Ньютон заңдары


Тақырыбы:
Ньютон заңдары.
(Реферат)
Орындаған:
Тексерген:
201 -201 оқу жылдары.
Жоспар:
I. Кіріспе
1. Өмірі мен ашқан жаңалықтары.
II. Негізгі бөлім.
1. Ньютон заңдары.
III. Қорытынды.
1. Ньютон заңдарының қазіргі күндегі тигізер пайдасы.
Исаак Ньютон - классикалық физиканы құрған әйгiлi ағылшын ғалымы, Исаак Ньютон, Корольдік қоғамның мүшесі - ағылшын физигі, математигі, астрономы, табиғи философы, алхимигі және теологы.
1643 жылдың 4 ақпанында Англиядағы Линкольншир графстовасындағы Ньютондар отбасында бір сәби дүниеге келді. Сәбидің жетілмей туылғандығы барлық отбасы мүшелерін алаңдатып, оның тірі қалуы күмән тудырған еді. Десе де сәби Исаак тірі қалып, барлық адамзат баласының бақытына орай аман есен өсіп-жетіле берді.
Мектеп жасында Исаакта дарындылықтың ешқандай белгісі байқалған жоқ. Оқытылған пәндердің көпшілігінен қанағаттанарлық деген баға алып жүрді. Бұны тек баланың оқытылған пәндерге деген қызығушылығының жоқтығымен ғана түсіндіруге болады. Оның өмірінің кейінгі кездерінде көрсеткен интеллектісіне қарап, тек осындай ғана тұжырым жасауға болады.
1660 жылы өздігінен Кембридж университетінің Тринити-колледжіне оқуға түскенде, ол не-бары он сегіз жаста болатын. Бұл университет сол кезеңдердің өзінде үлкен абыройға ие болып, шамалы адам оқуға түсе алмайтын. Айта кетер нәрсе Исаак өмір сүрген он жетінші ғасырдың ортасында Англияда революция орын алып, бірінші Карлдың басы шабылып, парламент таралып, ел ішінде бүліктің болып жатқан кез еді. Осыған қарамастан, Англияда университеттер қалыпты жұмыс істеп, баяу болса да ғылым дамып жатты.
Осылайша Ньютон 1665 жылы тіл білімдерінің бакалавры атанып, 1668 жылы магистр атағын алып, осы университетке мұғалім болып орналасады. 1669 жылы аты әлемге әйгілі математик әрі оның ұстазы Исаак Барроу оған кафедраны тапсырады. Осы сәттен бастап, 1689 жылға дейін ғалым университетте математика мен оптикадан дәріс оқиды.
Ньютонның латын тіліндегі кітабы.
Ньютонның бірінші заңы: Нүктеге (денеге) ешқандай күш әсер етпесе, онда нүкте (дене) өзінің бастапқы тыныштық күйін немесе бір қалыпты, түзу сызықты қозғалысын сақтайды. Материалдық денелердің мұндай қасиетін инерциялық деп атайды. Сондықтан да Ньютонның бірінші заңы әдетте инерция заңы аталады. Механикалық қозғалыс салыстырмалы, оның сипаты санақ жүйесіне тәуелді. Ньютонның І заңы барлық санақ жүйлерінде орындалмайды, бұл заң орындалатын санақ жүйелері инерциялық санақ жүйесі деп аталады. Инерцияның санақ жүйесі деп, басқа бір инерциялы санақ жүйесімен салыстырғанда тыныштықта тұратын немесе бірқалыпты және түзу сызықты қозғалытын санақ жүйесін айтамыз.
Ньютонның екінші заңын қарастырудың алдында күш, салмақ және масса ұғымдарына тоқталайық. Күш
деп денелердің өзара әсерлесуінің нәтижесінде бір-біріне үдеу беруін айтамыз. Денелердің өзара әсері бір-біріне тек үдеу беріп қоймай, бір-бірінің көлемі мен формасын да өзгерте алады. Демек, дене бөлшектерінің бір-бірімен салыстырғанда орын ауыстыруын дененің деформациясы деп атайды. Күш - векторлық шама. Дененің жерге тартылуы кезінде оған қарсы әсер ететін екінші денеге түсетін күшті салмақ дейді.
Басқа денелер әсер етпегенде, дененің өз жылдамдығын сақтау қабілеті инерттілік деп аталады. Дененің инерттілігін сипаттайтын скаляр шама инерттілік
масса деп аталады.
