Жарықтың табиғаты жайындағы ілімнің дамуы


Қазақстан Республикасының білім және ғылым министрлігі
М. Өтемісов атындағы Батыс Қазақстан Мемлекеттік университеті
«Физика және математика»
кафедрасы
КУРСТЫҚ ЖҰМЫС
Тақырыбы:
«Жарықтың табиғаты жайындағы ілімнің дамуы»
Орындаған:
Тексерген:
Орал, 2016
Мазмұны
Кіріспе . . . 3
1. Жарықтың табиғаты туралы ілім
1. 1 Жарықтың табиғаты және жарық толқындарының интерференциясы . . . 5
1. 2 Заттағы жарықтың таралуы . . . 8
2. Жарық табиғаты және оның таралу механизмi
2. 1 Жарықтың таралу механизмі . . . 11
2. 2 Жарық толқындарының интерференциясы . . . 15
2. 3 Жарық толқындарының дифракциясы . . . 23
2. 4 Жарықтың поляризациясы . . . 28
2. 5 Жарықтың затпен өзара әсерлесуі . . . 33
2. 6 Жарықтың шашырауы . . . 36
Қорытынды . . . 38
Пайдаланылған әдебиеттер тізімі . . . 40
Кіріспе
Жарық - көрінетін сәуле, яғни жиілігі 7, 5•1014-4, 0•1014Гц аралығындағы адам көзі қабылдайтын электрмагниттік толқын, кең мағынасында - қабылданатын сәулемен бірге спектрдің ультракүлгін және инфрақызыл аймағындағы сәулелерді де қамтитын оптикалық сәуленің синонимі.
Жарықтың сынуы - екі ортаның шекаралық қабатына түскен сәуленің екінші ортаға өткен бөлігінің бастапқы бағыттан ауытқуы. Жарықтың сыну заңдары былай тұжырымдалады:
- түскен сәуле, сынған сәуле және екі ортаны бөлетін шекаралық бетке жүргізілген перпендикуляр бір жазықтықта жатады. Түскен сәуле мен сынған сәуле өзара қайтымды болады;
- түсу бұрышы синусының (α) сыну бұрышы синусына (φ) қатынасы тұрақты шама болады: мұндағы n - ортаның сыну көрсеткіші. Берілген заттың вакууммен салыстырғандағы сыну көрсеткіші сол заттың абсолюттік сыну көрсеткіші деп аталады.
Жарықтың шағылуы - жарықтың екі түрлі орта шекарасына (кем дегенде біреуі мөлдір болатын) түсуі кезінде байқалатын құбылыс. Мөлдір ортадағы жарық сәулесі сыну көрсеткіші сол ортаға қарағанда өзгеше болатын екінші ортаға жеткен соң, оның біршама бөлігі сынып, басқа бағытпен таралады да, енді бір бөлігі бірінші ортаға қарай кері шағылады. Шағылған және сынған сәулелер қарқындылығының салыстырмалы шамасы жарық түскен дене бетінің тегістігіне, жарықтың құрамы мен түсу бұрышына, т. б. байланысты болады. Кейде жарық сәулесі толығымен кері шағылады.
Жарықтың шашырауы - жарық сәулесінің бастапқы таралу бағытын өзгертіп, жан-жаққа ауытқуы. Бұл құбылыс жарықтың оптикалық жағынан біртекті емес ортада таралуы кезінде байқалады. Сол орта ішіндегі бөгде бөлшектер жарықтың таралу бағытын өзгертеді. Жарық толқынының электр өрісі әсерінен мұндай орта электрондары еріксіз тербеледі де, барлық бағытта бастапқы толқын жиілігіндей екінші реттік электрмагниттік толқындар шығарады. Жарық бөгде қоспалардан мұқият тазартылған ортадан (заттан) өткенде де шашырайды. Өйткені молекулалар мен атомдар үздіксіз қозғалыста болатындықтан, шағын көлем ішінде де заттың тығыздығы өзгеруі мүмкін. Осы өзгеріс салдарынан да жарық шашырауы байқалады.
Жарық табиғаты жайлы екі теория қалыптасқан: корпускулярлық және толқындық. Жарықтың толқындық теориясы Гюйгенс принципіне негізделген: толқын келіп жеткен кез-келген нүкте екінші реттік толқын көзі болып табылады, ал осы толқындарды шектеуші сызық келесі уақыт мезетіндегі толқындық майдан орнын береді. Толқындық майдан деп
уақыт мезетінде тербелістер келіп жететін нүктелердің геометриялық орнын айтады.
