Жақсыбай қосалқы станциясының электр құрылғылары

 
    
Жұмыс түрі: Курстық жұмыс
Тегін: Антиплагиат
Көлемі: 25 бет
Таңдаулыға:
Мазмұны
Кіріспе . . . . …. ……. 3
1. Негізгі бөлім . . . 4
1. 1 Жақсыбай ҚС ның тұтынушыларының электр жүктемелері . . . 4
1. 2 Косалқы станцияны қайта құру мен үлкейтуге қажеттілікті
анықтайтын, қосалқы станцияның бар жағдайы, ахуалы және факторлары . . . 6
2 Техникалық бөлім
2. 1 Қысқа тұйықталу тоқтарын есептеу . . . 9
2. 2. Жоғарғы вольтты құрылғыларды таңдау . . ……. 14
2. 3 Тоқөткелдің икемділігін таңдау . . . . . …. . 16
2. 4 Реле қорғанысы және автоматика . . . 23
3. Еңбекті және қоршаған ортаны қoрғaу . . . 25
3. 1 Еңбек қауіпсіздігі . . . 25
3. 2 Асқын кернеуден қорғау. Жерлендіру . . . 26
Қорытынды . . . 27
Пайланылған әдебиеттер . . . . . 28
Кіріспе
Қазіргі заманғы қосалқы станциялар жоғарғы сенімділікті талап ететін және технологиялық процестің шығуын болмау мүмкіндігінің мақсатында электрмен қамтудың сапасын талап ететін автоматтандырудың жоғары дәрежесаімен құрылады.
Таратушы тораптардың алыс қашықтығы, кернеуді жаңашыл қолданбау, резервтеудің жоқтығы электрмен қамтудың сенімділігін төмендетеді.
Қазіргі уақытта әртүрлі біріктірілген ұйымдар мен институттарда электрлік тораптар мен олардың автоматтандырылуын техникалық қамтамасыз ету үшін жеткілікті үлкен тізімді жабдықтар, құрылғылар мен приборлар жасалып және сериялы шығарылып жатыр. Бұл энергожүйелерге тәуелсіз қорек көздерімен желілерді резервтеуді, коммутациялы секционды құрылғылармен электрмен қамтудың сенімділігіне және автоматтық басқару үшін мүмкіндік береді.
35/10кВ " Жақсыбай " қосалқы станциясының электр құрылғылары 1979 жылдан пайдаланылып келеді. 70% жуық құрылғылар қолданысқа жарамсыз. Жабдықтардың жұмысында апаттық жағдайлар жиі болып тұрады. Коммутациялық құрылғылар да қайта құруды талап етеді.
35 кВ «Жақсыбай» ҚС-сын қайта құруы және ескірген электрқұралдары мен автоматиканы ауыстыруға деген қажеттіліктерден туындап отыр.
Бұл жұмыста элекрмен қамсыздандыру сызбанұсқасының сенімділігін арттыру жағдайларының келесі мумкіндіктері қарастырылған:
- 10 кВ жағындағы вакуумдық айырғыштарды орнату;- 35 кВ жағындағы вакуумдық айырғыштарды орнату;
- Тоқ күшінің көбейіп кетуін шектеуіштерді желілі емес, анағұрлым жаңа түрлеріне ауыстыру;
- 10 кВ жағында цифрлік қорғанысты орнату.
1 Негізгі бөлім
1. 1Жақсыбай ҚС ның тұтынушыларының электр жүктемелері .Электр жүктемелері күрделі экономикалық және техникалық міндеттерді шешудегі негізгі деректердің бірі болып табылады. Электр жүктемелерінің анықтауы әрбір электр жабдықтаудың бірінші кезеңін құрайды жәнетоқ өткізуші (шиналар, кабелдер, өткізгіштер), күшті трансформаторлар және түрлендіргіштердің өткізу қабілеттері бойынша (қыздыру) және экономикалық параметрлері, элементтерін тексеру және таңдау мақсатымен өндіріледі, шығын есептеу, кернеудің ауытқуы мен тоқуы, орнын толықтырушы қондырғыларды қорғаныс құрылғыларын және тағы басқаларын таңдау. Күтілетін электрлік жүктемелерді дұрыс бағалауға ұтымды сызбаны және электрмен камсыздандыру жүйесінің барлық элементтерін және оның технико-экономикалық көрсеткіштерін таңдауға тәуелді болып кедледі.
Жақсыбай ҚС-ның тұтынушылары болып келесілер табылады:
Кесте 1- Жақсыбай ҚС-сы тұтынушыларының электрлік жүктемелері
Жақсыбай
Арайлы
Мектеп
Таскудык
Өзіндік камту
Талдыбұлақ-2
Талдыбұлақ-3
Барлығы:
30
16
17
15
27
7
16
12
140
27
10
18
16
29
5
17
15
137
35/10 кВЖақсыбай ҚС-ның электр жүктемесінің графиктері:
 
