс =183 тәулік; t жаз - 1жылдағы жаз тәуліктерінің саны, t жаз = 182 тәулік .
Кесте-1. 1 ПС 220/110//10 «Уральская » қысқы маусымдағы электроэнергияны тұтынуы туралы мәлімет
Кесте 1. 2 -ПС 220/110//10 «Уральская » жазғы маусымдағы электроэнергияны тұтынуы туралы мәлімет
Сурет 1. 1- Жүктеменің жалғасуының жылдық графигі
Жүктеменің жылдық графигінің негізіне байланысты электроэнергияның саны есептелінген, қосалқы станцияның бір жылдағы W МВт. сағ., сәйкестенеді, яғни мөлшерлі аймақтық бөлек көтерілу графигі.
W=∑P к *T қыс +∑Р к *Т жаз , (1. 2)
мұндағы к- қатар саны (периода) ; Р к - қатар қуатының графигі, МВт;
Т - қатардың ұзақтығы, сағ .
W=∑P к *T қыс +∑Р к *Т жаз = 5, 585*10 5 МВт·сағ
Орташа жылдық қосалқы станцияы Р орт. жылд , МВт келесі формуладан анықтаймыз:
Р орт. жылд =W/Т жылд (1. 3)
Р орт. жылд =5, 585*10 5 /8760=63, 75 МВт
Қолданылған есептеуіш параметрлер Р орт. жылд ,
параметр Р мах пайдаланылған толық коэффициенті К зп , мына формуламен есептейміз:
К зп =Р орт. жылд /Р мах (1. 4)
К зп =63, 75/94, 5=0, 67
Максимальды жүктеменің Т мах. Қолдану ұзақтығын мына формуладан аламыз:
Т мах =К н *t жылд (1. 5)
Т мах =0, 67*8760=5869 сағ.
Бұл формуладан τ нб , сағ/жыл үлкен уақыт шығынын аламыз:
τ нб =(0, 124+Т мах /1) 2 *t гжыл (1. 6)
τ нб =(0, 124+5869/1) 2 *8760=4427, 1 сағ/жыл
2 Технологиялық бөлім
2. 1 Трансформатор қуатын таңдау
Оптималды қуаттағы трансформаторларды таңдаудың негізгі критериясы минимальды шығын алудағы экономикалық түсінік, жүктеме графигіне байланысты жылыту шарттары, қоршаған ортаның температурасы, бастапқы жүктеменің коэффиценті және максимум ұзақтығы болып келеді.
Оптимальды-экономикалық қуатты таңдау кезінде экономикалық интерваль әдісін қолданамыз. Бырақ екі түрлі трансформатордың болуынан қуатты таңдау қиынға соғады: бос жүріс Р хх және қысқа тұйықталу Р кз , әртүрлі факторларға байланысты болуы керек.
Экономикалық интервалдардың намограммасын құру, S эк =f ( ψ) Тікелей өтуіне бөгет ететін экономикалық аймақтағы әртүрлі қуаттағы трансформаторлар қолданылады.
Көлденең тіктен басқа, аймақтарды шектейтін горизонтальды тіктер қолданылады. Жылыту шартына сәйкес S жіб қуат мынаған тең:
S жіб =(1, 1÷1, 5) S ном (2. 1)
Номограммалық жүктемелер жіберетін аймақтар штрихталынады. Егер координата нүктесі ( S және ψ ) штрихталған аймаққа тимесе, онда таңдау экономикалық түсініктегі трансформатордың оптимальды қуаты анықталады, ал тисе, онда жылыту шартына сәйкестенеді.
Трансформаторлық қосалқы станциялар өзін электроқондырғы ретінде қарастырады, ол энергияны жақын аудандарға экономикалық тарату жүйесінде, жүйедегі кернеуді түрлендіруге арналған.
Трансформатор қуатын таңдау (автотрансформаторлар), бір трансформатордағы авариялық режим кезінде сөндірулі күйде жүктеме 40% болған кездегі есепке алынуы арқылы жүргізіледі
Сонда әрбір трансформатордың S тр , мынаған тең:
S тр = S max /[1, 4(n-1) ] , (2. 2)
мұндағы S max -максимальды тарату қуаты, МВ·А ; n -трансформатор саны.
