Мал шежіресі бойынша инбридинг дәрежесін анықтау

 
    
  Мазмұны
 
Кіріспе . . . 3
- Әдебиетке шолу . . . 3
- Негізгі бөлім . . . 62. 1. Мал шежіресі бойынша инбридинг дәрежесін анықтау . . . 62. 2. Генетикалық ұқсастық коэффициентін есептеу . . . 122. 3. Мал тұқымын асырау жұмысында инбридинг дәрежесін есептеу . . . 22
Қорытынды . . . 27
Пайдаланылған әдебиеттер . . . 29
Кіріспе
1. Әдебиетке шолу
- Губбак (Шортгорн тұқымының негізін салушы) . Жылқының Орлов тұқымындағы Барс 1-дің, шошқаның украиндық далалық ақ тұқымдағы Аскания 1-дің тұқым қуалаушылық қасиеттерін бекіту жұмыстары инбридингті пайдалану арқылы жүзеге асырылды.
- Р. Беквелл (ХІХ ғасырдың селекционері) . Тұқымның негізін салушылардың аса көрнекті қасиеттерін ұрпағында орнықтыру мақсатында кез-келген дәрежедегі инбридинг пайдалануды жаңа тұқымдар шығарудың негізі деп есептеді. Инбридингті жануарларды мол азықтандыруға ұштастыра отырып, экстерьері жөнінде мақсатты сұрыптау және аталықтар ұрпағының қасиеттеріне қарай бағалауда қолдану Р. Беквеллге зор абырой әкелді. Ол және оның шәкірттері ірі қараның (шортгорн және герефорд), жылқының (шайр), қойдың (лейстер), шошқаның (ірі ақ) тамаша тұқымдарын шығарды.
- Х. Уайтсон. Оның табынында не бары 6 тоқал қара сиыры, 10 тайынша мен бір ғана бұқа ұстаған. Ол сондықтанда ірі қараның Абердин-ангус етті тұқымын шығаруда инбридингті пайдаланған.
- А. Г. Орлов пен В. И. Шишкин. Орловтың желісті жылқысын шығаруда инбридингті шебер пайдаланған. Олар тұқымның типін өзгерту және туыстас малды жұптастырудың зиянды салдарын бәсеңдету мақсатында тығыз инбридингті және аталық іздер бойынша өсіруді, сондай-ақ буындарды бастапқы тұқымдардың (голланд) бірімен қайталап будандастыру тәсілін пайдаланды.
- С. И. Бестужев. Ірі қараның бестужев тұқымын шығаруда әр түрлі типті және туыстық дәрежесі түрліше инбридинг қолданды.
- П. Н. Кулешов, Д. А. Кисловский. Көптеген зауыттық тұқымдардың шығу тарихын зерттеп, тұқым түзілуіндегі инбридинг әдісінің тиімді ролін көрсетті. Олар ұзаққа созылатын тығыз инбридингті тиімсіз деп есептегенімен, туыстас малды жұптастыру әдісін қолдануды ашық қорғап шықты. Жылқылардың Орлов тұқымын шығаруда тұқымның әйгілі аталық іздерін қалыптастырып жетілдіруде қалыпты инбридингтің пайдалы болатынын көрсетті.
- М. Ф. Иванов (Тұқым түзудің ғылыми әдісінің негізін қалайшы) . Инбридинг әдісін селекциялық жұмыстың қажетті әдісі деп есептейді.
- С. Райт (Генетик) . Теңіз шошқаларына жүргізілген тәжірибелерінде инбредтелген 23 семьяда 20 ұрпақ бойы ағасы х қарындасы үлгісімен туыстас жұптастыру қолданған. Инбредті 20 ұрпақ теңіз шошқаларын өсіру барысында 35 аталық іздің 25-сі жойылып кеткен. Қалған аталық іздердің тіршілік қабілеті, тірілей массасы мен өсімталдығы кеміген. Инбредті аталық іздердің жануарларын өзара шағылыстыру ұрпақтың сапасын біраз жақсартуға да себепші болған. Мал тұқымын жақсартуда инбридингті қолдану жөніндегі С. Райт қорытындыларының маңызы өте зор.