Сурет 1-Қысқы уақыттағы электр жүктемесінің тәуліктік графигі
 
Сурет 2- Жазғы уақыттағы электр жүктемесінің тәуліктік графигі
 
Сурет 3-Жуктемелердің ұзақтылығы бойынша жылдық график
Жақсыбай 35/10 кВ ҚС-ның тұтынылатын электрқуатының санын электрлік жүктемелердің жылдық графигі бойынша жүктемелердің графиктерін қайта өңдеу ұзақтылығы бойынша анықтаймыз.
 W
 
  жыл
 
 =
  P
 
  i
 P
 
  i
 
 Ti(1. 1)
 Ti(1. 1)
W жыл =1, 3*1650+1, 2*1200+0, 95*1550+0, 9*1020+0, 8*1280+0, 75*1100+0, 73*480+ 0, 7*480= 8510, 9МВт*сағ
Орташа жүктемені анықтаймыз
Р ор =W жыл /8760= 8510, 9 /8760=0, 97 МВт (1. 2)
Толтыру коэффициенті
К т =Р ор /Р max =0, 97/1, 3=0, 74(1. 3)
Максимальды жүктемені пайдаланудың ұзақтылығы: ұзақтлықтың жылдық графигіне сәйкес
T max =W жыл /P max =8510, 9 /1, 3=6546, 8 сағ(1. 4)
«Сельэнергопроект» қисығы бойынша табамыз
 - максимальды шығындағы уакыт cos
 - максимальды шығындағы уакыт cos
  =0, 88 болғанда.
 =0, 88 болғанда.
 - 3200 сағ.
 - 3200 сағ.
35 кВ -тық Жақсыбай қосалқы станциясы 1979 жылы эксплуатацияға енгізілді, ӘЖ 35 кВ Александровка және ӘЖ 35 кВ Аралтобеғимараттары жолымен энегрожүйелеріне косылды.
Трансформаторларды енгізуге бағытталған кернеу бір-бірімен резервтелетін екі желілер арқылы беріледі: олар Александровка және Аралтобе. Мұндай сызбанұсқа тұтынушыларды сөндірусіз айырғыштарды кезек- кезегімен жөндеп отыруға мүмкіндік береді.
1. 2Косалқы станцияны қайта құру мен үлкейтуге қажеттілікті анықтайтын, қосалқы станцияның бар жағдайы, ахуалы және факторлары.
35 кВ Жақсыбай қосалқы станциясы жетпісінші жылдардағы дайындап шығарылған негізгі жабдықтан құралған.
Қосалқы станцияда мыналар орнатылған:
Екі трансформаторлар - ТМ-1600/35
35кВ трансформатор жағында 1Т ВЛ ӘЖАлександровкадан, 2Т - ӘЖ Аралтобеден қамсыздандырылған. 10 кВ-тық 1 секцияның қамсыздануы 1Т трансформаторы арқылы жүргізіледі. 1Т және 2Т трансформаторларының 10 кВ кернеудегі параллельді жұмысы аз ғана уақытқа (10 минуттан артық емес) жіберіледі, яғни жүктемелерді бір трансформатордан басқасына аудару кезінде жүзеге асырылады.
Желі тізбегінде, оларды эксплуатациялық қосу және айыруға қажетті, қысқа толқынды тұйықталу және шамадан артық кету кезінде олларды сөндіруге арналған, сонымен қатар желі аппараттарын жиналмалы шиналардан немесе оларды жөндеу кезінде жүйеден ажыратуға арналған аппараттар орнатылған.
Күшпен айырғыштар іске қосылып тұрған тоқтарды және қысқа толқынды тұйықталу тоқтарын сөндіруге есептелген. 10 кВ жағында майланған айырғыштар орнатылған.
Ажыратқыштар сөндіріліп тұрған жүктемелер кезінде кернеуді тізбектен алу үшін пайдаланылады. Берілген тізбектегі күштен айырғыштар мен ажыратқыштардың арасындағы апаттарды болдырмау үшін, айырғыш қосылып тұрған кезеде ажыратқыштың сөніп қалуын болдырмайтын арнайы механикалық және электрмагниттік шектеулер орнатылады.
35 кВ жағында: РНДЗ-1 б -35У1 және РНДЗ-2-35У1 ажыратқыштары орнатылған; 10 кВ жағындағы 1Т - КРУН-10 кВ и 2Т - КРУН-10 кВ желілерінде РНДЗ-1-10/630 ажыратқыштары орнатылған.
Электрқұрылғылар ішіндегі электр жүйелерінің жүмыс тәртібінің күрт өзгеруіне қатысты, немесе сыртқы әсерлерден, мысалы, найзағай сяқты электромагниттік процестердің нәтижесінде қатты күштеніс шығады. Олардан қорғану үшін 35 кВ жағында РВС - 35/73 - 10(I) УХЛ1 разрядкілерін қолданады және трансформаторлардың нейтральдарын изоляциялаудан қозғау үшін РВС - 110/44 - 10(I) УХЛ1 қолданылады; 10 кВ жақында: РВ0 - 10/11 - 10(I) УХЛ1 қолданылады. Жоғарғы кернеулі электрқұрылғыларында тоқпен кернеуді өлшеуді қамтамасыз ету үшін тоқ трансформаторларын және кернеу трансформаторларын қолданады.