Жарықтың табиғаты анықталғанға дейін оптиканың негізгі заңдары:
1. Жарықтың түзу сызықты таралу заңы: жарық оптикалық біртекті ортада түзу сызықты таралады.
2. Жарық шоқтарының тәуелсіздік заңы: жеке шоқтың әсері басқа шоқтардың бірмезгілдегі әсерленіне байланыссыз.
3. Шағылу заңы: шағылған сәуле, түскен сәуле және екі ортаның шекарасына түсірілген перпендикуляр барлығы бір жазықтықта жатаы.
Шағылу бұрышы түсу бұрышына тең болады:
4. Жарықтың сыну заңы: түскен сәуле, сынған сәуле және екі ортаның шекарасына түсірілген перпендикуляр барлығы бір жазықтықта жатады. Нормаль мен сәуле арасындағы бұрыш
сыну бұрышы делінеді; түсу бұрышының синусының сыну бұрышының синусына қатынасы екінші ортаның бірінші ортаға қатысты салыстырмалы сыну көрсеткіші делінеді.
,
- екінші ортаның бірінші ортаға қатысты сыну көрсеткіші
1. Жарықтың табиғаты туралы ілім
1. 1 Жарықтың табиғаты және жарық толқындарының интерференциясы
Оптика - физика ғылымының дербес салаларының бірі. Оптикада жарық пен рентген сәулелерінің табиғаты мен касиеттері және олардың затқа ететін әсерлері қарастырылады.
XVII ғасырдың аяқ кезінде жарықтың табиғаты жайында екі түрлі ғылыми түсінік болды. Олардың біреуі - жарықтың корпускулалық теориясы, екіншісі - жарықтың толқындық теориясы.
Жарықтың корпускулалық теориясын тұжырымды етіп баяндаған - ағылшынның атақты ғалымы И. НьютоН (1672 ж. ) Бұл теория бойынша, жарық дегеніміз - жарқырауық денелерден ұшып шыққан жарық бөлшектерінің (корпускулалардың) ағыны. Ньютонша, жарық бөлшектері инерциязаңына лайық түзу сызық бойымен қозғалады, сондықтан жарық біртекті ортада тузудің бойымен таралады. Екі мөлдір ортаның шекарасында жарықтың сыну себебі жарық бөлшектері сындырушы ортаның бөлшектеріне тартылады, соның салдарынан бірінші ортадан екінші ортаға өткенде жарық бөлшектерінің жылдамдығы өзгереді, сонда бірінші ортадан гөрі екінші орта тығыздау болса, жарық бөлшектеріңің жылдамдығы артады.
Интерференция құбылысын толқынның интерференциясын мысалға ала отырып түсіндіруге болады. Жарық интерференциясы үшін қажетті шарт: жарық толқындары монохроматты және когерентті болуы қажет. Интерференция құбылысын бақылау үшін, бір жарық көзінің сәулесін екі саңылаудан өткізіп, оларды когерентті жарық көздері ретінде қарастырады
мұнда
- толқындар жүрісінің айырмасы;
;
- экран ортасынан интерференция бақыланатын А нүктесіне дейінгі қашықтық.
Толқындар жүрісінің айырмасы
,
болғанда интерференциялық максимум, ал
,
болғанда интерференциялық минимум бақыланады.
Бақыланылатын нүктедегі максимум
;
ал минимум
;
Көршілес екі максимумдар (немесе) минимумдардың арақашықтығы интерференциялық жолақтың ені делінеді
абиғатта жұқа қабықшаның екі жазықтығынан шағылған жарық интерференция нәтижесінде қабықшаның түрлі түске боялынуын бақылауға болады.
Қалыңдығы
мөлдір пластинаға сәуле
бұрышпен түссін.
нүктесінде сәуленің біразы шағылып 1 сәуле түрінде ауаға өтеді. Сынған сәуле С нүктесінде біразы шағылып В нүктесіне келеді. . Бұл нүктеде біразы шағылып, біразы сынып 2-ші сәуле түрінде ауаға өтеді.
