Дөңгелекті ІІ типті эксковаторлардың өндірістік жұмыс кезіндегі технологиясы және ұйымдастырылуы. Еңбек және қауіпсіздік шаралары


А. Иманов атындағы жол-көлік колледжі
КУРСТЫҚ ЖОБА
Тақырыбы:
«Дөңгелекті ІІ типті эксковаторлардың өндірістік жұмыс кезіндегі технологиясы және ұйымдастырылуы. Еңбек және қауіпсіздік шаралары»
Орындаған: 1402000 «Жол-құрылыстық машиналарын техникалық пайдалану» мамандығының №101 топ студенті Баямов Дархан
Курстық жобаның жетекшісі: Кубиев С. Қ.
Орал, 2014
Мазмұны
- Кіріспе . . . 3
- Жол-құрылыс машиналарының жалпы құрылысы және жіктелуі . . . 5
- Жол-құрылыс машиналарының жұмыс істеу заңдылықтары . . . 10
- Жол-құрылыс машиналарына техникалық қызмет көрсету және жөндеу. . 14
- Жол-құрылыс жұмыстары жүргізілген кезде техника қауіпсіздігін және еңбекті қорғау . . . 17
- Жол-құрылыс машиналарын пайдалану кезінде қоршаған ортаны қорғау . . . 10
- Қорытынды . . . 21
- Пайдаланылған оқулықтар . . . 23
1. Кіріспе
Құрылыс жұмыстары алуан түрлі, соған байланысты онда көптеген түрлі машиналар пайдаланылады. Құрылыс, жол машиналары туралы жалпы немесе нақты түсінік алу (беру) үшін оларды алдымен жіктеп, құрылымы, мүмкіншілігі, артықшылығы немесе кемшілігі т. с. с. туралы деректерді белгілі бір ретпен баяндаған жөн. Әдетте, құрылыс жол машиналарын атқаратын міндетіне, әсер принципіне, қозғалтқышының түріне, қимылдағыштық дәрежесіне және әмбебаптығына қарай жіктейді.
Атқаратын міндетіне қарай құрылыс, жол машиналары мен жабдықтарды мына кластарға бөледі: келіктік; тасымалдағыш және тиегіш-түсіргіш; жүккөтергіш; жер жұмыстарына арналған; қадалау жұмыстарына арналған; тас материалдарын уату, сұрыптау және жуу; бетондар мен ерітінділерді дайындау, тасымалдау және орнықтыру, сақтау; әрлеу жұмыстарына арналған; механикаландырылған құрал; жеңілдетілген типті жетілдірілген төсемелі жол салуға арналған; жер қыртысын, цементбетон және асфальтбетон қоспаларын және т. б. құрылыс материалдарын нығыздайтын; асфальтбетонды жабындарды, цементбетон төсемелерді салатын; автомобиль жолдарын жөндеуге және күтуге арналған.
Экскаватор (лат. excavo - түйгіштеймін, оямын) - топырақты қазып, жанындағы үйіндіге тогу немесе көлік құралдарына тиеу үшін қолданылатын жер қазатын машина. Бір шомішті және көп шөмішті болып бөлінеді. Әскерде, негізінен, бір шәмішті Экскаватор окоп, блиндаждық шұнқыр, бойтаса пана, әскери техниканы жасыратын орындар, жол, аэродром салу үшін және т. б. міндеттерді орындау үшін пайдаланылады.
Көп шөмішті экскаватор - үзіліссіз жұмыс істейтін, тұйықталған шынжырға (шынжырлы экскаватор) немесе роторлы доңғалаққа (роторлы экскаватор) орнатылған көп шөміштері бар жер қазатын машина. Оның рельспен жүретін, шынжыр табанды, адымдайтын түрлері бар. Көп шөмішті эксковатор біртектес және біршама жұмсақ жыныстарды қазуға және тиеуге пайдаланылады. Көп шөмішті эксковаторлардың жұмыс элементтерінің барлығы (қазу, кен массасын түсіретін орнына тасымалдау және оны көлік құралына немесе үйіндіге түсіру) бір мезгілде жүзеге асырылады. Ашық кен қазуда, негізінен, шынжырлы және роторлы көп шөмішті эксковаторлар қолданылады. Роторлы және шынжырлы көп шөмішті эксковаторлардың тиімділігі мынада: ол өзі тұрған деңгейден төмен де, жоғары да жатқан тау жыныстары массивін қаза алады.