Кесте 2- Тоқ трансформаторы
10
10
ТЛМ-1
ТЛН-10
КРУН-10 кВ сызбанұсқасы бірсекцияланған шина жүйесі. Тоқтардың қысқа толқынды тұйықталуларын болдырмау мақсатында секциялардың бөлектеп жұмыс жасаулары қолданылады. Сызбанұсқада автоматты қосу резерві (АҚР) құрылғысы бар секциондық айырғыштар қарастырылған. 10 кВ кернеу жағындағы сызбанұсқаның сенімділігі айырғыштарды жөндеу үшін ұяшықтардың жылжымалы бөліктерін тез ауыстыруды жүзеге асыруға мүмкіндік беретін КРУ-10 кВ шкафтарын қолдану есебінде артып отыр. K-37 ұяшықтары орнатылған. Өз қажеттіліктерін қамсыздандыру үшін 10 кВ секцияларына қостырылған екі ТМ - 60/10/0, 4 трансформаторлары орнатылған.
Электрэнергиясының қосалқы станциядан таратылуы былай жүзеге асырылады:10 кВ - әуелік ЭБЖ.
Пайдалану кезінде барлық электротехникалық құралдар өзінің ресурстарын тәжірибе түрінде айқындап алды.
Сондықтан істе тұрған қосалқы станцияны, ескірген құралдарды және автоматиканы ауыстыру мақсатында қайта құру қажет болып отыр.
35кВ-тық Жақсыбай ҚС қайта құрудағы техникалық шешімдер«Жақсыбай» қосалқы станциясын қайта құрудағы техникалық шешімдер, қосалқы станцияның сызбанұсқасына сенімділікті арттыруға бағытталған:
- 35 кВ жанындағы айырғыштарды үйлесімді желілерге қондыру;
- Ескірген құралдарды жаңа және анағұрлым жетік құралдармен ауыстыру.
35 кВ-тық АТҚ қайта құруЖақсыбай қосалқы станциясының 35 кВ-тық ОРУ-ды қайта құрудың негізінде келесі принциптер жатыр:
- қайта құрудың кез-келген кезеңінде ӘЖ 35-ті қосуға мүмкіндікті қамтамасыз ету.
- АТҚ35 және КРУН 10 кВ арасындағы байланысты сақтау;
- коммутационды құралдың ауыстыру санының минимальдылығы;
- уақытша маңдайшалардың және желі учаскелерінің ұзақтылығы мен минимальды саны.
КРУН 10 кВ қайта құруЖақсыбай ҚС-ның бар КРУН 10 кВ-тына біреуі жауапты тұтынушыларды электрқамсыздандыруды жүзеге асыратын бірнеше электрөткізгіш желілер қосылған. КРУН 10 кВ қондырғыларының берілген ерекшеліктері, істе тұрған қосалқы станцияның қайта құруын жүргізуге тиісті, есептеуіш жағдайлар анықтайды.
Төменде көрсетілген КРУН 10 кВ қайта құру нұсқасының негізіне келесі принциптер енгізілген:
- барлық қондырғылардың жұмыс кезінде максимальды сақталуы;
- орнатылған қуаттың толық берілуін қамтамасыз ету;
- АТҚ35 және КРУН 10 кВ қосалқы станцияларының арасындағы байланыстың сақталуы;
- Уақытша маңдайшалардың минимальды саны;
- қосылғыштарды уақытша уақытша қосуға арналған секцияаралық айырғыштардың ұяшықтарын пайдалануды болдырмау.
2. Технологиялық бөлім
2. 1 Қысқа тұйықталу тоқтарын есептеу
Қысқа тұйықталу (ҚТ) болып электрлік тәзбегінің екі нүктесін біріктіріп, қосу кезінде (тікелей немесе аса аз қақтығыс арқылы) қалыпты жағдайлармен қамсыздандырылмаған әртүрлі жұмыстар табылады. ҚТ себептері болып изоляциялардың механикалық зақымдануы, оның қатты күштеніс әсерінен ескіруі салдарынан бұзылуы, үзілулер, әуе желілеріндегі (ӘЖ) сымдардың қозғалып, түсіп кетулері, персоналдық қате іс-әрекеттері және тағы сол сияқтылар. ҚТ болған кезде тәзбектерде желі элементтеріне қауіпті, оларды істен шығарып жіберуі мүмкін тоқтар пайда болады. Сондықтан электржабдықтарының, релелік қорғаныс құралдары және автоматиканың (РҚ ж/е А), толық электр желісінің сенімді жұмыс жасауын қамтамасыз ету үшін жалпы ҚТ тоқтарының есебі жүргізіледі.