Ньютонның екінші заңы ілгерілемелі қозғалыс динамикасының негізгі заңы - ол денелердің өзара әсерлесуі және ілгерімелі қозғалысы кезінде оларда болатын өзгерістерінің байланысын сипаттайды. Егер әр түрлі
күштері қандай да тек
массалы бір денеге әсерін қарастырсақ, онда ол дененің алатын
үдеуі осы әсер ететін күштерге тура пропорционал болады:
. Егер әр түрлі
массалы денелерге бірдей
күшпен әсер етсе, онда олардың алатын
үдеулері әр түрлі болады. Дене массасы үлкен болған сайын, ол дененің үдеуі азырақ болады: яғни
,
. Осы өрнектерді пайланып, әрі күш пен үдеудің векторлық шамалар екенін ескере отырып, былай жазуға болады:
Ньютонның екінші заңы деп аталады және былай тұжырымдалады: дененің алған үдеуі әсер етуші күшке тура пропорционал, дене массасына кері пропорционал және әсер етуші күштің бағыты бойынша өзгереді.
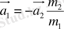
Ньютонның үшінші заңы былай тұжырымдалады :
әсерлесуші екі дененің бір-біріне әсері әруақытта сан жағынан тең, бағыттары жағынан қарама-қарсы болады:
.
Мысалы: массалары
және
екі дене алып қарастырайық. Олар
және
күштерінің күштерінің әсерінен
,
үдеу алады. Ньютонның екінші заңы бойынша:
.
Ньютонның үшінші заңы бойынша:
Бұдан
әсерлесуші екі дененің үдеулері оның массаларына кері пропорционал әрі қарама-қарсы бағытта бағытталады. Мұндағы
және
күштері әр түрлі денелерге әсер ететіндіктен, олар бір-біріне теңгерілмейді. Сондықтан оларды қосуға болмайды. Бірақ белгілі бір жүйені қарастырғанда денелердің арасындағы өзара әсерлесу күштерін қосуға болады, бірақ олардың қосындысы әрдайым ноьге тең.
Ньютонның екінші заңын басқа түрде де жазып көрсетуге болады. Ол үшін кинематика бөліміндегі үдеудің
мәнін ескеретін болсақ, онда
мұндағы дененің (материалдық нүктенің) массасының классикалық физикада тұрақтылығын ескеріп, оны дифференциалдық астына жазуға болады:
Сонымен соңғы қозғалыс теңдеуі Ньютонның екінші заңын дифференциал түрде көрсетеді. Ал дифференциалдың астындағы дененің массасы мен жылдамдығының көбейтіндісі дененің импульсі немесе қозғалыс мөлшері деп аталатын векторлық шаманы береді:
Импульс ұғымын пайдаланып, Ньютонның екінші заңын жалпы түрде жазуға және тұжырымдауға болады:
Дененің (материалдық нүктенің) импульсінің немесе қозғалыс мөлшерінің уақыт бойынша бірінші туындысы оған әсер етуші күшке тең.
Үйкеліс күші.
Механикалық процесстерде денелерге әртүрлі күштер әсер етеді: тартылыс, үйкеліс, серпімділік. Денелердің өзара салыстырмалы қозғалысы кезінде олардың жанасу беттері арасында пайда болатын күштерді үйкеліс күштері деп атайды. Денелердің жанасу беттерінің арасында сұйық немесе газ қабаты болмаған жағдайда үйкеліс сырғанау және домалау үйкелістері болып екіге бөлінеді. Сырғанау үйкеліс күші
әрдайым денелердің жанасу бетінің бойымен орын ауыстыруға қарама-қарсы бағытталады. Сондықтан үйкеліс күші әрқашан денелердің салыстырмалы қозғалыс жылдамдығының модулын кемітуге тырысады. Тыныштық үйкеліс күші денелердің жанасу бетіне жанама бойымен бағытталған сыртқы
күшіне модулы жағынан тең, бағыты жағынан қарама-қарсы болады. Тыныштық және сырғанау үйкеліс күштері үшін төменгі қатынас орындалады:
Домалауүйкеліс күші
мұндағы
-үйкеліс коэффициенті, ол жанасатын беттердің материалына, өңдеу сапасына тәуелді, қалыпты қысым күші
шамасына пропорционал болады,
-қисықтық радиусы.
Серпімділік күші. Сыртқы күштердің әсерінен дененің немесе оның жеке бөліктерінің пішінінің өзгерісі деформация деп аталады. Деформация кезінде пайда болатын және өзара әсерлесетін дене бөлшектерінің орын ауыстыруына қарсы жаққа бағытталатын күшті серпімділік күші деп атайды. Серпімділік күшін Гук заңы арқылы анықтауға болады. Бұл заң серпімді деформацияның созылу, сығылу, ығысу, бұралу, иілу сияқты түрлері үшін орындалады. Дененің серпімді деформациясы кезінде пайда болатын серпімділік күші дененің ұзаруына пропорционал да, дене бөліктерінің орын ауыстыру бағытына қарама-қарсы бағытталады:
мұндағы
-дененің қатаңдық коэффициенті,
- орын ауыстыру.
