Физика сабағында масса ұғымын қалыптастыру


Қазақстан Республикасының білім және ғылым министрлігі
М. Өтемісов атындағы Батыс Қазақстан мемлекеттік университеті
КУРСТЫҚ ЖҰМЫС
Тақырыбы:
«Физика сабағында масса ұғымын қалыптастыру»
Орындаған:
Тексерген:
Орал, 2016ж.
Мазмұны
Кіріспе . . . 3
1. Физика сабағында масса ұғымын қалыптастыру . . . 5
1. 1 Қозғалыс заңдарына тарихи ғылыми әдістемелік талдау жасау . . . 5
1. 2 Масса және күш ұғымын енгізу . . . 8
1. 3 Ньютон заңдарын оқыту әдістемесі . . . 16
2. Практикалық бөлім
2. 1 Денелердің өзара әрекеттесуі. Дененің массасы . . . 21
Қорытынды . . . 30
Пайдаланылған әдебиеттер тізімі . . . 32
Кіріспе
Зерттеу өзектілігі . Физиканы оқыту әдістемесі, ең алдымен, физика ғылымының зерттеу әдістеріне және оның әдіснамасына сүйенсе, екіншіден, философия, педагогика және психология ғылымдары негізінде дамып келеді. Ол өзінің мақсаттары, зерттейтін мәселелері, пайдаланылатын әдістері бойынша физика ғылымына қарағанда, педагогика ғылымдарына бейімділігі мен жақындығы анағұрлым көп. Сондықтан да, физиканы оқыту әдістемесі педагогика ғылымдарының құрамдас бір саласына жатады.
Физиканы мектепте оқыту әдістемесі - педагогика ғылымдары жүйесінің бір тармағы болып саналады. Себебі, педагогика ғылымдары сияқты оның да зерттейтін ең негізгі мәселесі - орта мектептегі ғылым негіздерінің бірі физиканы оқытудың іс-тәжірибесі мен теориясын қарастыру. Ендеше, оның негізгі міндеті:
а) мектеп физика пәнінің оқу бағдарламасы мен оқулықтың мазмұнын анықтау;
ә) оқушыларға физикалық білімдер мен дағдыларың жүйесін ұғындырудың тиімді тәсілдерін, оқыту әдістемесін көрсету.
Физиканы оқыту әдiстемесi зерттеудің ғылыми-әдістемелік негізі бола отырып, дербес дидактика ретiнде әрбiр оқу пәнiне байланысты бiлiмнiң сұрыпталып, жүйеленген қағидаларын, мазмұны мен әдiсiн, материалдық және рухани мәдениетiмен оқу-тәрбие процесiнiң ұйымдастырылу барысындағы қойылатын мақсаттарын орындауға негiзделген iлiм деп танылса, дидактика, өз тарапынан педагогиканың сабақтас ғылыми бөлiгi ретiнде айқындалды. Жоғары мектеп дидактикасының тақырыптық мәнi - тәрбиемен тығыз байланысты болып отыратын бiлiм мен оқу процесiнiң теориясын қамтиды. Оның ғылыми дидактика ретiнде қалыптасуына өзiнiң басқа ғылымдармен етене байланыса отырып, тарихи дамуы себеп болған, өркениетті болашақтың негізін қалайтын арналы ғылыми бағыт.
Физика ғылымында барлық шамалар векторлық және скалярлық шама болып екіге бөлінеді. Векторлық шамаларға: күш, жылдамдық, орын ауыстыру, үдеу, салмақ, қозғалыс жатса, скалярлық шамаларға: жұмыс, энергия, масса, қуат, уақыт, температуралар жатады.
Зерттеу жұмысының мақсаты : Қозғалыс заңдарының тарихи ашылуы мен ғылыми әдістемелік талдау жасау арқылы оқушыларға түсіндіру әдістемесін, қозғалыс заңдары арасындағы байланыстарды ашып көрсету. Масса және куш ұғымын қалыптастыру, Ньютон заңдарын оқыту әдістемесін түсіндіру.
Зерттеу жұмысының міндеттері:
- Қозғалыс заңдарына тарихи, ғылыми әдістемелік талдау жасау;
- “Масса” ұғымына сипаттама беру;
- Масса, эталон ұғымдарын қалыптастыру, өлшеу жолымен массаны анықтау;
- Массаны өлшеудің әдісін көрсете отырып, оның физикалық шаманы үйренудегі күрделілігі туралы түсінік қалыптастыру.