Үшфазалы желілерде және құрылғыларда ҚТ-ны үшфазалық (симметриялық), екіфазалық және бірфазалық (симметриялық емес) деп ажыратады. Сонымен қоса жерге екіфазалық ҚТ, фазалардың біруақыттағы үзілуінен ҚТ болуы мүмкін. Көптеп кездесетіні жерге бірфазалық ҚТ (ҚТ жалпы санының 65% -ке дейін), анағұрлым аз болатын жерге екіфазалы ҚТ (ҚТ жалпы санының 20 % дейін), екіфазалы ҚТ (ҚТ жалпы санының 10 %- ке дейін) және үшфазалы ҚТ (ҚТ жалпы санының 5 %- ке дейін) [1] .
Қысқа тұйықталу (ҚТ) тоқтарын аппараттардың және тоқөткізгіш бөліктердің термикалық және динамикалық мықтылықтарын таңдап, тексеру үшін, қажет болған жағдайда осы тоқтарды шектейтін құрылғыларды таңдау үшін, сонымен қатар реле қорғанысы құрылғыларын таңдау және бағалау үшін есептейді.
Есептелуші болып үшфазалы қысқы тұйықталу табылады, себебі бұл жағдайда ҚТ тоқтары максимальді мәнге ие болып келеді. ҚТ тоқтарын есептеу кезінде кейбір рұқсат етілімдер қабылданады:
- ҚТ қарастырылып отырған нүктесінің қорек көзіне қатысушы, қайнар көздердің барлығы бір уақытта және номинальды жүктемемен жұмыс жасайды;
- электрмен қамсыздандыру сызбасының әрбір қадамының есептелген кернеуі номинальды мәнінен 5 % -ға жоғары болып қабылданады;
- ҚТ-дың соққан тоғы анағұрлым үлкен мәнді болған сәтте туындайды;
- ҚТ-дың орныныңқарсылық күші нөлге тең болады деп есептеледі;
- есептеу сызбанұсқасына кіретін әртүрлі қорек көздерінің ЭҚК фазасы бойынша өтуі есепке алынбайды;
- сыйымдылықыдыстар, әуе және кабельды желілердегі ыдыстардағы тоқтар да есепке алынбайды;
- трансформаторларды магниттайтын тоқтар есепке алынбайды;
- қорек беретін қайнар көздерінің кернеулері өзгеріссіз қалады.
110 кВ-тық төмен желілерде ҚТ тоқтарын есептеу, ҚТ-дың үшфазалы түріне негізделеді.
Таңдалып отырған күш-қуат және коммутациондық электрқұрылғыларының қысқа толқынды тұйықталу кезінде дұрыс жұмыс жасауын, сонымен қатар РҚ және А құрылғыларының дұрыс жұмыс жасауы үшін тексеруге деген қажеттілікке байланысты ҚТ-ның есептеу түрі болып, үшфазалы симметриялық ҚТ табылады.
Есептіңбелгіленуіне байланысты электрлік желінің жұмыс тәртібі(режімі) соған сайкес таңдалады.
Мысалы, коммутациондық аппаратуралады термикалық мықтылығын таңдап, тексеру ҚТ тораптарында максимальды мүмкін тоқ өтіп отырғанын талап етеді. Бұл режім есептік сызбанұсқаға қоректің барлық қайнар көздері мен байланыс тораптарын іске қосуды талап етеді. Мұндай режім максимальды деп аталады.
Керісінше, реле қорғанысы құрылғыларының сезімталдылығын тексеру, тексеріліп отырған қорғаныс арқылы өтіп жатырған ҚТ тоғы минимальды болуы үшін, қорек көзі мен байланыс тораптарынан айырылған, желілердің жөндеу режімінде болуын ескере отырып жүргізіледі.
Алайда, РҚ және А құрылғыларын тексеру үшін есептік режімдер мен зақымдардың түрлері анағұрлым қалыпсыз жағдайларда жүйенің жұмыс жасауына сүйене отырып белгіленуге тиісті, таңдап алынған жұмыс режімі нақты шынайы болуы тиіс [14] .
Орнын ауыстыру сызбасының параметрлерін табамыз
ЦДС-тің берілгендері бойынша Аралтобенің жүйенің қарсылық күші Х қ = 0, 5 о. е. Александровкадан Х қ = 0, 5 о. е. ҚТ тоқтарын есептеуді, қатысты бірліктерге апарамыз
 