. 1-сурет
Пластинаның жоғарғы және төменгі беттерінен шыққан 1 және 2 сәулелер когерентті. Егер бұл сәулелердің жолына жинағыш линза қойса линзаның фокальдық жазықтығында (Р нүктесінде) интерференциялық бейнені бақылауға болады. Интерференцияланушы бұл сәулелердің
жазықтығына дейінгі жүрген оптикалық жол ұзындықтарының айырмасы
Оптикалық жол ұзындығы геометриялық жол ұзындығы мен ортаның сыну көрсеткішінің көбейтіндісіне тең. Пластинаның сыну көрсеткіші
, пластинаны қоршаған ауаның сыну көрсеткіші
мүшесі жарықтың орталар шекарасында шағылу нәтижесінде жоғалатын толқын шамасы. Егер
(
) болса, жарым толқынның жоғалуы
нүктесінде болады, онда, таңбасы теріс (
), ал
болса, жарым толқын жоғалуы С нүктесінде болады да, таңбасы плюс
болады.
2. 2. 1. 1-суретте
;
және
олай болса
Р нүктесінде максимум болады, егер
,
минимум болады, егер
,
Интерференция құбылысы дәлді өлшеуіш приборларда - интерферометрлерде қолданылады.
1. 2 Заттағы жарықтың таралуы
Ортаның сыну көрсеткішінің толқын ұзындығына байланыстылығы жарық дисперсиясы делінеді
. Жарықтың призмадан өткенде түрлі түсті спектрге ажырауы дисперсия салдарынан болады.
Монохроматты жарық сәулесінің призмадан өтуін қарастырайық. Сыну көрсеткіші
призмаға сәуле
бұрышымен түссін. Призманың екі қырынан шағылған сәуле өзінің бастапқы бағытынан
бұрышқа ауытқиды.
Сәуленің өзінің алғашқы бағытынан ауытқу бұрышы ортаның сыну көрсеткішіне байланысты. Ортаның сыну көрсеткіші толқын ұзындығына байланысты. Осыдан ауытқу бұрышының толқын ұзындығына байланыстылығы шығады. Әртүрлі ұзындықты толқындар әртүрлі ауытқитындықтан призмадан ақ жарық өткенде түрлі түсті спектрге ажырайды. Бұл құбылысты алғаш рет Ньютон бақылаған. Призманың көмегімен де, дифракциялық торды қолданғандай, жарықты спектрге ажырата отырып оның спектральдық құрамын анықтауға болады.
Дифракциялық тор көмегімен толқын ұзындығын төменгі формуладан анықтауға болады
- дифракциялық тор тұрақтысы белгілі,
ауытқу бұрышын өлшей отырып толқын ұзындығын анықтауға болады. Бұдан
үлкен болған сайын
бұрышының да үлкен болатындығы көрінеді.
Призмада ақ сәуле ортаның сыну көрсеткіші бойынша спектрге ажырайды. Толқын ұзындығы үлкейген сайын
кеми береді.
Сыну көрсеткіші күлгін сәулелерге қарағанда аз болатын қызыл сәулелер призмада азырақ ауытқиды.
шамасы заттың дисперсиясы делінеді. Толқын ұзындығы азайған сайын ортаның сыну көрсеткіші арта береді. Мұндай дисперсия
қалыпты дисперсия
делінеді. Толқын ұзындығы азайған сайын ортаның сыну көрсеткіші де кеми бастаса оны
аномаль дисперсия
дейді. Дифракциялық тордың бұрыштық дифракциясы
.
Максвеллдің электромагниттік теориясы бойынша ортаның абсолюттік сыні көрсеткіші
- заттың магниттік өтімділігі,
- ортаның диэлектрлік өтімділігі, көптеген заттар үшін
, олай болса
Осы формула арқылы анықталған сыну көрсеткішінің мәні тәжірибе нәтижелерімен сәйкес келмейді.
Лоренц теориясы бойынша жарық дисперсиясы - электромагниттік толқын мен ортаның зарядталған бөлшектерінің әсерлесуінің нәтижесі:
ортаның сыну көрсеткіші жарық толқындарының жиілігі
-ге байланысты шама болсын.
мен
арасындағы байластылық
мұнда
-диелектрлік қабілеттілік,
- электрлік тұрақты,
- поляризация векторы.
Электромагниттік теория тұрғысынан жарық көлденең толқындарға жатады. Толқындардың электрлік
және магниттік
кернеулік векторлары бір-біріне және толқынның таралу бағытына перпендикуляр бағытта тербеледі.