- Глембоцкий мағлұматтарына қарағанда, қойдың прекос тұқымын инбредтегенде іс тастаған саулықтардың саны туыстас емес малды жұптастырумен салыстырғанда 2 есе көп болған. Инбридингтің ұрпақ қасиеттеріне теріс әсер ететіндігін дәлелдеген.
- Нильсон-Эле, Д. Лаш. Туыстас малдарды жұптастырғанда жануарлардың өсуі бастапқы даму кезеңінде баяу болатынын атап көрсетті. Лейбен Калифорнияда инбрингті ірі қарада пайдаланудың көп жылдық тәжірибелерінің мағлұматтарына сүйене отырып, инбридинг артуының әрбір пайызына сүттілік 210 фунтқа, ал сүт майы мөлшерінің 0, 9 фунтқа кемігенін хабарлайды.
- О. А. Иванова, Е. Я. Борисенко. Ғалымдардың көптеген жануарларға жүргізген көлемді зерттеулері нәтижесінде инбридингтің сиырлар өсімталдығы мен бұзаулардың тіршілік қабілетіне теріс әсер ететінін анықтаған.
- Ч. Дарвин. Өзінің 10 жылдан астам уақыт бойы жүргізген бақылаулары мен тәжірибелерінің негізінде тіршіліктің ұлы заңын тұжырымдады. Бұл заң бойынша бүкіл жандының бәрі өздерімен қандық туыстығы жоқ дарақтармен кездейсоқ будандасудан пайда табады, ал ұзаққа созылатын туыстардың жұптасуы зиян келтіреді деп тұжырымдады.
- Е. К. Меркурьеваның айтуынша Швецияға Нидерландыдан әкелінген Дольф атты голштин бұқасы жүнсіздік генін таратушы болған, ал А100-А-48 остфриз бұқасы бұзаулаудың аяқсыз туатын генін таратқан. Бұл аталықтар асыл тұқымды табындарға көптеген зиян келтірді. Инбридинг кезінде көбіне жануарлардың тіршілік қабілеті мен олардың өнімділік артықшылықтары үшін аса маңызды болып табылатын аллельдердің жойылуы байқалады.
2. Негізгі бөлім
2. 1. Мал шежіресі бойынша инбридинг дәрежесін анықтау
Инбридинг дегеніміз - туыстық жақындығы бар жануарларды жұптастыру жүйесі. Туыстас малды жұптастыру тұқымды таза өсіруде, тұқым түзуде, аталық іздер бойынша өсіруде кеңінен қолданылатындықтан, оның тұқым асылдандыру жұмыстары жүйесінде алатын орны мен мәнін қарастырайық.
Инбридинг жөніндегі ілім ертеден-ақ пайда болған. Арабтарда ХІІІ ғасырдан-ақ инбридингтің асыл тұқымды жылқылардың ұрпағына теріс әсер ететінін көрсететін көптеген фактілер жинақталған. Адамдар қан араласуының зиянды әсерін білген де туыстас малды жұптастыруға тиым салатын қатаң заңдар да қолданылған. Алайда, жоғарыда айтып өткеніміздей, капитализмнің даму кезеңінде көптеген елдерде тұқым түзілу процесі қауырт басталды. Рынок талаптарына сай келетін жаңа тұқымдар шығару инбридингті кеңінен пайдалану арқылы жүзеге асырылды. Тұқымның негізін салушылардың бірқатар ұрпақта бекітілуі, әдетте, тығыз инбридингті қолдану арқылы жүргізілді. Шортгорн тұқымының негізін салушы Губбактың, жылқының Орлов тұқымындағы Барс 1-дің, шошқаның украиндық далалық ақ тұқымдығы Аскания 1-дің тұқым қуалаушылық қасиеттерін бекіту жұмыстары да осылай өткен.