Сурет 3-Есептік сызбанұсқа
 
Сурет 4-Орнын ауыстыру сызбасы
ҚТ тоқтарының есебін қатысты бірліктерге алып келеміз
S б = 100 мВА қабылдаймыз
U б1 =37 кВ
U б2 =10, 5кВ
Базистік тоқтарды табамыз
 I
 
  б1
 
 =S
 
  б
 
 /
  U
 
  б1
 
 =100/1, 73*37=1, 56 кА(2. 1. )
 U
 
  б1
 
 =100/1, 73*37=1, 56 кА(2. 1. )
 I
 
  б2
 
 =S
 
  б
 
 /
  U
 
  б2
 
 =100/1, 73*10, 5=5, 5 кА
 U
 
  б2
 
 =100/1, 73*10, 5=5, 5 кА
Александровка-Талдыбұлақ аймақтарындаU= 35 кВ болғанда
 I = S/
  U=1, 6/1, 73*35 =26, 42А(2. 2. )
 U=1, 6/1, 73*35 =26, 42А(2. 2. )
F расч =26, 42/1, 1= 24, 02мм
АС-120 өткізгішін таңдаймыз
Қарсылық күшіӘЖ 37 кВ өткізгіш АС-120
Александровка
 Х
 
  л
 
 =Х
 
  0
 
 L
 L
  S
 
  б
 
 /U
 
  2
 
 б
 
  1
 
 = 0, 4*31, 53*100/37
 
  2
 
 =0, 92 с. б(2. 3. )
 S
 
  б
 
 /U
 
  2
 
 б
 
  1
 
 = 0, 4*31, 53*100/37
 
  2
 
 =0, 92 с. б(2. 3. )
 R
 
  л
 
 =r
 
  0
 
 L
 L
  Sб/U
 
  2
 
 б
 
  1
 
 = 0, 21*31, 53*100/37
 
  2
 
 = 0, 48 с. б (2. 4. )
 Sб/U
 
  2
 
 б
 
  1
 
 = 0, 21*31, 53*100/37
 
  2
 
 = 0, 48 с. б (2. 4. )
Аралтобе
 Х
 
  л
 
 =Х
 
  0
 
 L
 L
  S
 
  б
 
 /U
 
  2
 
 б
 
  1
 
 = 0, 4*34*100/37
 
  2
 
 =0, 99 с. б
 S
 
  б
 
 /U
 
  2
 
 б
 
  1
 
 = 0, 4*34*100/37
 
  2
 
 =0, 99 с. б
 R
 
  л
 
 =r
 
  0
 
 L
 L
  Sб/U
 
  2
 
 б
 
  1
 
 = 0, 21*34*100/37
 
  2
 
 = 0, 52 с. б.
 Sб/U
 
  2
 
 б
 
  1
 
 = 0, 21*34*100/37
 
  2
 
 = 0, 52 с. б.
Талдыбұлақ -Кызылагаш
 Х
 
  л
 
 =Х
 
  0
 
 L
 L
  S
 
  б
 
 /U
 
  2
 
 б
 
  1
 
 = 0, 4*42*100/37
 
  2
 
 =1, 22с. б
 S
 
  б
 
 /U
 
  2
 
 б
 
  1
 
 = 0, 4*42*100/37
 
  2
 
 =1, 22с. б
 R
 
  л
 
 =r
 
  0
 
 L
 L
  Sб/U
 
  2
 
 б
 
  1
 
 = 0, 21*42*100/37
 
  2
 
 = 0, 64с. б
 Sб/U
 
  2
 
 б
 
  1
 
 = 0, 21*42*100/37
 
  2
 
 = 0, 64с. б
Трансформаторлардың қарсылық күші
 (2. 5. )
 (2. 5. )
К-1 нүктесіндегі қорытындылаушы қарсылық күшін анықтаймыз
 қор
 
 =
  қор
 
 =
  л
 
 +
  л
 
 +
  л
 
 +
  л
 
 +
  с
 
 =0, 48+ j0, 92+ j 0, 5=0, 48+ j1, 42 (2. 6. )
  с
 
 =0, 48+ j0, 92+ j 0, 5=0, 48+ j1, 42 (2. 6. )
 қор
 
 =
  қор
 
 =
  1, 49с. б
 1, 49с. б
К-2 нүктесіндегі қорытындылаушы қарсылық күшін анықтаймыз
 қор=
 
 =
  қор=
 
 =
  л
 
 +
  л
 
 +
  л
 
 +
  л
 
 +
  с
 
 +
  с
 
 +
  т
 
 =0, 52+ j0, 99+ j0, 5+ j4, 06=0, 52+j5, 5
  т
 
 =0, 52+ j0, 99+ j0, 5+ j4, 06=0, 52+j5, 5
 қор
 
 =
  қор
 
 =
  5, 52с. б
 5, 52с. б
К-3 нүктесіндегі қорытындылаушы қарсылық күшін анықтаймыз
 қор=
 