Бірдей параллель жұмыс істейтін екі трансформаторлар ( n =2), нормальды режимдегі 70% трансформатор жүктемесіне сәйкес келуі керек. S mp =S max ,
2. 2 Авариялық режимдегі трансформаторды тексеру
Жылыту шартына сәйкес нормальды және авариялық режимдегі таңдаймыз. Толық өтетін қуат екі трансформаторларда да мынаған тең:
S max = √140 2 +80 2 =161 МВ·А
Әрбір қуаты S mp =0, 7·S max =112 MВ·A
Анықтама бойынша
екі автотрансформаторд ТДЦТН-125000/220/110/10 таңдаймыз.
Асқын жүктеме кезіндегі авариялық режимдегі тексеріс жүргізіледі.
(162-125) *100/125=29, 6%.
Сол себепті таңдалынған автотрансформатор авариялық режим кезінде 29, 6% жүктемелер, ал бұл берілген шартты толығымен қанағаттандырады: 29, 6% <40%
- Қосалқы станцияның орналасуын таңдау
Жүктеме картограммасы өз алдына қоршалынған аймақты орналастыру жоспарын көрсетеді, дегенмен көлемі, осы қоршаумен шектелсе, таңдалынған электрмен қамтамасыз етудегі есептік жүктеменің масштабына тең келеді. Әрбір электроэнергиясын қабылдағыштар өзінің айналасын құрайды, оның орталығы объектінің орталығымен сәйкес келеді. Барлық дөңгелек секторларға бөлінеді, ал олар жарықтану, күштік, төменвольтты, жоғарывольтты жүктемеге сәйкестенеді. . Объектінің электрмен қамтамасыз ету жүктемесінің орталығы болып электр энергиясының тұтынудың символикалық орталығы болады. Жүктеме картограммасы аймаққа жүктемені таратуға барынша мүмкіндік береді. Демек, келісімді [1] :
«Уральская» қосалқы станциясы қоректі екіторлы желі 220 кВ «Степная » км ұзындығынан алады. 220 кВ «Правобережная» желісінде АСО - 300 маркалы сымдар қолданады. Бұл механикалық беріктікті қамтамасыз ететін шартқа сәйкес келед, сонымен қатар атмосфераға зиянды қалдықтарды таратпайды. . қосалқы станцияда электр энергиясыгың кернеуі 220 кВ-тен 110 және 10 кВ-ке дейін алмасуы процессі жүріп отырады. Ауа және кабельді желілер қуатты таратады, сонымен қатар, қабылдағыштың ара-қашықтығы 2. 1. кестеде көрсетілген.
Кесте 2. 1-Электр энергиясының қуат қабылдағыштары және оларға дейінгі ара-қашықтық.
Переметное
Орталық
Пойма-3
Л-103 -
Берілген электр энергиясының қабылдағышының қуаты АҚ «KEGOG»-тын 12 желтоқсан 2007 жылы алынган қорытындысы. .
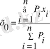
Енді электрлік жүктеменің шарттық орталығын анықтаймыз. Ол электрмен қамтамасыз етудегі объектінің ең оптимальды орналасу аймағын таңдауға көмектеседі. Электрлік жүктеменің барлық қабылдағыш аймағын тегіс орналасқанын анықтау үшін есеп құрастырғанда қажет, сол кезде электрлік жүктеме орталығы берілген ауырлық мөлшерінің жүйесімен сәйкес келеді.
Активті және реактивті жүктеменің орталық координатасының шартына сәйкес [1], келесідей жалпылама формуламен анықталады:
; (2. 3)
. (2. 4)
Электрлік жүктеменің активті және реактивті шартты орталықтарын анықтаймыз:
;
.