Жер жұмыстарының құрамына: территория және алаңдарды тік тегістеу, қазаншұңқырлар мен оларды қазу қайырымды топырқпен толтыру, кейбір жағдайларда алдын ала қопсыту, су ағызу, су бұру және сулардың деңгейін төмендету кіреді.
2. Жол-құрылыс машиналарының жалпы құрылысы және жіктелуі
Экскаватор - топырақты қазып, жанындағы үйіндіге тогу немесе көлік құралдарына тиеу үшін қолданылатын жер қазатын машина. Бір шомішті және көп шөмішті болып бөлінеді. Әскерде, негізінен, бір шәмішті Экскаватор окоп, блиндаждық шұнқыр, бойтаса пана, әскери техниканы жасыратын орындар, жол, аэродром салу үшін және т. б. міндеттерді орындау үшін пайдаланылады. Құрылыста өзінің қопсыту қабілетінің және жоғарғы өнімділігі арқасында өте кең тараған бір шөмішті экскаваторлар.
Жұмыс жағдайына байланысты олар : тік, кері күректі болады және грейферлермен де жабдықталады. Бұл экскаваторлар арнайы жабдықтармен көтергіш кран ретінде және топырқты нығыздауға, қадаларды қағуға қолдануға болады.
Экскаватордың жұмыс істейтін алаңы көлік құралдары тұратын және топырақты үйілетін жерлерді қоса есептегенде « қазым», ал оның жылжып отырып алған топырық учаскесі «өтіс» (өту) деп аталады.
Тік күрекпен жабдықталған экскаваторлар өзінің тұрақты орнының деңгейінен жоғары топырақты қазуға пайдалыналады. Оларды көбінше топрығын көлікке артып (кейде үйіндіге) қазаншұңқыр және ұзын орынды қазуға қолданылады.
Тік күректі экскаваторлар өзінің тұрақты орнының деңгейінен төмен (өте терең емес) топырақты да қаза алады. Бұл жағдайды тек қазаншұңқырға түсу-шығу құламасын жасағанда ғана пайдаланылады.
Тік күрекпен жабдықталған экскаваторлардың қазымдарының негізгі түрі болып маңдайша (бойлай) және бүйірлі (көлденеңінен) саналады.
Маңдайша қазымдар өтістің еніне байланыстар (өтіс ені кесу радиусының R ең үлкен шамасының 0, 8-1, 5 тең), орташа (ені 1, 5-1, 8 R) және кеңге (ені 2R дан артық) бөлінеді.
Тік маңдайша қазымды қолданғанда көлік құралдарының жұмыстарын өте қиындатылады, сондықтан бұл тәсіл ені кіші және бастапқы қазымдарды қолданылады.
Мөлшері едәуір шұңқырларды қазғанда (ені 3, 5 R артық) бүйірлі өтісті қолданған тиімді. Топырақты көлік құралдарына арат отырып өңдеуді бүйірлі өтіспен ұйымдастыру экскаваторлардың жұмас параметрлерін өте толық пайдалануға және жебенің төгердегі айналу бұрышын азайту есебінде олардың өнімділігн арттыруға мүмкіндік береді.
Кері күрекпен жабдықталған экскаваторлар өзінің тұрақты орнының деңгейінен топырақты өңдеу үшін пайдаланады және ұзын орлар мен кіші тайыз қазаншұңқырларды (мысалы, бөлек тұратын іргетастарға) қазуға қолданады. Топырақ өңдеуі маңдайша немесе бүйірлі өтіспен жүзеге асырылады.
Осымен бірге қазудың маңдайша түрі негізінде ұзын шұңқырды өстік өтіспен өңдегенде, ал бүйірлі- қазаншұңқырды өңдегенде қолданады. Топырақты көлік құралына да тиеп, үйіндіге де төгіп өңдеуге болады, соңғы жағдайда кері күректі экскаваторлардың тік күректімен салыстырғанда артықшылығы бар, онда көліктің қазан шұңқырға түсуі қажет емес. Осыдан басқа кері күректі экскаваторлардың тік қабырғалы ұзын орларды қазуға мүмкігшіліктері бар. Кері күректі экскаваторлар топырқты өңдегенде қазаншұңқырды бойлай, көлденең және иректеп жүре алады.