Ауырлық күші.
Денеге әсер ететін ауырлық күші, дененің массасы мен еркін түсу үдеуінің көбейтіндісіне тең, әрдайым перпендикуляр төмен қарай бағытталады:
мұндағы
- дененің еркін түсу үдеуі.
Бүкіләлемдік тартылыс заңы.
ХVІІ ғ. ортасында ғалымдарды денелердің өзара тартылу күшінің ара қашықтыққа тғуелділігі ойлантты. Мысалы Күн планеталарды қандай күшпен тартады? Р. Гук 1674 ж. осы мәселе жайында былай деді: “Әсер ету орталығына денелер неғұрлым жақын орналасса тарту күштері соғұрлым көбірек болады. Бұл күштің ара қашықтыққа қандай тғуелділікте екендігін мен ғлі тәжірибеде анықтағаным жоқ”. Гуктің замандастары тарту күшінің өрнегін тауып, оның негізінде планеталар траекториясын анықтай алмады. Бұл мәселе жөнінде Гуктің ойы болды, бірақ оларды дәлелдей алмады.
1683 ж. Гук осы мәселемен айналысып жүрген ғалымдар К. Рен және Э. Галлеймен тартылыс туралы ой бөлісу үшін арнайы кездесті. Бірақ бұл үш ғалымның кездесуі нғтижесіз болды. Тұйыққа тірелген Галлей осы мәселемен Ньютонға келді. Бұл мәселенің шешімі Ньютонға көптен белгілі екенін естіген ол қатты таңқалып қуанады!
Ньютон тартылу күшінің өрнегін 1666 ж., 24 жасында-ақ анықтаған. Бірақ, ол өзінің теориясын тәжірибелік деректермен салыстырып, көп алшақтық байқағандықтан жария етпейді. Нәтижесінде ол ашқан заң көптеген жылдар бойы белгісіз болып қалды. Алайда, ол қолданған деректер нақты дәл емес. Ньютонға дәлірек өлшеулердің нғтижелері белгілі болғанда, О. Лодж айтқандай, ол “өзінің ескі қолжазбаларын алып есептеуге кірісті… Жаңа деректер есептеу нғтижелерін өзгерте бастады. Ол өз жұмысын керемет тебіреніспен қайта қарады. Қаламы ойына ілесе алмады. Соңында есептеулерден керекті нғтиже алды. Ашқан заңның керемет мәні мен тереңдігі оның басын айналдырып, тұманданған көздері қолжазбаны көрмеді. Шаршаған ол қаламын тастай салады. Әлем құрылымының құпиясы жалғыз өзіне ғана ашылды…”.
Ньютон алғашында еркін құлау үдеуінің ара қашықтыққа тғуелділігін анықтады. Ол Жер бетінде, демек оның ортасынан 6400 км қашықтықта еркін түсу үдеуі 9, 8 м/с 2 , ал 60 есе үлкен қашықтықтағы Айда: 3600 = 60 2 . Демек, еркін түсу үдеуі Жер ортасынан ара қашықтықтың квадратына кері пропорционал азаяды. Ньютонның екінші заңына сәйкес үдеу күшке пропорционал. ‡деудің осылай азаюы тартылу күшінің ара қашықтықтан тура сондай тғуелділігінен.
Тарту күшінің толық формуласын, бұл күштің әсерлесуші денелердің гравитациялық зарядтарына, демек олардың m 1 және m 2 массаларына пропорционал екендігін ескергенде анықтауға болады. Сонымен,
Ньютон Жердің оған тартылатын денелермен гравитациялық әсерлесу күшін анықтайтын өрнекті тапты. Өз интуициясына сенген ол анықталған формуламен өзара ара қашықтығымен r салыстырғанда өлшемі аз болатын Әлемдегі кез-келген денелер арасындағы тартылу күшін есептеуге болады деп ойлады. Сондықтан ол өзі анықтаған өрнекті аспан денелеріне де, Жер бетіндегі денелер үшін де дұрыс болатын бүкіләлемдік тартылыс заңы ретінде қарастырды. Ғылымның әрі қарай дамуы Ньютон заңының дұрыстығын, бұл заңды атомдар мен молекулалардан бастап керемет үлкен жұлдыздар шоғына да қолдануға болатындығын көрсетті.