Реактивті жүктеменің шартты орталығын есептеу міндетті түрде өткізіледі. Сонда реактивті жүктеменің шартты орталығы координата нүктелерінде х 0, р. ≈ 30 и у 0, р. ≈ 26 болады. Картограммада көрсетілген электрлік жүктеменің есебе орнықты нүктеде көрсетіледі. Шыңдығында қабылдағыштар жүктемемен жұмыс істейді, ол уақыт өткен сайын өзгереді. Сол себепті электрлік жүктеме орталығын ауқымды жоспардағы орнықты нүкте секілді айтуға болмайды. Шын мәнінде электрлік жүктеменің таралу аймағының орталығын, мүмкіндігінше электрмен қамтамасыз ету объектісі ретінде айтуға болады.
- Электр желі сымдарының қимасың тандау
Ауа желісі электр энергиясының сымдарын ашық ауада тасымалдау және реттеу үшін арналған. Сымдар изоляторлармен және арматуралардың көмегі арқылы сүйеуге немесе ғимараттың және құрылыстың кронштейндеріне бекітіледі. Сымдар қимасын таңдау кезінде техникалық және экономикалық факторларын ескереген жөн:
- жұмыс денесімен бөлінген жылуды ұзақ уақыт жылыту;
- қысқа тұйықталу тогынан бөлінген жылуды аз уақытта жылыту;
- нормальды және авариялық режим тогының өту кезіндегі ауа желісіндегі сымдардағы кернеудің төмендеуі;
- механикалық төзімділік - механикалық жүктемеге төзімділігі (өз салмағы, жел, көктайғақ) ;
- «коронировалау» - кернеудің көлеміне байланысты, сымдарының қимасына және қоршаған ортаға қатысты фактор.
«Уральская» қосалқы станциясында негізінен екішыңжырлы желілер қолданылады. Бұл индуктивті кедергі желісін төмендетуге жасалған. Индуктивті кедергі желісінің төмендеуі электр энергиясын тасымалдау қуаты шығынының азаюына әкеледі, ал бұл экономикалық сипаттаманы жақсартады. Тікелей найзағай соққысынан электртасымалдау желісін сақтау үшін найзағайдан сақтайтын арқан қимасын 70мм² 220кВ желі үшін және 50мм² 110кВ үшін қолданылады.
- Ток қимасын таңдау
Электрмен тасымалдау желісіндегі сымдардың қимасын таңдау, токтың экономикалық тығыздығынан өтеді. Сонда сәкесінше[5] :
, (2. 5)
Экономикалық токтың тығыздығы сәйкес j эк, алюминий сымдары 1, 0 А/мм 2 тең.
Кесте 2. 2 - Сәйкесінше желілердегі қолданылатын сымдар маркалары
Нақты таңдау жасау үшін кернеу жіберетін шығынды сым арқылы тексеру керек:
, (2. 6)
мұндағы
- активты қуат, кВт;
- реактивты қуат, кВ⋅Ар;
- желінің активті кедергісі, Ом;
-желінің индуктивті кедергісі, Ом;
l
- желі үзындығы, км;
U
- жүйе кернеуі, кВ.
«Уральская» қосалқы станциясынан шығатын, ауа желісі қолданылған сымдардың дұрыстығын таңдауды тексеру керек. Келісетін және келіспейтін ауа желісінде қолданылатын маркалар 3. 1. кестесінде көрсетілген.
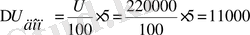
Соған сәйкес (2. 6), формуладағы желі кернеу шығыны «Уральская» мұндағы кернеу 220 кВ тең:
В.
Енді желідегі кернеу жіберетін шығынды аңықтаймыз. Желіде жіберілетін кернеу шығыны 5% ғана. Сонда:
В.
Бұл есептен көрін отырғанымыздай желідегі кернеу шығынының жіберетін көлемі ∆U ≤ ∆U доп аз болады, сол себепті берілген сым жарамды болып келеді. Басқа жіберілген есеп міндетті түрде жүргізіліп отырады. Есептің қорытындысын 3. 2. кестеде көрсетілген
Кесте 2. 3-Ауа желісіндегі кернеу шығыны


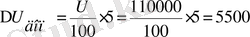
Енді 110 кВ-тағы кернеу желісіндегі жіберілетін шығынды аңықтаймыз. Бұл жағдайда 5%-дан кем кернеу шығыны жіберіледі.
