ТАНДАМА ӘДІСІ. Бас жинақ және таңдама


ТАНДАМА ӘДІСІ
- Бас жинақ және таңдама.
Көптеген кездейсоқ құбылыстардың бағынатын заңдылығын анықтау тәселесі, бақылау нәтижесінің статистикасын зерттейтін ықтималдық теориясының әдістіне негізделгегн.
Математикалық статистиканың мынадай есептерін қарастырамыз:
- Жүргізілген тәжірибенің немесе бақылаудың нәтижесінде, алынған статистикалық мағлұматтарға жинау жән оларды топқа бөлу әдістерін көрсету.
- Зерттеудің мақсатына байланысты статистикалық мағлұматтарға анализ жасау әдістерін іздеп табу.
Математикалық статистиканың міндеті ғылыми және практикалық тұжырымдар жасау үшін сиатистикалық мағлұматтарды жинау.
Кейде қажетті белгісі бойынша, заттар жиынтығындағы әрбір затты түгелдей тексеруге тура келеді. Іс жүзінде бұлай түгілдей тексеру өте сирек зерттейді. Таңдап алынған жиынтық немесе жай ғана таңдамалы деп, кездейсоқ таңдап алынған заттардың жиынын айтады.
Бас жиынтық деп, таңдамалы жасалатын заттардың жиынтығын айтады.
Көлем жиынтығы деп, осы жинақтың ішіндегі заттардың санын айтады.
Мысалы, егер 1000 бөлшектен тексеру үшін 100 бөлшек бөліп алынса, онда бас жиынтықтың көлемі N=1000, ал таңдамалы жиынтығының көлемі n=100.
2. Гистограмма және полигон.
Жиілік полигоны деп (x і ; n i ), (x 2 ; n 2 ), . . . , (x к ; n к ), нүктелерін кесінділермен қосқанда шыққан сынық сызықтарды айтады. Полигон салу үшін абцисса осіне x і - варианттары, ал оларға сәйкес жиіліктері ордината осіне салынады. (x і ; n i ) нүктелерін кесінділермен қоссақ жиілік полигонын аламыз (1 сурет) . Салыстырмалы жиілік полигоны деп (x 1 ; w 1 ), (x 2 ; w 2 ), . . . , (x к ; w к ) нүктелерін кесінділермен қосқанда шыққан сынық сызықтарды айтады. Салыстырмалы жиілік полигонын салу үшін, абцисса осіне x і - варианттары, ал оларға сәйкес w i - салыстырмалы жиіліктер ордината осіне салынады. (x і ; w і ) - нүктелерін кесінділермен қоссақ салыстырмалы жиілік полигонын аламыз.
- Вариациялық қатар.
Бақылау нәтижесінде қарастырылып отырған белгінің жиынтықтағы, әрбір бірлікке қатысты сандық немесе сапалық өзгерісі туралы мәлімет аламыз. Статистикалық бақылаудың мақсаты сол жиынтықта белгінің өзгеруін ( вариациясын ) шешу. Ал белгінің мүмкін мәндерін статистикада варианта деп атайды. Варианталар сандық (дискретті немесе үздіксіз) болатын мүмкіндігін көрдік.
Бұл кестенің жоғарғы жолын белгі мәндері (варианталары), ал төменгі жолында әрбір мәннің неше рет кездескені келтірілген. Осылай реттелген кестені вариациялық қатар деп атайды.
Әдетте белгіні (вариантаны) кездейсоқ шамалар сияқты х, у, z, . . . , y k , z 1 , z 2 , …., z k арқылы белгілейміз. Варианта қайталап отыруы мүмкін. Ол қайталаулардың абсалютті санын (жиілігін) n 1 , n 2 … n k деп белгілесек, онда вариациялық қатардың жалпы түрін мына кесте көрсетеді.
2 - кесте
Мұнда, х і - варианталары сәйкес;
n i - жиіліктер;
- вариация қатардың көлемі.
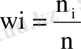
Іс жүзінде варианта абсалютті жиілікпен қатар салыстырмалы жиілік түрінде де беріледі. Бұл жағдайда 2 кесте былай жазылады:
3 - кесте
Мұндағы,
- салыстырмалы жиілік
ал,
- салыстырмалы жиіліктердің қосындысына бірге тең.
Егер вариация үздіксіз өзгеретін болса, онда вариациалық қатарды интервалдар бойынша құруға тура келеді.
Жалпы түрде интервалдық қатар мынадай болады:
4 - кесте. Жиіліктің интервалдық түрі.
немесе
5 - кесте. Салыстырмалы жиіліктің интервалдық түрі.
Мұндағы (x 1; x 2 ), (x 2; x 3 ), (x 3; x 4 ) . . . , (x m; x m+1 ) аралықтары белгінің мүмкін мәндері жататын интервалды к 1 = x 2 -x 1 ; к 2 = x 3 -x 2 , к m = x m+1 -x m - айырымдары интервалды сипаттайды.
Жиілік гистограммасы деп табандарының ұзындықтары һ - қа тең дербес интервалдан, ал биіктері
қатынасындай болатын тік төртбұрыштардан құрылған сатылы фигураны айтады.
Жиілік гистограммасын салу үшін абцисса осіне дербес интервалды, ал олардың жоғарғы жағынан абцисса осіне паралелль және одан ара қашықтықтары
ation. 3 - қа тең кесінділер жүргіземіз. Мұндағы
- жиілік тығыздығы. і - ші тік төртбұрыштың
- ге тең. Сонымен жиілік гистограммасының ауданы барлық жиіліктердің қосындысына тең, яғни
таңдау көлеміне тең
.
Салыстырмалы жиілік гистограмма
сы деп, табадарының ұзындықтары һ - қа тең интервалдар, ал биіктіктері
(салыстырмалы жиілік тығыздығы) қатынасына тең тік төртбұрыштардан құрылған фигураны айтады.
Салыстырмалы жиілік гистограммасын салу үшін абцисса осіне интервалдарды, ал оның жоғарғы жағынан абцисса осіне паралелль және одан қашықтықтары
қатынасына тең кесінділерді саламыз.
і - ші тік төртбұрыштың ауданы:
- ге тең.
- Вариациялық қатардың сандық сиппатамалары.
Сонымен салыстырмалы жиілік гистограммасының ауданы, барлық салыстырмалы жиіліктер қосындысына, яғни бірге тең.
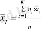
- Арифметикалық таңдамалы орта. Белгінің (Х) арифметикалық ортасыдеп варианталардың жалпы санына (таңдаманың көлеміне) қатынасын айтады, яғни (егер барлық варианталар әртүрлі болса) :