Әдетте жарық векторына электр өрісінің векторы
алынады. Сондықтан
векторы тербелетін жазықтық поляризация жазықтығы делінеді. Жарық көптеген атомдардың электромагниттік сәуле шығаруларының жиынтығы болып табылады.
Атомдар бір-біріне тәуелсіз кез-келген бағытта тербеліс жасайды, сондықтан заттардың шығаратын сәулелік толқындары жарық векторының кез-келген бағыттағы тербелістерімен сипатталады.
векторы (соған сәйкес
) кез-келген бағытта тербеліс жасаса жарық табиғи жарық делінеді
векторы сәулеге перпендикуляр бір жазықтықта ғана тербеліс жасаса оны жазық поляризацияланған жарық дейді.
Табиғи жарықты поляризаторлардан өткізіп поляризациялауға болады. Поляризатор деп тек бір ғана бағыттағы тербелістерді өткізетін құралды айтады. Поляризатор ретінде кристалдарды, мысалы, табиғи кристалл турмалинді алуға болады.
Малюс заңы бойынша анықталады
2. Жарық табиғаты және оның таралу механизмi
2. 1 Жарықтың таралу механизмі
Жарық табиғаты және оның таралу механизмi жөнiндегi мәселе Максвелл гипотезасы жауап бердi. Жарықтың ваккумдағы тәжiрибемен өлшенген жылдамдығы мәнiнiң (С=3ּ10 8 м/с) электромагниттiк толқындардың таралу жылдамдығының мәнiмен сәйкес келуi Максвелдiң жарық - электромагниттiк толқындар деп ұйғарым жасауына негiз болды.
Электромагниттік толқындар белгілі бір жылдамдықпен таралады. Максвелла теориясы бойынша, электромагниттік толқынның жылдамдығы біртектi ортада осы ортаның қасиетімен анықталады:
ε және μ - диэлектрлік және магниттік ортаның салыстырмалы өтімділігі ε 0 = 8, 85 10 -12 а 2 сек 2 /н м 2 и μ 0 = 4π 10 -7 н/а 2 - электрлік және магниттік тұрақтылар.
Вакуммдағы электромагниттік толқындардың таралу жылдамдықтарын алу үшін соңғы формулаға ε =1, μ = l қою керек: ν=3ּ10 8 м/с
Бұл жылдамдық вакуумдағы жарық жылдамдығына тең. Бұл қорытындыдан біз жарықтың электромагниттік толқын екеніне көз жеткіземіз.
Электромагниттік өрістегіоптикалық жиілік ауқымы жарық өрісі деп аталады. Оптикалық ауқымы оның екі негізгі ерекшелігіне байланысты.
- оптикалық ауқымда геометриялық оптиканың заңдылықтары орындалады.
- оптикалық ауқымда жарық заттармен өте бұлыңғыр (әлсіз) әсерлеседі. Оптикалық ауқым жарықталынудың келесі түрлерінен тұрады: рентгендік, ультракүлгін (УК), көрінетін, инфрақызыл (ИҚ) сәулелер.
1. 1-суретте оптикалық ауқымға сәйкес келетін бөлік электромагниттік толқындардың шкаласында алатын орнын көрсетеді.
1. 1-сурет
Негізгі шама, электромагниттік өрісті анықтайтын, электрлік өріс кернеулік векторы болып табылады, және өріс кернеулігінің магниттік векторы.
Фотометриядеп - оптиканың жарық толқындарының толқын ұзындықтары 380 нм-ден 760 нм аралығында тасымалдайтын энергиясын өлшейтін және оның адам көзіне тигізетін әсерін зерттейтін саласын айтады. Жарық толқындары тасымалдайтын энергияны екі тұрғыдан бағалауға болады:
Фотометрияның энергетикалық шамалары. 1 бірлік уақыт ішінде S аудан арқылы өтетін жарық энергиясының мөлшерін жарықағыны деп атайды, яғни:
мұндағы Ф-жарық ағыны,
W
жарық энергиясының мөлшері, t-уақыт. Сәулелену шоғының өлшемі
-
ватт (Вт) . Энергетикалық жарқырау (сәулеленгіштік) Re
-
жарқырау дегеніміз бет шығаратын сәуле ағынының осы ағын өтетін беттің қимасының S ауданына қатынасына тең шама. ( беттік сәуле ағынының тығыздығы ) Энергетикалық жарқыраудың өлшем бірлігі - (Вт/м
2
) .