Алайда тығыз инбридингіті өте кең, кейде ойланбастан, ешқандай мақсатсыз қолдана беру көптеген зауытшылар үшін үлкен зиян келтіргеніне де назар аудару керек. Тығыз инбридингті жүйесі қолдану жануарлардың өнімділігі мен өсімталдығын, дене бітімінің мықтылығын кемітті. Жақсы табындар жүдеп, нашарлай бастады, оның ішінде мысалы, дүние жүзінің басқада елдеріне жеткізілген малдың әйгілі шортгорн тұқымының сапасы төмендеп кетті. Осының нәтижесінде инбридингке деген көзқарас та өзгерді. Сөйтіп бұл әдіске күдікпен қарай бастады. Р. Беквеллдің шәкірттері ағайынды Колингтер шортгорн тұқымында туыстық жұптастырудың зиянды салдарын өз замандастарынан ертерек түсініп, бұл жануарларды, тіпті, галловей тұқымының бұқаларымен будандастыруға мәжбүр болды. Ол кезде туыстас малды жұптастырудың зиянды зардаптарының себептерін түсіндіретін теория болмаса да, инбридингтен сақтана бастады.
Инбридингке деген ынта ХІХ ғасырдың аяғында ғана қайтадан көтеріле бастады. Тұқыммал кітабын талдау, көптеген зауыттық тұқымдардың шығу тарихын зерттеу тұқым түзілуіндегі инбридингтің тиімді ролін көрсетті. П. Н. кулешов ұзаққа созылған тығыз инбридингті тиімсіз деп есептегенімен, туыстас мал жұптастыру әдісін қолдануды ашық қорғап шықты.
Инбридинг кезінде биологиялық процестер тұқым қуалаушылық үшін ізсіз өтпейді, олар оны өзгертеді. Алайда мұндай өзгерістерді организмнің бір жақты зақымдалуы ретінде қарастыруға болмайды. Бұл өзгерістер организміңді тіршілік процестері өтетін басқаша жағдайларға қояды, организм олармен әрекеттесіп, жеңіп шығуға тырысады. Егер ол жеңіп шықса, онда тұқым қуалаушылықта жаңа белгі пайда болады. Инбридингте жаңа белгілердің пада болуы тек мутациялардың есебінен жүзеге асады. Инбридингтің әсерімен организмде терең анатомиялық-физиологиялық қайта құру жүреді, ол организмнің қарсы тұра алушылығы мен өсімталдығын кемітіп, ұрпақтың ұсақтануына себепші болады.
Қазіргі кезде, қолдан ұрықтандыру, ең таңдаулы аталықтардың спермаларын ұзақ сақтау, зиготалар трансплантациясы қолданылып отырған жағдайда стихиялы, яғни бақылаусыз инбридингтің қаупі артып отыр.
Туыстас малды шағылыстырудың негізгі мақсаты - белгілі бір аса көрнекті ата-тектің нақты белгілері бойынша тұқым қуалайтын ерекшеліктерін сақтау. Инбридинг мақсатты түрде және белгілі бір, өте мол өнімді жануарда пайдалануда ғана жүргізілуі тиіс.
Мал шежіресі бойынша инбридингті анықтау. Біртекті жұп таңдаудың ең жоғарғы сатысы инбридинг, яғни туыстастарды шағылыстыру. Инбридингтің биологиялық салдары өте күрделі және ол әлі толық зерттеліп болмаған құбылыс. Дегенмен ата-енесінің жақсы қасиеттері берік сақталған және тұқымдық қасиеттері өте жоғары жекелеген ұрпақ алудың қазіргі уақытта сенімді жолы инбридингті пайдалану болып септеледі. Сондықтан, кез-келген сұрыпталатын немесе таңдап алған малдың ата-енесінің туыстық ара-қатынасын біліп, қолданылған шағылыстырудың түрін (инбридинг пен, аутбридинг пе) анықтаудың маңызы үлкен.