Көп шөмішті экскаваторлардың жұмыс элементтерінің барлығы (қазу, кен массасын түсіретін орнына тасымалдау және оны көлік құралына немесе үйіндіге түсіру) бір мезгілде жүзеге асырылады. Ашық кен қазуда, негізінен, шынжырлы және роторлы Көп шөмішті экскаваторлар қолданылады. Роторлы және шынжырлы Көп шөмішті экскаваторлардың тиімділігі мынада: ол өзі тұрған деңгейден төмен де, жоғары да жатқан тау жыныстары массивін қаза алады. Олардың өнімд. сағатына 15 мың м3, массасы 13 мың т-ға жетеді
Экскаватор - драглайндар жұмсақ және орта жұмысты топырақтарды өңдеуге, көбінесе экскаватор тұрағының деңгейінен төмен орналасқан қазаншұңқыр мен ұзын орлады қазғанда, үйінді және ойма жасағанда, тегістеу жұмыстарын орындағанда жүк артушы құрал ретінде және т. б. пайдаланады. Экскаватор-драглайндар үлкен қимыл радиусына және қазу тереңдігіне.
Жер жұмыстарын драглайндарды қолдана отырып топырқты үйіндіге төгіп немесе көлік құралдарына арта отырып өңдеуге болады. Соңғы жағдайда жұмыс шартына байланысты көлік өңдеу үстімен де, қазбаның табанымен де жүруге мүмкіншілігі бар.
Көлікті қазбаның табаны арқылы беруді ұйымдастырғанда топырақты арту көлденең- қайық немесе бойлай-қайық тәсілімен орындалады.
Көлденең-қайық тәсілді қолданғанда топырақ кезекпен көліктің екі жағынан да алынады және шөмішті босату жебенің айналуы тоқтамай ол көлік үстінен өткен кезде орындалады. Көліктер қазбаның табанымен экскаватор өтісінің осі бойынша беріледі.
Бойлай-қайық тәсілін қолданғанда шөмішті толтыру және оны босату көліктің артқы ернеу жағынан орындалады. Бұл жағдайда экскаватордың шөмішті тек қана қайта - үдемелі қозғалыс жасайды, ал платформасы айналмайды, бұл экскаватордың жұмыс циклін едәуір қысқартуға және оның өнімділігін көтеруге мүмкіндік береді.
Экскаваторлар - драглайндар кері күректі экскаваторлар сияқты топырақты өңдегенде қазаншүңқырды бойлай, көлденең және иректеп жүре алады.
Грейфермен жабдықталған экскаватор жұмсақ және сусымалы топырақтарды үйіедіге және көлік құралдарынан жеке тұрған бағаналарға, сүрлем мұнараларының іргетасына, электр беру жүйелерінің тіректеріне қазаншұңқыр өңдегенде және құдық, терең және тар ұзын ор қазғанда пайдаланылады.
Экскаватор - стругтар алаңдарды тегістеу және тереңдігі 1, 5м артық емес шұңқырлар қазуға пайдаланады. Топырақты үйіндіге де, көлік құралдарына да өңдеуге болады.
Скреперлерді жер жұмыстарын орындау үшін пайдаланады және келесі операцияларды орындайды: топырақты қабаттап өңдеу: алған топырақты тасымалдау: топырақты қабатпен үйіндіге үю. Оларды шұңқыр, қазаншұңқыр және ұзын орлар топырақтарын өңдеуге, қор топырағынан үйінді жасаганда : каналдар салғанда: бөгеттерге топырақ төсегенде: құрылыс және басқа алаңдар суарылатын жер және ауыл шаруашылық жерлерді тегістеуге пайдаланады.
Алдын ала қопсытқыштармен өңделмеген жерде скреперлерді пайдалану тек қана I және II топты топырақтарда мүмкін. Тығыз қатып қалған топырақты қопсыту керек және топырқты жонылатын жоңқаның қалыңдығына сәйкес қопсыту қажет.
Бұл жағдайда қопсытқышты орынды қолдану скрепер шөмішінің сиымдылығына байланысты оны толтыру жолдың қышықтығымен анықталады.