жарықтың энергетикалық күші (сәулелену күші) Ie
-
нүктелік көздің сәулелену ағынының осы шоқтар тарайтын ω денелік бұрышқа қатынасына тең шама. Жарықтың энергетикалық күшінің -ваттың стерадианға қатынасы (Вт/ср) .
Энегетикалық жарықтылық (сәулелену) Вe
, -
Жарық шығарып тұрған беттің жарықтың ΔIe энергетикалық күшінің бақылау бағытына перпендикуляр ΔS қатынасына тең шама. Энергетикалық жарықтылықтың өлшем бірлігі
-
ваттың стерадиан-метр квадратқа қатынасы Вт/(ср-м
2
) .
Энергетикалық жарықталыну жарықталынатын бірлік бетке түсетін сәулелену ағынымен сипатталады. Энергетикалық жарықталынудың өлшем бірлігі - ватт бөлінген метр квадрат (Вт/м 2 ) .
Фотометриядағы жарықты сипаттайтын шамалар:
Оптикалық өлшеулерде қолданылатын әртүрлі қабылдағыштар ерекше талғамды қажет етеді. Олардың әрқайсысы үшін әртүрлі толқын ұзындығының энергиясына деген сезімталдығының әртүрлі қисығы сәйкес келеді.
Жарықты өлшеу объективті энергетикалық өлшеулерге қарағанда субьективті. Олар үшін тек көрінетін жарық үшін қолданылатын жарық бірліктері енгізіледі.
Халықаралық бірліктер жүйесіндегі негізгі жарық бірлігі - кандела (кд) . Ол жиілігі 540-10
12
герц, энергетикалық күші
болатын жарық күші.
Жарық ағыны Ф-тің (оптикалық сәулелену қуаты) бірлігі - Люмен (лм) : 1Люмен депжарық күші 1кд болатын нүктелік көздің 1ср денелік бұрыш ішінде шығаратын жарық ағынын айтады. (1лм=1кд-ср) .
Rжарық шығарғыштық деп - жарқырап тұрған ауданы S - болатын беттің қосынды ағынын айтады.
Жарық шығарғыштық өлшем бірлігі - люменнің метр квадратқа қатынасы (лм/м 2 ) .
![]()
Қандай да бірφбағытындағы жарық шығарыптұрған беттің жарқырауыдеп I жарық күшінің S ауданшасының таңдап алынған бағытқа перпендикуляр бағытқапроекциясының қатынасына тең шаманы айтады.
Жарқыраудың өлшем бірлігі
-
канделаның метр квадратқа қатынасы (кд/м
2
) .
Жарықталыну Е - деп S ауданға түсіп тұрған Ф жарық ағынының осы ауданға қатынасын айтады.
Жарықталынудың өлшем бірлігі - люкс (лк) : 1Люкс деп 1м 2 - ауданға 1лм ағын түсіп тұрған жарықталынуды айтады. (1лк=1лм/м 2 )
Жарық табиғатын анықтаудан бұрын мына заңдылықтар белгілі болған:
Жарықтың түзу сызықты таралу заңы - жарық оптикалық біртекті ортада түзусызықты таралады. Жарық сәулесі деп - бойымен жарық энергиясы тасымалданатын сызықты айтады. . Біртекті ортада жарық сәулесі түзу сызықты болып келеді. 1. 2-сурет
Жарық шоқтарының тәуелсіздік заңдылығы -
Жекелеген шоқтардың әсері-онымен бірге басқа шоқтарда әсер етіп тұр ма әлде жоқ па, одан тәуелсіздігі жөніндегі тұжырым.
Жарықтың шағылу заңы - шағылған сәуле, түскен сәуле және түсу нүктесіне тұрғызылған перпендикуляр бір жазықтықта жатады. Шағылу бұрышы i 1, түсу бұрышы i 2 -гетең болады.
i 1 = i 2
Жарықтың сыну заңдары - түскен сәуле; сынған сәуле және түсу нүктесіне тұрғызылған перпендикуляр бір жазықтықта жатады.
2. 2 Жарық толқындарының интерференциясы
Белгілі бір жағдайда екі (немесе бірнеше) толқынды қозғалыстардың қабаттасу құбылысы интерференция деп аталады. Құбырдағы екі дыбысты толқынның интерференциясын қарастырайық. Бір жылжулар толқыны x өсінің оң бағытымен таралады және былайша анықталсын делік:
, ал екіншісі
біріншісіне қарсы таралады. Екінші y 2 толқынды қашанда екі қума толқынның қосындысы деп қарастыруға болады, атап айтқанда:
.