Мұнда,
х і - варианталар (белгі мәндері) :
- таңдама көлемі.
Егер таңдама вариациялық қатармен берілсе, онда

Мұнда,
n і - варианталар cалмағы (жиілігі) ;
- таңдамалы көлемі;
х і - варианталар.
... жалғасы- Іс жүргізу
- Автоматтандыру, Техника
- Алғашқы әскери дайындық
- Астрономия
- Ауыл шаруашылығы
- Банк ісі
- Бизнесті бағалау
- Биология
- Бухгалтерлік іс
- Валеология
- Ветеринария
- География
- Геология, Геофизика, Геодезия
- Дін
- Ет, сүт, шарап өнімдері
- Жалпы тарих
- Жер кадастрі, Жылжымайтын мүлік
- Журналистика
- Информатика
- Кеден ісі
- Маркетинг
- Математика, Геометрия
- Медицина
- Мемлекеттік басқару
- Менеджмент
- Мұнай, Газ
- Мұрағат ісі
- Мәдениеттану
- ОБЖ (Основы безопасности жизнедеятельности)
- Педагогика
- Полиграфия
- Психология
- Салық
- Саясаттану
- Сақтандыру
- Сертификаттау, стандарттау
- Социология, Демография
- Спорт
- Статистика
- Тілтану, Филология
- Тарихи тұлғалар
- Тау-кен ісі
- Транспорт
- Туризм
- Физика
- Философия
- Халықаралық қатынастар
- Химия
- Экология, Қоршаған ортаны қорғау
- Экономика
- Экономикалық география
- Электротехника
- Қазақстан тарихы
- Қаржы
- Құрылыс
- Құқық, Криминалистика
- Әдебиет
- Өнер, музыка
- Өнеркәсіп, Өндіріс
Қазақ тілінде жазылған рефераттар, курстық жұмыстар, дипломдық жұмыстар бойынша біздің қор #1 болып табылады.

Ақпарат
Қосымша
Email: info@stud.kz