Жоңқаның қалыңдығын ұлғайту, топырақты толтырып алу уақытын кеміту үшін және топырақ алу жолын азайту, шөмішті жақсырақ толтыру үшін итергіш- тракторлар қолдану ұсынылады.
Топырақты скрепермен тілу 3 тәсілмен орындалады: дағдылы, тарақты және қабырға- шахмет тәрізді.
Дағдылы тәсілді қолданып топырақты тілу шөмішті толытру уақыты бойы тартқыш қозғалтқышына үнемі күш түсуді қамтамасыз етеді.
Тарақты тәсіл дағдылы тәсілмен салыстырғанда шөміштің толуын жақсырақ қамтамасыз етеді және қозғалтқыштың қуатын тиімді пайдалануға мүмкіндік береді.
Қабырға- шахмат тәрізді тәсілді қолданғанда жоңқаның қимасы тікбұрышты және қалыңдығы тұрақты болды. Өтістің екінші қатарынан бастап жоңқа олардың ұзындығының бірінші жартысында шөміштің еніне тең, ал екінші жартысында - екі рет топырақ. Жоңқаның осындай түрі шөмішті толтыру аяқталған кезде тілу кедергісін азайтады және шөміштің тезірек толуын қамтамасыз етеді.
Бульдозерлермен топырақты тілу, тасу, түсіру операцияларын орындау үшін арналған және іргетастарға қазаншұңқыр және ұзын ор өңдеу: бір жақтық немесе екі жақтық қорлардан биіктігі 2 м дейін үйінді жасау: 50-100м қашықтықтағы үйіндіге тасып ойманың топырағын өңдеу: қуыстарды, қазаншұңқырларды, ұзын орларды және т. б. жабу: алаңдарды және көлік құралын атүсірілген топырақты тегістеу үшін колданылады.
Топырақты бульдозерлермен тілу мынадай үлгілері бойынша орындалады: тікбұрышты, сныалы және тарақты.
Тікбұрышты үлгімен топырақты тілу бульдозер еңіске қарай жүргенде қолданылады. Бұл жағдайда ең үлкен өнімділікке бульдозер 10-15 градус еңіске қарай жүргенде жетеді. Сыналы және тарақты тілу үлгілерін еңіс учаскелерде жұмыс жүргізгенде қолданған жөн. Сараптау (жоспарлау) мерзімі ішінде роторлық экскаваторлардың пайдалануға берілген өнімділігі әдісінің міндеттері:
- уақыт бірлігінде өнімді шығарудың барынша мүмкіндік көлемін (саны) анықтау;
- сарапталған күнтүзбелік уақыт кесіндісіне (тоқсан, жыл) құралдарды жүктеудің барынша мүмкіндік деңгейін орнату, болашақ жоспарланған көрсеткіштерге қалай болса, нақтылы орнатылған баға үшін де солай.
3. Жол-құрылыс машиналарының жұмыс істеу заңдылықтары
Шеңберлі қазу жүйесі кем дененің ортасынан бастап жан-жаққа бір келкі таралады.
Карьерде жұмыс алаңдары борттардың барлығын қамтиды және қазу жүйесі шеңберлі сызықтармен жүргізіледі.
Горизонттарды дайындау съезді оржолдармен жүргізіледі. Кен орында кен денелері және басқа жыныстар жартасты болғандықтан алдымен қопсыту керек.
Қазу жүйесі эксковатор ЭКГ-5А және автокөлікпен жүргізіледі. Карьердің таулы және терең аймақтарында тау-кен дайындық жұмыстары бір уақытта жүргізіледі. Тау-кен жұмыстары карьердің терең аймақтарында кен қорларын толық алмағанша жүргізіле береді.
Қазу жүйесінің басты элементтері: кемер биіктігі, жұмыс алаңының ені және эксковатор блогының ені мен ұзындығы.
Тау-кен жыныстарының физика-механикалық қасиеттеріне және эксковаторға байланысты кемер биіктігін таңдаймыз
Н н = 10 м
Жұмыс алаңының ені
Ш р. п. = В р + С + Т + Z, м (1)
мұнда В р - жарылған блоктың ені, 31 м. С - жарылған блоктың табанынан автокөлік жолының осіне дейінгі арақашықтық, 2 м. Т - автокөлік жолының ені, 5м. Z - сақтандыру призмасының ені, 3 м.