 =
  қор=
 
 =
  л
 
 +
  л
 
 +
  л
 
 +
  л
 
 +
  с
 
 +
  с
 
 +
  л
 
 +
  л
 
 +
  л
 
 =0, 52+ j0, 99+j0, 5+ 0, 64+ j1, 22=1, 16+j2, 71
  л
 
 =0, 52+ j0, 99+j0, 5+ 0, 64+ j1, 22=1, 16+j2, 71
 қор
 
 =
  қор
 
 =
  2, 94с. б
 2, 94с. б
ҚТ үшфазалы нүктелерін анықтаймыз
 (2. 7. )
 (2. 7. )
 
 
ҚТ екіфазалы нүктелерін анықтаймыз
 (2. 8. )
 (2. 8. )
 
 
ҚТ соққыш тоқтарын анықтаймыз
К-1 нүктесі
 (2. 9. )
 (2. 9. )
 (2. 10. )
 (2. 10. )
 
 
К-2 нүктесі
 
 
 
К-3 нүктесі
 
 
 
Қысқа тұйықталу жоспарлары бойынша есептің берілгендерін 4. 1 таблицасына енгіземіз
Кесте 4 -ҚТ есебінің берілгендері
2. 2. Жоғары вольтты кұрылғыларды таңдау
Қосалқы станция трансформаторларының қуаттылықтары 10 кВ тұтынушылардың электртұтынуымен анықталады. Жүктемелерді сағатпен қолданулар кесте 5 көрсетілген.
Кесте 5- Электрқуатын сағатпен қолдану
1:00
2:00
3:00
4:00
5:00
6:00
7:00
8:00
9:00
10:00
11:00
12:00
13:00
14:00
15:00
16:00
17:00
18:00
19:00
20:00
21:00
22:00
23:00
0:00
0, 8
0, 8
0, 8
0, 8
0, 8
0, 8
0, 8
1, 2
1, 2
1, 2
1, 3
1, 3
1, 3
1, 3
1, 3
1, 3
1, 3
1, 3
0, 95
0, 95
0, 95
0, 95
0, 95
0, 95
 Қосалқы станцияның жүктемесі графигінен төмендегі формула көмегімен толық орташаквадратты қуаттылықты
  анықтаймыз:
 анықтаймыз:
 (2. 1)
 (2. 1)
 МВА.
 МВА.
1. Трансформаторлардың номинальды қуаттылығы келесі жағдаймен анықталады[7] :
 (2. 2)
 (2. 2)
мұндағы: n - қосалқы станциядағы трансформаторлар саны (n=2) .
0, 7 - жүктеменің нормаланған коэффициенті.
 МВА.
 МВА.
 Ауыл шарушылығының дамуы мен жаңа тұрғын үйлердің салынуына байланысты қауттылығы
  , 6 МВАболатын бар трансформаторларды қалдырамыз.
 , 6 МВАболатын бар трансформаторларды қалдырамыз.
Қалыпты режімдегі трансформатордың жүктелу коэффициентін анықтаймыз:
 (2. 3)
 (2. 3)
 
Осыдан, қалыпты жағдайда трансформаторлардың тұйылып кетуі болмайды.
1. Аппаттан кейінгі режімдегі, бір трансформатор сөніп тұрған кездегі трансформатордың жүктелу коэффициентін анықтаймыз:
 (2. 4)
 (2. 4)
 
2. Аппаттан кейінгі режімдегі трансформатордың жүктелу коэффициенті 1, 5 деп бекітілген нормадан аспайды.
Осыдан, қуаттылығы1, 6МВА болатын трансформаторлардың әрбіреуі, талап етілген жағдайларды қанағаттандырады.
ТРДН-1600/35 трансформаторын таңдасақ. Трансформаторлардың параметрлері 3. 2 кестесінде берілген.
Кесте 6- Трансформаторлардың параметрлер
Электрлік аппаратар және тоқөткізуші бөлшектерді таңдау электроқондырғының немесе оның бір бөлшегінің қысқа және ұзақ режимдерінің есепті жағдайларына сәйкес таңдалады.
Есепті тоқтардың ұзақ режимі болып табылатын:
I жұм. - қалыпты режимдегі ұзақ жұмыс тоғы;
I жұм. max. - жөндеу және апаттан кейінгі режимдегі ең жоғары тоқ.
ВН тұсында:
 (2. 21)
 (2. 21)
 
НН тұсында:
 
Жөндеу және апаттан кейінгі ең жоғары тоғы тек қана келесі жағдайда ғана қолданылады, егер параллелді жұмыс істеп тұрған трансформатор айырылған жағдайда . Бұл I жұм -тыасқын жүктеменің апатты коэфициентіне K аб. көбейту арқылы, мүмкін боладыМЕМСТ 14209-85 -ке сәйкес қабылданған1, 4-ке тең.
 . . . (2. 22)
 . . . (2. 22)
 
ҚС-тың негізгі құрылымы бір-бірімен электрқондырғысы тоқөткізетін әр-түрлі бірліктер құрайтын өткізгіштермен қосылады.
АТҚ-35кВ бөлігі иілгіш сымдармен жасалады.
Трансформатор мен КРУН-10кВ ілулі тоқөткізгіштермен қосылады. РУ 10кВ-та қатты негіз қолданылады.
Иілгіш қималар мен тоқөткізгіштер:
Тоқтың экономикалық тығыздылығы арқылы.
 