Онда y(x, t) қорытқы толқындық қозғалыс екі бөлімнен тұрады: тұрғын толқыннан
және қума толқыннан
.
b=a болғанда, яғни бір біріне қарама-қарсы бағыттағы екі жүгірме толқындардың амплитудалары бірдей болған кезде қорытқы толқындық қозғалыс тұрғын толқын пайда болады.
Жылжымайтын нүктелер тұрғын толқынының түйіндері, ал ығысуы барынша үлкен нүктелер тұрғын толқынының шоқтары деп аталады.
Фазалық жылдамдық. Синусоидалық толқынның
v
таралу жылдамдығы фазалық жылдамдық деп аталады. Ол синусоидалды толқын фазасының кез келген кесімді мәніне сәйкес келетін кеңістікте орын ауыстырған бет нүктелерінің жылдамдығына тең. Мысалы, жазық синусоидалды толқынға байланысты
шартынан шығатыны:
, мұнда
k
- толқындық сан:
.
Бейгармоникалық толқынның (толқындық пакеттің) таралу жылдамдығы ретінде толқын амплитудасы максимумының орын ауыстыру жылдамдығын алады. Максимум толқындық пакеттің центрі ретінде қарастырылады. tdw-xdk=const шарты ретінде орындалса, онда:
dx/dt=dw/dk=u. Мұндағы u топтық жылдамдық. Оның фазалық жылдамдықпен (υ=w/k) байланысы мынадай: u=υ-λd υ/dλ.
Когеренттілік деп кеңістікте және уақыт бойынша бірнеше тербелістің немесе толқындық жүйелердің үйлесімді түрде өтуін айтады.
Монохроматты толқындар - бір ғана тұрақты жиіліктегі бүкіл кеңістік бойыншашектелмей таралғантолқындар. Нақтылы жарық көздері аса дәл монохроматты жарықбермейтіндіктен кез келген бір бірінен тәуелсіз жарық көздерінен шыққан сәулелер когерентті болмайды. Жарықты жарық көздеріндегі әрбір атомдар шамамен ≈10 -8 c. уақыт мезетінде шығарады. Тек осы сәтте ғана атомдар шығарған толқындардың амплитудасы және тербеліс фазасы тұрақты болады. Монохроматты емес жарықты толқындық түйіншектер (волновые цуги) -атомдар шығаратын, бірін-бірі тез алмастырып тұратын гармониялық импульстердің жиыны түрінде қарастыруға болады.
Бір толқындық түйіншектің орташа уақыты когеренттілік уақыты деп аталады. Егер толқын біртекті ортада таралса, онда тербеліс фазасы кеңістіктің берілген нүктесінде тек когеренттілік уақытында ғана сақталады. Бұл уақыт мезетінде толқын вакуумде l ког = с τ ког ара қашықтығына тарайды. Бұл ара қашықтықты когеренттілік ұзындығы (немесе түйіншек ұзындығы) деп атайды. Сондықтан берілген жарық көзі үшін интерференцияны тек оптикалық жол ұзындығы когеренттілік ұзындығынан аз болғанда ғана бақылау мүмкін.
Уақытша когеренттілік деп
-
толқынның монохроматтық дәрежесімен анықталатын кеңістіктің берілген нүктесіндегі тербеліс когеренттілігін айтады. Уақытша когеренттілік берілген нүктедегі фазалардың өзгешелігі
мәніне жеткенше сақталады.
Когеренттілік ұзындығы деп - толқынның когеренттілік уақытындағы ығысатын ара қашықтығын айтады . . .
Толқын түйіршігінің таралу бағытына перпендикуляр жазықтықта екі нүктенің ара қашықтығы артқанда олардың фазаларының кездейсоқ өзгеруі де артады.
Кеңістіктік когеренттілік - уақыттың бір мезетіндегі кеңістіктің әртүрлі нүктелеріндегі когеренттілік.
Кеңістіктік когеренттіліктің ұзындығы (когеренттілік радиусы) :
, мұндағы λ - толқын ұзындығы, Δφ- фазалар айырымы.