Ш р. п. = 31 + 2 + 5 + 3 = 41 м
Эксковатор блогының ені
h э. б. =
, м (2)
мұндағы Т - жыныс қорларын эксковатормен қазуға кететін жұмыс күндер саны, 15 күн автокөлік үшін
Q э. тәул. - эксковатордың тәулік өнімділігі, м 3 /тәу, 2000 м 3 /тәу.
Ш б. п. - аттырылған блоктың ені, 30 м.
h э. б. = 100 м
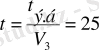
Еңістің жылжу жылдамдығы
м/ай (3)
мұндағы Q э. ай - эксковатордың айлық өнімділігі, 6000 м 3 .
А э - эксковатор еңісінің ені, 15, 3 м.
м/ай
Блокты қазу уақыты
Кемердің орташа жылжу уақыты
, м/ай (4)
мұндағы N - кемердегі эксковатор саны, 1.
h ф - өндірілу жұмыстарының франтының ұзындығы, 200 м.
, м/ай
Кемердегі эксковатор блогының саны.
; (5)
дана
Эксковатор өнімділігін есептеу
Кенжарда эксковатордың түрі - торцевой. Еңіс түрі бойлық.
Эксковатор еңісінің ені,
А u = (1, 5 ÷ 1, 7) ∙R u. y (6)
мұнда R u. y - эксковатордың көсіп алу радиусы, 9, 04.
А u = 15, 4 м.
Блоктағы қопарылу жыныстың ені 31 м болғанда эксковатор екі еңіспен жұмыс істейді.
Эксковатордың паспорттың өнімділігі
, м
3
/сағ (7)
мұндағы Е - шөміш сыйымдылығы, 5 м 3
Т ц - эксковатор циклының паспорттық өнімділігі, 25 сек.
м
3
/сағ
Эксковатордың техникалық өнімділігі
м
3
/сағ (8)
мұндағы К u. k - шөміштің толу коэффициенті, 0, 7.
К р. с. - жыныстың шөміште қопсу коэффициенті, 1, 7.
К т. в. - қазу технологиясына тиетін әсерінің коэффициенті, 0, 73;
Т ц = t 2 + t n + t p - цикл ұзақтығы, 25, 8.
м
3
/сағ
Эксковатордың ауысымдық өнімділігі
Q э. ау = Q m ∙ T c ∙ K up ∙ K к. л . м 3 /c (9)
мұндағы Т с - ауысым ұзақтығы, 7 сағат
K up - эксковатордың жұмыс істеу коэффициенті 0, 8.
K к. л - климаттық жағдайдың әсерінің коэффициенті, 0, 9.
Q э. ау = 254, 7 ∙ 7 ∙ 0, 8 ∙ 0, 9 = 1428 м 3 /c
Эксковатордың жылдық өнімділігі
Q э. жыл = Q э. ау ∙ N p ∙ П ау ; м 3 /ж (10)
Q э. жыл = 1428 ∙ 305 ∙ 3 = 1306620 м 3 /жыл
Жұмысшы эксковатордың паркі
, дана (11)
мұнда А г. м. - жылдағы тау-кен массасының көлемі, 2209692 м 3 .
эксковатор.
Тау-кен массасын қазғандағы көмекші жұмыстар. Бір шөмішті эксковатордың көмекші жұмысқа келесілер кіреді:
Эксковатор жолын жобалау кемер табанын тегістеу. Эксковаторды жылжытқан кезде кабельді жылжыту, жөндеу және майлау.
Эксковатор жолын жөндеу және кемер табанын жайпақтау ДЭТ-250 бульдозерін қолданады.
Эксковатор жабдықтарын әкелгенге автокөлік көлігін қолданады.
Кенорнын қазу тиімділігін арттырудың бірден бір жолы пайдалы қазбаның ашылған қорларын қазып алудың толықтығы мен сапасын жоғарылату болып табылады. Сондықтан көмір кеніштерінде көмір жоғалымын төмендету - қоршаған ортаны жақсарту мен оны сақтаудың ең маңызды құралы болып табылады. Осы мақсатта прогрессивті қазу технологияларын жасау - ең маңызды мәселердің бірі.