Кез-келген малдың алыну жолында инбридинг болған-болмағанын оның шежіресі бойынша тез де оңай анықтауға болады. Ол үшін, әуелі шежіреде енесі жағынан да, әкесі жағынан да қайталанып кездесетін ата-бабаның бар жоғын анықтау қажет. Еге екі жақта да кездесетін ата-баба болса, онда тексеріліп отырған малдың ата-енесі бір-бірімен туыстас болғаны, яғни оның туыстас малды шағылыстыру (инбридинг) арқылы алынғанының дәлелі.
Инбридингтің жағымды немесе жағымсыз, зиянды әсерінің білінуі шағылыстырып отырған қандас малдың туыстық дәрежесіне байланысты. Сондықтан екі малдың бір-біріне туыстық дәрежесін және инбридинг коэффициентін анықтайтын бірнеше тәсілдер қолданылады.
Селекция тәжірибесінде инбридингті жіктеу үшін Шапоруж бен Пуш тәсілі жиі қолданылады. Шапоруж шежіреде әрі ата, әрі ене жағында кездесетін, яғни ортақ ата-тек орналасқан шежіре қатарының реттік нөмірін рим цифрларымен және арасына сызықша салып көрсетуді ұсынды. Ата-баба қатарының реттік санын санау пробандтан басталады, яғни әке мен ене қатары бірінші (І), аталар мен әжелер қатары екінші (ІІ) деп, әрі қарай кете береді. Мұнда, әуелі ортақ атаның ене жағындағы орналасқан қатарлары жазылады да, сызықша қойылады. Сызықшадан кейін ортақ атаның шежіреде әке жағынан орналасқан қатарларының реттік саны көрсетіледі. Мысалы ІІ-ІІІ деген жазу, ортақ атаның үшінші қатарда орналасқанын көрсетеді; немесе ІІ, IV - ІІІ деп жазылса, онда ортақ ата - енесі жағынан екі рет - екінші және төртінші қатарларда, ал әке жағынан - үшінші қатарда орналасқандықтан көрсетеді.
Пуш пен Шапоруж тәсілін пайдалану арқылы инбридинг дәрежесін жіктеудің төмендегі жүйесі ұсынылды (1 - кесте) .
1-кестеде Инбридинг дәрежесін жіктеу.
ІІ-ІІ (бір ата немесе бір енеден туғандарды шағылыстыру, қарындасы-ағасы
І-ІІ (енесі мен баласын шағылыстыру)
ІІ-І (қызы мен әкесін шағылыстыру)
І-ІІІ (әжесі мен немересі)
ІІІ-І (немересі мен атасы)
ІІ-ІІІ, ІІІ-ІІ, ІІІ-ІІІ (немере туыстар)
Сонымен, мал шежіресіне талдау жасаған уақытта алдымен ондағы қайталанатын (бірнеше рет кездесетін) ортақ ата-тек орналасқан шежіре қатарының реттік санына қарап, инбридинг дәрежесін анықтау қажет. Себебі инбридингтің генетикалық әсері шағылыстырылған мал туыстығының алыс-жақындығына тікелей байланысты.
2-кесте. Келтірілген қошқар шежіресі бойынша инбридинг дәрежесін анықтап көрейік.
2. №75145 Қошқар
№72142 қошқар бір-бірімен туыстас саулық пен қошқарды шағылыстыру арқылы алынған. Себебі оның шежіресінде әрі енесі, әрі әкесі жағынан да кездесетін ортақ атасы №96018 қошқар бар. Ал, осы қошқар арқылы жүргізілген инбридинг дәрежесін ІІ-ІІІ, ІІІ деп жазу қажет. Бұл Пуш-Шапоруж жіктеуі бойынша жақын инбридингке жатады.