Жарық толқындарының интерференциясы байқалу үшін жарық көздері кеңістіктік когерентті болуы тиіс.
Жарық интерференциясы деп - кеңістікте екі немесе одан да көп когерентті жарық толқындарының беттесуінің нәтижесінде қорытқы толқынның амплитудасының күшейуін немесе әлсіреуін айтады.
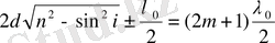
Интерференциялық максимум шарты: Егер оптикалық жол айырымы вакуумдағы толқын ұзындығының бүтін санына (жарты толқын ұзындығының жұп санына), яғни
болса, онда
болып, тербеліс бірдей фазада болады.
Интерференциялық минимум шарты: Егер оптикалық жол айырымы Δ, жарты толқын ұзындығының тақ санына, яғни
болса, онда
болып, тербеліс қарсы фазада болады.
Интерференцияны байқаудың әдістері.
Лазер ойлап табылғанға дейін когерентті жарық шоқтарын екіге бөліп, әртүрлі оптикалық жол жүрген соң қайта беттестіріп, интерференциялық суретті байқаған. .
1. Юнг әдісі. Өте жарықтанған S саңлауынан жарық екі S
1
және S
2
, саңлауларына түсіп, ВС интерференция экранда байқалады (2. 1-сурет) .
2. Френель айнасы. Жарық S көзінен бір-біріне өте аз φ бұрышпен орналасқан екі жазық А 1 О және А 2 О айналарына түседі. Когерентті жарық көздері ретінде S 1 және S 2 жорамал
2. 1-сурет көздеріалынады.
Интерференциялық сурет жарықтың тікелей түсуінен қалқаланған Э экранында байқалады (2. 2-сурет) .
2. 2-сурет
3. Френельдің қоспризмасы.
S
көзінен шыққан жарық призмалардан сынады да қоспризманың сыртында екі жорамал S
1
және S
2
жарық көздерінен тарағандай болады.
2. 3-сурет.
4. Ллойд айнасы. S
жарық көзі
М
жазық айнасына өте жақын орналасады. Бұл жағдайда
S
жарық көзі мен оның айнадағы жорамал S
1
бейнесі когерентті жарық көздері болып табылады.
... жалғасыЕкі саңлаудан байқалатын интерференциялық суретке есептеулер жүргізу.
Екі S 1 және S 2 саңлаулары бір-бірінен d ара қашықтықта орналасқан және когерентті көздер болсын. Э экраны саңлауларға параллель және одан l >> d ара қашықтықта орналассын (2. 4-сурет) .
Кез - келген A нүктесіндегі жарық қарқындылығы мына жол айырымымен анықталады: ∆ = S 2 - S 1 , мұндағы
,
, бұдан
2. 4-сурет
- Іс жүргізу
- Автоматтандыру, Техника
- Алғашқы әскери дайындық
- Астрономия
- Ауыл шаруашылығы
- Банк ісі
- Бизнесті бағалау
- Биология
- Бухгалтерлік іс
- Валеология
- Ветеринария
- География
- Геология, Геофизика, Геодезия
- Дін
- Ет, сүт, шарап өнімдері
- Жалпы тарих
- Жер кадастрі, Жылжымайтын мүлік
- Журналистика
- Информатика
- Кеден ісі
- Маркетинг
- Математика, Геометрия
- Медицина
- Мемлекеттік басқару
- Менеджмент
- Мұнай, Газ
- Мұрағат ісі
- Мәдениеттану
- ОБЖ (Основы безопасности жизнедеятельности)
- Педагогика
- Полиграфия
- Психология
- Салық
- Саясаттану
- Сақтандыру
- Сертификаттау, стандарттау
- Социология, Демография
- Спорт
- Статистика
- Тілтану, Филология
- Тарихи тұлғалар
- Тау-кен ісі
- Транспорт
- Туризм
- Физика
- Философия
- Халықаралық қатынастар
- Химия
- Экология, Қоршаған ортаны қорғау
- Экономика
- Экономикалық география
- Электротехника
- Қазақстан тарихы
- Қаржы
- Құрылыс
- Құқық, Криминалистика
- Әдебиет
- Өнер, музыка
- Өнеркәсіп, Өндіріс
Қазақ тілінде жазылған рефераттар, курстық жұмыстар, дипломдық жұмыстар бойынша біздің қор #1 болып табылады.

Ақпарат
Қосымша
Email: info@stud.kz