Көмір қорларын жер қойнауынан қазып алу толықтығы мен сапасын анықтайтын Қаражыра көмір кенішінің көлбеу және күртқұлама қаттарын қазу кезіндегі шешуші факторлар болып табылады:
- көмір қаттарының жату жағдайлары және күрделі кенжарлардың пішіндері;
- қаттарды қазу кезіндегі кен жұмыстарының даму бағыты;
- кемер биіктігі;
- өндіру жұмыстарын механизациялау.
Гидроэкскаваторлық жұмыстарды жетілдіру және қолданылатын көліктің тиімді түрін таңдау мақсатында берілген жұмыста экскаваторлық енбе нұсқасындағы аз қалыңдықты көмір қаттарына тән жағдайлары қарастырылған және оларды гидравликалық экскаваторлармен теміржол және автомобильді көлікті пайдаланып қабаттап қазудың технологиялық сұлбалары жасалған.
4. Жол-құрылыс машиналарына техникалық қызмет
көрсету және жөндеу
Технологиялық процесс бірқатар негізгі элементтерден түрады, олар жалпы процестің бір бөлігі, сонымен қатар толық аяқталған жұмыс циклі. Құрылыс машиналарының ТК үлгі технологиялық процесінің сұлбасы мына жұмыстарды қамтиды: тексеріп бақылау; сыртқы тазалау, жуу немесе сыртқы күтім жасау; бекіту жұмыстары; жағармай қүю және майлау жүмыстары; машина элементтерін тексеру-диагностика және реттеу жұмыстары; жанармай қүю.
Тексеріп бақылағанда күтім жасаушы объектінің жалпы жағдайы анықталады, оның түгелдігі тексеріліп. сырткы күтім жұмыстарының мөлшері шамаланады. Сыртқы күтім жұмыстарына жинақтау, тазалау, машинаның кейбір элементтерін жуу жатады. Әдетте, машина жүргізушісінің жұмыс орны жинақталады, машинаның боялмаған бөліктері, жүру механизмдері мен жұмыс атқару жабдықтары тазаланады. Сыртқы күтім жұмыстарының негізгісі де, ауыры да - тазалау және жуу. Бұл жұмыстар-ды нәтижелі ету мақсатында суды қыздырады, жуғыш заттарды қолданады, жуғыш сұйықтарды үлкен қысыммен береді. Сырт¬кы күтім жұмыстарынын негізгі мақсаты - машинаны келесі сатыда жүргізілетін жұмыстарға дайындау.
Бекіту жұмыстары бұрандамалы қосылыстардың тартылуын қажетті қалпына келтіруге арналған. Техникалық күтімге кететін еңбектің 20% -дан астамы - бекіту жұмыстарының үлесінде. Бекіту жүмыстарының түрлері мен кезектілігі машинаның түріне және оны пайдалану жағдайына байланысты өткізіледі.
Машина бөлшектеріне диагностиканы жұмыс жағдайында жасау үшін олардың тетіктерінің үйкеліс беттерін майлау қажет. Сондықтан бекіту жүмыстарынан кейін тексеру, диагностика мен реттеу жұмыстарының алдында майлау жұмыстары откізіледі. Үйкеліс беттеріне майды таза күйінде жоне неғұрлым аз еңбекпен жеткізу мақсатында әртүрлі майлауға арналған қондырмалар пайдаланылады.
ТК жұмыстарының орташа алғанда 40% тексеру мен реттеуге келеді. Машиналардың негізгі болшектерін тексеру, диагностика жасау мен реттеу тәсілдері техникалық пайдалану мәселелерінде арнайы айтылады. Бұл жерде аталған жұмыстар тек машиналардың қасиеттері төмендеуінің алдын алу және қалпына келтіруде негізгі екендігі ескертілген. ТК-нің соңғы операциясы - машинаға жанармай құю.