В;
В.
- Сымдардың қимасын механикалық мықтылыққа таңдауын тексеру
Механикалық мықтылықтың шартына сәйкес электротасымалдау желісіндегі кернеу 1000В аса болса, көпөткізгішті сымдар қолданылады:
. (2. 7)
Бірақ шарт бойынша тексеріс электрмен қамтамасыз ету желісінің кернеуі 1000В жоғары болса жүргізілмейді, себебі көп жағдайлард F мин. мех. басқа талап етілетін қима шартынан аз болады. Электрмен қамтамасыз ету сымдарының желілері қолданысқа жіберіледі, бұл көзқарас экономикалық қуат мөлшерінің жіберетін шығыны мен «корону» электроэнергиясы, сымдардың жоғарындағы электрлік өрістік максимльды шектеу кернеулігі болады. [5] -те шартты орындау үшін сымдағы минимальды қималар көрсетіледі. Жоғарыда таңдалған ауа желісіндегі сымдардың кернеуі 220кВ, 110кВ және 10кВ, минимальды жіберілетін мағынадан асып түседі: демек берілген сымдар жарамды болып келеді.
- Аппараттарды таңдау
Қысқа тұйықталу тогын есептеу аппараттарды, өткізгіштерді, бейтарап жерлендірудегі жүйені жобалау және релелік қорғаныс пен автоматиканы жөндеуге таңдау жургізеді, ол электрмен тасымалдау желісіндегі жоғары вольтты басқарудағы хабарлама желісін және басқа да практикалық тапсырмадағы сигнал беруді аңықтайды.
Электроқондырғыдағы ауыспалы ток кернеуі 1кВ жоғары болса, қысқа тұйықталу тогы ГОСТ 275/4-87.
Электроқондырғыда 4 режим сипатталынады, олар:нормальды, авариялық режим қысқы мерзімді болса, қалғандары жалғастырушы режим болады.
Электроқондырғы қысқа режимді параметр бойынша таңдалынады және қысқа режимді параметр бойынша тексеріледі, бұларды аңықтайтын қысқа тұйықталу режимі болады.
Қысқа тұйықталу және тұйықталу , ағаштардағы ток, оның пайда болу аймағында тез котеріледі, ал бұл жалғасатын режимнің жіберетін токтан аз ғана котерілгенің байқауға болады.
Қысқа тұйықталу элетр тізбегінің жүктемелі оқшаулағыштан туындайды.
... жалғасы- Іс жүргізу
- Автоматтандыру, Техника
- Алғашқы әскери дайындық
- Астрономия
- Ауыл шаруашылығы
- Банк ісі
- Бизнесті бағалау
- Биология
- Бухгалтерлік іс
- Валеология
- Ветеринария
- География
- Геология, Геофизика, Геодезия
- Дін
- Ет, сүт, шарап өнімдері
- Жалпы тарих
- Жер кадастрі, Жылжымайтын мүлік
- Журналистика
- Информатика
- Кеден ісі
- Маркетинг
- Математика, Геометрия
- Медицина
- Мемлекеттік басқару
- Менеджмент
- Мұнай, Газ
- Мұрағат ісі
- Мәдениеттану
- ОБЖ (Основы безопасности жизнедеятельности)
- Педагогика
- Полиграфия
- Психология
- Салық
- Саясаттану
- Сақтандыру
- Сертификаттау, стандарттау
- Социология, Демография
- Спорт
- Статистика
- Тілтану, Филология
- Тарихи тұлғалар
- Тау-кен ісі
- Транспорт
- Туризм
- Физика
- Философия
- Халықаралық қатынастар
- Химия
- Экология, Қоршаған ортаны қорғау
- Экономика
- Экономикалық география
- Электротехника
- Қазақстан тарихы
- Қаржы
- Құрылыс
- Құқық, Криминалистика
- Әдебиет
- Өнер, музыка
- Өнеркәсіп, Өндіріс
Қазақ тілінде жазылған рефераттар, курстық жұмыстар, дипломдық жұмыстар бойынша біздің қор #1 болып табылады.

Ақпарат
Қосымша
Email: info@stud.kz