Сонымен, Ньютон ашқан бүкіләлемдік тартылыс заңы былай тұжырымдалады:
Кез-келген екі бөлшектің гравитациялық тартылу күші олардың массаларының көбейтіндісіне тура пропорционал, ал олардың ара қашықтығының квадратына кері пропорционал.
Бұл заң математикалық түрде (40. 1) формуламен өрнектеледі. Бұл формуладағы G - пропорционалдық коэфициенті гравитациялық тұрақты деп аталады.
Бұл жерде бүкіләлемдік тартылыс заңы бөлшектер үшін, демек, өлшемдері r ара қашықтығынан ғлдеқайда аз денелер үшін тұжырымдалған. Алайда бұл заңның керемет бір ерекшілігі оны басқа да жағдайларда қолдануға мүмкіндік береді. Тартылу күшінің бөлшектерден ара қашықтығының үшінші немесе төртінші дәрежесіне емес, тек квадратына тғуелділігі бұл заңның аталған ерекшілігі. Есептеулер көрсеткеніндей тура осыған байланысты (40. 1) - формуланы ішіндегі заты сфералық- симметриялы таралған шар тәрізді дғнелердің арасындағы ара қашықтықтың кез-келген мәні үшін қолдануға болады. Бұл жағдайды r -денелер арасындағы қашықтық емес, сол денелердің орталықтары арасындағы қашықтық (35-сурет) . (40. 1) формула аралық жағдайда да дұрыс, мысалы өлшемі кез- келген сфералық дене материаялық нүктемен әсерлескенде. Осы жағдай бүкіләлемдік тартылу формуласын Жер шарының заттарды тарту күшін есептеуге мүмкіндік береді.

Аңыз бойынша Ньютонға бүкіләлемдік тартылыс туралы ой, ол өз бағында демалып отырғанда құлаған алма себеп болған. Ньютонның аяғына дәл уақытында құлаған алманың ағашы елеусіз қалмай, оның бөлшектері Англияда осы уақытқа дейін сақталып келеді деген сөз бар.
Бүкіләлемдік тартылыс заңының ашылуы Ньютонға нақты математикалық дәлелдеулерге негізделген аспан денелерінің қозғалу теориясын жасауға мүмкіндік берді. Осыған дейін ғылымда мұндай жағдай болған емес.
Бірақ бұл теорияның Ньютон замандастарына күшті әсері, оларды қанағаттанбағандық сезімінің пайда болуына кедергі бола алмады. Олар көптеген “неге?”- деген сұрақтарды қойды. Неге денелер тартылады? Ньютон бұл сұраққа жауап бермеді. “Тартылу күшінің қасиеттерінің себебін мен ғлі күнге құбылыстардан қорытып шығара алмадым, мен ойдан гипотеза шығармаймын деп жазды ол “Математикалық бастамаларда”. Тартылыстың шынында бар екендігі және біз келтірген заңдармен әсер ететіндігі, сондай-ақ аспан денелерінің және теңіздің барлық қозғалыстарын түсіндіретіндігі жеткілікті”.
... жалғасы- Іс жүргізу
- Автоматтандыру, Техника
- Алғашқы әскери дайындық
- Астрономия
- Ауыл шаруашылығы
- Банк ісі
- Бизнесті бағалау
- Биология
- Бухгалтерлік іс
- Валеология
- Ветеринария
- География
- Геология, Геофизика, Геодезия
- Дін
- Ет, сүт, шарап өнімдері
- Жалпы тарих
- Жер кадастрі, Жылжымайтын мүлік
- Журналистика
- Информатика
- Кеден ісі
- Маркетинг
- Математика, Геометрия
- Медицина
- Мемлекеттік басқару
- Менеджмент
- Мұнай, Газ
- Мұрағат ісі
- Мәдениеттану
- ОБЖ (Основы безопасности жизнедеятельности)
- Педагогика
- Полиграфия
- Психология
- Салық
- Саясаттану
- Сақтандыру
- Сертификаттау, стандарттау
- Социология, Демография
- Спорт
- Статистика
- Тілтану, Филология
- Тарихи тұлғалар
- Тау-кен ісі
- Транспорт
- Туризм
- Физика
- Философия
- Халықаралық қатынастар
- Химия
- Экология, Қоршаған ортаны қорғау
- Экономика
- Экономикалық география
- Электротехника
- Қазақстан тарихы
- Қаржы
- Құрылыс
- Құқық, Криминалистика
- Әдебиет
- Өнер, музыка
- Өнеркәсіп, Өндіріс
Қазақ тілінде жазылған рефераттар, курстық жұмыстар, дипломдық жұмыстар бойынша біздің қор #1 болып табылады.

Ақпарат
Қосымша
Email: info@stud.kz