термикалық төзімділікке тексеру келесілер негізінде жүргізіледі:
 мында, q
 
  min
 
 -өткізгіштің минималды қимасы, ҚТ кезінде оның термикалық төзімділігіне жауап беретін; q- тоқөткізгіштің стандартты қимасы
 мында, q
 
  min
 
 -өткізгіштің минималды қимасы, ҚТ кезінде оның термикалық төзімділігіне жауап беретін; q- тоқөткізгіштің стандартты қимасы
Минималды қима келесі формуламен анықталады:
 (2. 23)
 (2. 23)
Мұнда, С-функция, тоқөткізгіштің материалы мен түріне байланысты
Алюмин сымдарға С функциясының мағынасы 91Ac 1/2 /мм 2 [7] тең.
 В
 
  К
 
 =
  I
 
  K
 
  (3)
 I
 
  K
 
  (3)
 
 2
  2
 
 (t
 
  расч
 (t
 
  расч
 
 Т
 
  а
 
 ) кА
 
  2
 Т
 
  а
 
 ) кА
 
  2
 
 сек. (2. 24)
 сек. (2. 24)
Жылу импульсі.
T расч = 0, 1-0, 3 секунд есепті ұзақтылық к. з.
Ұзақ рұқсат етілген тоқ бойынша
 
тексеру кернеу 35 кВ және оданда көп болған жағдайында ғана керек болады.
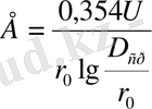
Тәж түріндегі разряд электрикалық өрістің бастапқы сындық кернеудің максималды мәнінде пайда болады, кВ/см
 , (2. 25)
 , (2. 25)
Бұнда m-сымның бетінің ескеру коэфициенті.
Сымның беткі қабатының электрикалық өрісінің кернеуі келесімен анықталады.
 , (2. 26)
 , (2. 26)
Бұнда U-желілік кернеу, кВ; Dор- фазадағы сымдардың орташа геометриялық қашықтығы, см.
Фазалардың горизонталды жағдайында:
 (2. 27)
 (2. 27)
Бұнда D- көршілес фазалардың арасындағы ара-қашықтығы, см.
 Егер де сымдар желісінің бетіндегі кернеудің ең көбі
  , сәйкес келсе, сымдар тәжденбейді.
 , сәйкес келсе, сымдар тәжденбейді.
 
Шинасымды таңдау
35 кВ тұсынан шинаны таңдау басталады. .
I жұм = 26, 4А; I жұм. max =36, 9А.
 (2. 28)
 (2. 28)
 АС-50
  сымын таңдаймыз.
 сымын таңдаймыз.
2 Рұқсат етілетін ұзақ тоқ бойынша
 
 
3Термикалық төзімділікке
 Минималды қима келесі формуламен анықталады:
 Минималды қима келесі формуламен анықталады:
 (2. 29)
 (2. 29)
 В
 
  К
 
 =
  I
 
  K
 
  (3)
 I
 
  K
 
  (3)
 
 2
  2
 
 (t
 
  расч+
 
 Т
 
  а
 
 ) =
 (t
 
  расч+
 
 Т
 
  а
 
 ) =
  
 
 
4. Тәждеу жағдайын тексеру
 (2. 30)
 (2. 30)
 
Фазалардың горизонталды жағдайында.
 
 
 
 
Тәждеу жағдайында шиналар.
10 кВ тұсынан шиналарды таңдау.
I жұм =92, 5А; I жұм. max =129, 5А.
1. Тоқтың экономикалық тығыздылығы бойынша.
 
 А-150
  Сымды таңдаймыз
 Сымды таңдаймыз
2Рұқсат етілетін ұзақ тоқ бойынша
 ,
 ,
  
3. Термикалық төзімділікке
 Минималды қима келесі формуламен анықталады:
 Минималды қима келесі формуламен анықталады:
 
 В
 
  К
 
 =
  I
 
  K
 
  (3)
 I
 
  K
 
  (3)
 
 2
  2
 
 (t
 
  расч+
 
 Т
 
  а
 
 ) =
 (t
 
  расч+
 
 Т
 
  а
 
 ) =
  
 
 
КРУН қатты шиносымды таңдау
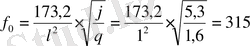
Шиналаудың қимасы тоқтың экономикалық тығыздылығымен таңдалады.
 