Техникалық күтім құрылыс машинасының түріне қарай жедел жүргіш, баяу козғалғыш, пневмодоңғалақты. шынжыр табанды немесе бір орнында түрып жұмыс істейтін және бүлардан басқа да машинаны пайдалану жағдайына қарай күтім жұмыстарының түрін ескеріп, кәсіпорынның шеберханасында, әдейі арналған поста немесе жұмыс басында өткізіледі. Бірінші жағдайда күтім және жөндеу жүмыстарын ұйымдастыру маши¬на базасының өндіріс процесінщ сұлбасына сәйкес жасалады. Бүл сұлба бойынша кәсіпорын орынжайына келген машина алдымен диспетчерлік-тексеру пунктінен өтеді. Бұл жерде ТК мен жөндеу жоспары, жүргізушінің сұранысы немесе тексерушінің қорытындысы бойынша машинаға тіркеу кағазы толтырылып, ол тазалау, жуу жұмыстарын орындайтын күнделікті күтім (КК) пунктіне жіберіледі. Ешкдндай күтім қажет етпейтін машина сақтау тұрағына барады.
Ал күнделікті күтімге жіберілген машина жуылып, тазаланган соң, диагностикадан өткізіліп не ТК немесе жеңіл-желпі жөндеу орындарына жіберіледі. Техникалық кұту барысында жөндеу жұмыстарының қажеттілігі анықталса, машина жөндеу зонасына түсіріледі. Машина алмасуы керісінше де болып тұрады. Техникалық күту мен жөндеуден өткен машиналар сақтау тұрағына жіберіледі.
Техникалық күтім жұмыстары шеберханада үйымдастырылғанда, өндірістік бағдарлама әмбебап немесе арнайы постарда орындалады. Күтімді әмбебап постарында өткізудің мағынасы - технология барысында қарастырылған барша жүмыс бір типті түйық әмбебап постында жасалады. Тұйықталған постарда күтім жұмыстарының ұзақтығы әр поста әртүрлі болуы мүмкін. Ол әрбір поста жұмыс мөлшері әртүрлі болуына мүмкіндік береді, ендеше әрбір поста әртүрлі машинаға күтім өткізуге болады. Құрылыс машиналары көп типті болғандықтан, ондай машиналар шоғырланған кәсіпорындарда ТК әмбебап постарында орындалуы көп тараған. Бұл тәсілдің бірталай кемшіліктері де бар: машинаны посқа орналастырып, посты босатуга артық уақыт кетеді, машина посқа шығып-түсіп жүріп шеберхананың ауасын жастайды, әр поста қондырмалар кейде бір типті қайталанады т. с. с.
Арнайы мамандандырылған постар бірінен кейін екіншісі тізбектеліп орналасады, мұндайда әр пост бірқалыпты жұмысты орындайды
5. Жол-құрылыс жұмыстары жүргізілген кезде техника қауіпсіздігін және еңбекті қорғау
... жалғасы- Іс жүргізу
- Автоматтандыру, Техника
- Алғашқы әскери дайындық
- Астрономия
- Ауыл шаруашылығы
- Банк ісі
- Бизнесті бағалау
- Биология
- Бухгалтерлік іс
- Валеология
- Ветеринария
- География
- Геология, Геофизика, Геодезия
- Дін
- Ет, сүт, шарап өнімдері
- Жалпы тарих
- Жер кадастрі, Жылжымайтын мүлік
- Журналистика
- Информатика
- Кеден ісі
- Маркетинг
- Математика, Геометрия
- Медицина
- Мемлекеттік басқару
- Менеджмент
- Мұнай, Газ
- Мұрағат ісі
- Мәдениеттану
- ОБЖ (Основы безопасности жизнедеятельности)
- Педагогика
- Полиграфия
- Психология
- Салық
- Саясаттану
- Сақтандыру
- Сертификаттау, стандарттау
- Социология, Демография
- Спорт
- Статистика
- Тілтану, Филология
- Тарихи тұлғалар
- Тау-кен ісі
- Транспорт
- Туризм
- Физика
- Философия
- Халықаралық қатынастар
- Химия
- Экология, Қоршаған ортаны қорғау
- Экономика
- Экономикалық география
- Электротехника
- Қазақстан тарихы
- Қаржы
- Құрылыс
- Құқық, Криминалистика
- Әдебиет
- Өнер, музыка
- Өнеркәсіп, Өндіріс
Қазақ тілінде жазылған рефераттар, курстық жұмыстар, дипломдық жұмыстар бойынша біздің қор #1 болып табылады.

Ақпарат
Қосымша
Email: info@stud.kz