Аталық іздер бойынша өсіруге арналған орташа инбридингті лайнбридинг деп атайды. Егер ортақ ата-тек шежіреде V ұрпақтан әрі қарай кездесетін болса, онда жануарларды туыс емес жануарлар деп есептейді. Инбридинг дәрежесі ортақ ата-тектің шежіредегі орнына, сондай-ақ жануарлардың типі, тұқымдылығы жөнінен ұқсастықтарына да байланысты. Сондықтан Н. А. Кравченконың жеке жануарлардағы инбридингтің тығыздығы емес, қайта оны туғызатын жұптастырудың тығыздығы жөнінде айту қажет деген тұжырымы әділ болып шығады. Жануар бір ата-текке туыстық жұптастыру нәтижесінде (жай инбридинг), сондай-ақ бірнеше ата-текке туыстық жұптастыру нәтижесінде (кешенді инбридинг) алынуы мүмкін. Төменде инбридингтің алуан түрлі формулалары қолданылған шежірелер келтірілген.
3-кестеде Шортгорн тұқымының Кларисса атты сиырының шежіресі (нығайтушы жақын инбридинг)
Бір кезде аса бағалы орлов жылқысы тұқымының негізін қалаушылардың бірі Барчуктың шежіресінде ата-тегінің төртінші қатарында өзінің қасиеттері бойынша көрнекті Ветерок айғыры үш рет және Барчуктың енесі Молния биесі инбредтелген бағалы Вихрястая биесі екі рет кездеседі. Осы тұқымның атақты Кунгур атты айғыры Горизонтқа ІІІ-ІІ дәрежеде, Ветерокқа ІІІ-IV дәрежеде, Барчукқа V, V-IV, IV дәрежеде күрделі инбридинг арқылы алынған.
4-кестеде Орлов желісті жылқысының Барчук 52 айғырының шежіресі, 1600 м қашықтыққа шапшаңдығы 2. 12 (орташа кешенді инбридинг)
Светлана
Волшебник
Ветреница
Ментик
Любочка
Добряк
Волна
Варвар железнай
Утеха
Сокол
Вихрястая, 0
Ветерок, 8, 13
Вихрястая, 0
Ветерок, 8, 13
Закуска
Петел
Любушка
Лебеденок
Беспутная
Добряк
Воздержання
Ветерок, 8, 13
Гордая
Пройда
2. 2. Генетикалық ұқсастық коэффициенті есептеу
Кларисса сиырының шежіресінде әкесі жағынан да енесі жағынан да Фаворит бұқаының аты әлденеше рет кездеседі. Инбридинг жазбасы мынадай болады: ІІ, ІІІ, IV, V - III, III, IV.
А. Шапоруж тәсілінің басты кемшілігіне инбридинг дәрежесін сипаттайтын нақтылы сандық көрсеткіштің жоқтығы жатады. Осы ретте «кейбір инбридинг түрлерінің қайсысында шағылыстырылып отырған екі малдың туыстығы жақын?» - деген сұраққа тура жауап беру қиын. Мысалы І-ІІІ пен ІІ-ІІ салыстыру қажет болса, қайсысында туыстық дәрежесі жоғары екенін талассыз бірден айта алмаймыз.
Осыған орай, селекция тәжірибесінде инбридинг коэффициентін есептеу жиі қолданылады. Инбридинг коэффициентін есептеу үшін алғашқы рет С. Райт мына теңдеуді ұсынды.
Мұндағы: F x - инбридинг коэффициенті;
Бұл теңдік бойынша инбридинг коэффициенті 0-ден 1-ге дейінгі бірліктің бөліктерімен бейнеленеді. Оны пайызға айналдыру үшін алынған шаманы 100-ге көбейтеді.