 40*4мм
  өлшемді шинаны таңдаймыз.
 өлшемді шинаны таңдаймыз.
2. Рұқсат етілетін ұзақ тоқ бойынша
 
 где
 где
  - кесте бойынша рұқсат етілетін тоқ.
 - кесте бойынша рұқсат етілетін тоқ.
 - салқындататын ортаның нақты температурасы
 - салқындататын ортаның нақты температурасы
 
 
Қ. Т. жағдайында термикалық бекемдік тексеріледі
 бұнда
 бұнда
  -қ. т. кезінде шинаны тоқпен қыздыру температурасы. .
 -қ. т. кезінде шинаны тоқпен қыздыру температурасы. .
 -қ. т. кезінде шинаны қыздырудың рұқсат етілетін температурасы
 -қ. т. кезінде шинаны қыздырудың рұқсат етілетін температурасы
 анықтау үшін, келесілерді анықтау керек.
 анықтау үшін, келесілерді анықтау керек.
 
 Қ. Т. кезінде температураны анықтау үшін қисықтан
  табамыз
 табамыз
 Анықтаймыз
  бұндаq-тоқөткізгіштің қимасы к=0, 154
 бұндаq-тоқөткізгіштің қимасы к=0, 154
 (2. 31)
 (2. 31)
 
 ,
 ,
  
Термикалық төзімділікке тоқөткізгіш өтеді
Электродинамикалық төзімділікке шиналарды тексеру.
 (2. 32)
 (2. 32)
 (шиналар бір-біріне тар жақтарымен келгенде) .
 (шиналар бір-біріне тар жақтарымен келгенде) .
 
 Т. к.
  , шиналар электродинамикалық төзімділікке өтеді.
 , шиналар электродинамикалық төзімділікке өтеді.
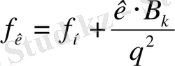
Оқшаулағышты таңдау
Оқшаулағыштар шиналарды бекіту және қауіпсіз қолдану үшін қолданылады. Оқшаулатқыштар келесі талаптармен таңдалады:
Қондырғы түрі
 
Рұқсат етілген механикалық жүктеме:
 (2. 34)
 (2. 34)
Оқшаулағышқа есепті жүктеме келесі формуламен анықталады:
 (2. 35)
 (2. 35)
Бұнда l - Аралықтағы оқшаулағыштар арасындағы қашықтық, l=1м.
а -фазалар арасындағы қашықтық, а=0, 15 м.
 Н
 Н
Ішкі қондырғыға оқшаулағышты таңдаймыз. : ИОР-10-30. 00УХЛ:
 
 
Таңдалған оқшаулағыш талаптарға сәйкес келеді. Оқшаулағыш ұзындығы130 мм.
Тоқ күшінің көбейіп кетуін шектеуіштерді таңдау
70-ші жылдарға дейін электрқұрылғыларын тоқ күшінің көбейіп кетуінен қорғаныс ретінде қолданылатын дәстүрлі аппараттар болып, вентильды бәсеңдеткіш болған, ол вольт-амперлі мінездемесі бар симметриялық желілік емес элементтен құралған. Сызықтық емес элементтің әлсіз сызықтық еместіктен ол тікелей желіге қосыла алмады, себебі жұмыс режімінде ол арқылы бырталай тоқ өтетін еді.
... жалғасы- Іс жүргізу
- Автоматтандыру, Техника
- Алғашқы әскери дайындық
- Астрономия
- Ауыл шаруашылығы
- Банк ісі
- Бизнесті бағалау
- Биология
- Бухгалтерлік іс
- Валеология
- Ветеринария
- География
- Геология, Геофизика, Геодезия
- Дін
- Ет, сүт, шарап өнімдері
- Жалпы тарих
- Жер кадастрі, Жылжымайтын мүлік
- Журналистика
- Информатика
- Кеден ісі
- Маркетинг
- Математика, Геометрия
- Медицина
- Мемлекеттік басқару
- Менеджмент
- Мұнай, Газ
- Мұрағат ісі
- Мәдениеттану
- ОБЖ (Основы безопасности жизнедеятельности)
- Педагогика
- Полиграфия
- Психология
- Салық
- Саясаттану
- Сақтандыру
- Сертификаттау, стандарттау
- Социология, Демография
- Спорт
- Статистика
- Тілтану, Филология
- Тарихи тұлғалар
- Тау-кен ісі
- Транспорт
- Туризм
- Физика
- Философия
- Халықаралық қатынастар
- Химия
- Экология, Қоршаған ортаны қорғау
- Экономика
- Экономикалық география
- Электротехника
- Қазақстан тарихы
- Қаржы
- Құрылыс
- Құқық, Криминалистика
- Әдебиет
- Өнер, музыка
- Өнеркәсіп, Өндіріс
Қазақ тілінде жазылған рефераттар, курстық жұмыстар, дипломдық жұмыстар бойынша біздің қор #1 болып табылады.
 
            
                Ақпарат
Қосымша
Email: info@stud.kz