С. Райттың мағлұматтары бойынша, Кларисса сиырының инбридинг коэффициентінің есептеулері мынадай болады;
1) п+п 1 +1=1+2+1=4(1/2) 4 =1/16 немесе 0, 0625;
2) п+п 1 +1=1+2+1=4(1/2) 4 =1/16 немесе 0, 0625;
3) п+п 1 +1=1+3+1=5(1/2) 5 =1/32 немесе 0, 0312;
4) п+п 1 +1=2+2+1=5(1/2) 5 =1/32 немесе 0, 0312;
5) п+п 1 +1=2+2+1=5(1/2) 5 =1/32 немесе 0, 0312;
6) п+п 1 +1=2+3+1=6(1/2) 6 =1/64 немесе 0, 0156;
7) п+п 1 +1=3+2+1=6(1/2) 6 =1/64 немесе 0, 0156;
8) п+п 1 +1=3+2+1=6(1/2) 6 =1/64 немесе 0, 0156;
9) п+п 1 +1=3+3+1=7(1/2) 7 =1/128 немесе 0, 0078;
10) п+п 1 +1=4+2+1=7(1/2) 7 =1/128 немесе 0, 0078;
11) п+п 1 +1=4+3+1=8(1/2) 8 =1/256 немесе 0, 0039;
Сонымен, шортгорн тұқымының Кларисса сиырының инбридинг коэффициенті 29, 27% пайызға тең.
Түсінуді оңайлату үшін Клариссаның шежіресінде ол инбриденттелген Фаворит бұқасының шығу тегі көрсетілген жоқ. Егер Фаворит бұқасының өзі инбридинг пайдалану арқылы алынатын болса, онда оның өзіне коэффициент
Д. А. Кисловский С. Райт теңдеуіне өзгерістер енгізіп, оны былайша өрнектеді:
Мұндағы:
 - ортақ ата-тек кездесетін шежіренің енелік және әкелік жағындағы қатарлар. Бұл теңдеудің С. Райт теңдеуінен өзгешелігі сол, мұнда ата-тек қатарын есептеу әке-шеше қатарынан басталады.
 - ортақ ата-тек кездесетін шежіренің енелік және әкелік жағындағы қатарлар. Бұл теңдеудің С. Райт теңдеуінен өзгешелігі сол, мұнда ата-тек қатарын есептеу әке-шеше қатарынан басталады.
Д. А. Кисловский бойынша алынған нәтиже, яғни коэффициент 25% және одан жоғары болса, онда инбридинг өте жақын инбридинг деп есептеледі, 12, 5 пайыз 25 пайызға дейін - жақын инбридинг, 1, 55 пайыздан 12, 5 пайызға дейін - орташа инбридинг, 0, 20-пайыздан 1, 55 пайызға дейін шалғай инбридинг деп есептеледі.
Бұл арада айта кететін мәселе, екі теңдеудің де нәтижесі әрқашанда бірдей. Инбридинг коэффициентінің шамасы пробанд ата-енесінің туыстығының жақын-алыстығына тікелей байланысты. Бірақ пробанд ата-енесінің туыстық дәрежесі (г) мен оның инбридинг коэффициентінің мөлшері бір-бірімен тең емес (5- кестені қараңыз) .
5-кесте. Туыстық дәрежесі мен инбридинг коэффициенттері
 
 Пробанд ата-енесінің туыстық дәрежесін (г) мына төмендегі теңдікпен анықтауға болады:
  
Мұндағы: n 1 мен n 2 шежіренің атасы мен енесі жақтарындағы ортақ ата кездесетін ата-баба қатарының реттік саны;
 Инбридинг коэффициенті (Ғ
 
  х
 
 ) мен пробанд ата-енесінің туыстық дәрежесінің (г) ара-қатынасы мына теңдікпен анықталады:
  
Генетикалық ұқсастық коэффициентін есептеу. Бір немесе бірнеше ортақ ата-тегі бар жануарлар өзара туыс болады, олардың тұқым қуалаушылығы да ұқсас болып келеді, яғни олар генетикалық жағынан да ұқсас болады. Жануарлардың шежіре кестесі қатарында ортақ ата-тегі неғұрлым жақын орналасса, ұқсастық та соғұрлым көп деген сөз. Егер мұндай ата-тек инбредтелген болса, онда генетикалық ұқсастық бұрынғыдан да көп болып шығады.
Зауыттық аталық із қуып мал өсірудің де, қазіргі кең масштабты селекцияның да басты мақсатының бірі - аса құнды малдан мейлінше көп ұрпақ алу, жекеге тән құнды қасиетті көптің қасиетіне айналдыру. Бұған сол құнды тұқым малын немесе оның сондай құнды ұрпағын жаңа, келесі буындағы құнды көп ұрпақ алу үшін өте кең көлемде, жиі пайдалану арқылы қол жеткізді. Осының нәтижесінде табында, тіпті жалпы тұқым бойынша, сол құнды тұқым малымен ортақ тектестік күшейіп, нәсілдік ұқсастық қалыптасады, яғни генетикалық ұқсастық (ортақ гендері болуы) күшейеді.
Бір тұқым ішінде біршама жоғары генетикалық ұқсастығы бар әр түрлі топ құру сол тұқымды одан әрі табысты жетілдірудің басты шарттарының бірі болып есептеледі.
Аса құнды тұқым малымен қажетті дәрежедегі генетикалық ұқсастықты жүйелі түрде жүргізілген жұп таңдау арқылы қалыптастырады. Бұл жұп таңдаудың негізінде инбридинг, яғни із басшысымен туыстас малды бір-бірімен шағылыстыру әдістері жатыр.
Нақтылы бір тұқымның генетикалық біртектілік дәрежесін кездейсоқ алынған сол тұқымның екі өкілінің арасындағы генетикалық ұқсастық коэффициентін есептеу арқылы анықтайды. Тұқымның кез-келген екі өкілінің арасындағы генетикалық ұқсастық дәрежесі жоғары болған сайын, біреуінің көрсеткіші бойынша екіншісін соншалықты тиімді пайдалануға болады.
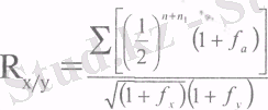
Селекция тәжірибесінде екі малдың бір-бірімен генетикалық ұқсастық коэффициентін (R x/y ) олардың шежіресін пайдаланып, С. Райттың мына төмендегі теңдеуімен есептейді:
 
- Іс жүргізу
- Автоматтандыру, Техника
- Алғашқы әскери дайындық
- Астрономия
- Ауыл шаруашылығы
- Банк ісі
- Бизнесті бағалау
- Биология
- Бухгалтерлік іс
- Валеология
- Ветеринария
- География
- Геология, Геофизика, Геодезия
- Дін
- Ет, сүт, шарап өнімдері
- Жалпы тарих
- Жер кадастрі, Жылжымайтын мүлік
- Журналистика
- Информатика
- Кеден ісі
- Маркетинг
- Математика, Геометрия
- Медицина
- Мемлекеттік басқару
- Менеджмент
- Мұнай, Газ
- Мұрағат ісі
- Мәдениеттану
- ОБЖ (Основы безопасности жизнедеятельности)
- Педагогика
- Полиграфия
- Психология
- Салық
- Саясаттану
- Сақтандыру
- Сертификаттау, стандарттау
- Социология, Демография
- Спорт
- Статистика
- Тілтану, Филология
- Тарихи тұлғалар
- Тау-кен ісі
- Транспорт
- Туризм
- Физика
- Философия
- Халықаралық қатынастар
- Химия
- Экология, Қоршаған ортаны қорғау
- Экономика
- Экономикалық география
- Электротехника
- Қазақстан тарихы
- Қаржы
- Құрылыс
- Құқық, Криминалистика
- Әдебиет
- Өнер, музыка
- Өнеркәсіп, Өндіріс
Қазақ тілінде жазылған рефераттар, курстық жұмыстар, дипломдық жұмыстар бойынша біздің қор #1 болып табылады.
 
            
                Ақпарат
Қосымша
Email: info@stud.kz