Зерттеу жұмысының пәні: негізгі мектеп курсындағы физика пәні
Зерттеу жұмысының құрылымы: кіріспеден, екі бөлімнен және
қорытынды мен пайдаланылған әдебиеттер тізімінен тұрады.
1. Физика сабағында масса ұғымын қалыптастыру
1. 1 Қозғалыс заңдарына тарихи ғылыми әдістемелік талдау жасау
Кез келген ғылым белгілі бір ұғымдар жиынтығынан, заңдылықтардан тұратындығы белгілі. Физика ғылымы да сондай. Оның негізін құрайтын жалпы теориялық ұғымдар мен құбылыстарды үш топқа бөліп қарастыруға болады. Олар:
1) физика ғылымының қаңқасын құрайтын энергия, масса, өріс, күш деген тәрізді іргелі ұғымдар;
2) физиканың әр саласына, атап айтқанда, «кинематика», «динамика», «жұмыс және энергия», «инерция» - тарауларына тән ұғымдар
3) «механика» және «оптикаға» қатысты негізгі ұғымдар.
Өзара әсер ұғымы - ғылымдағы маңызды ұғымдардың бірі. Әр түрлі өзара әсерлер материялық әлемдегі барлық өзгерістердің себепкері. Ал механикада денелердің өзара әсерлесуін қарастыратын барлық қозғалыс заңдарының бір-бірімен тұтас байланысын көреміз.
Қозғалыс туралы грек ғалымы Аристотельдің еңбектерінде "Денеге басқа дене немесе күш әсер еткенде ғана қозғалады" деген тұжырым үстем болып келді. Механиканы жаңа оқып үйренуге кіріскен кез келген оқушы да осылай ойлайды. Бұл түсінікті де, себебі Аристотельдің көзқарасы күндегі көріп жүрген тәжірибеден алынған. Оқушыларға денелердің тек қана тыныштықта болады деген пікірдің дұрыс еместігін итальян ғалымы Галилео Галилей көрсетті. Галилей дененің тыныштық күйін немесе бірқалыпты қозғалысын қарастырып, дене сыртқы әсер болмағанда тыныштық күйде немесе түзу сызықты бірқалыпты қозғалыста болатынын. көлбеу жазықтағы шарлардың қозғалысын зерттеп қорытындылады.
1686 ж. ағылшын физигі және математигі Исаак Ньютон Галилейдің қорытындыларын жалпылап инерция заңынтұжырымдады.
Инерция заңына (немесе Ньютонның бірінші заңы) сәйкес денеге басқа денелердің әсері теңгерілген болса, онда ол үдеусіз қозғалады.
Ал, дене үдемелі қозғалыста болса, онда әсері сол үдеудің пайда болуына себепші басқа денені көрсетуге болады.
Демек, денелердің үдемелі қозғалысқа түсуінің себебі, оған басқа дененің әсер ететіндігінен деп айтуға болады. Өзара әсерге екі дененің де қатысатынын оқушыларға ескерту қажет. Денелердің өзара әсерлесуі кезіндегі үдеулерінің модульдерінің қатынасы әрқашанда тұрақты болады. Мысалға әр түрлітәжірибелерді (алюминий және болаттан жасалған арбашалармен, өлшемдері бірдей алюминий және болат цилиндрлер кигізілген центрден тепкіш құралмен және т. б. ) жасай отырып түсіндіріледі. Бұл тәжірибелерден әсерлесу уақыты
бірдейболсада, олардың алатын үдеулерінің модульдері әртүрлі болатынын көруге болады. Үдеуін аз мәнге өзгерткен дене инертті деп аталады. Яғни, кез келген дене өз жылдамдығын өзгерту үшін белгілі бір уақыт керек. Қандай да болмасын дене өзара әсерлесу кезінде жылдамдығын лезде өзгерте алмайды. Бұл дененің инерттілік қасиеті деп аталады. Дененің инерттілік қасиеті массамен сипатталады.
Әсерлескен денелердің массаларын
және
арқылы белгілесек, онда былай жазуға болады:
(1)
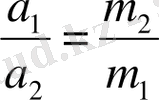
Өзара әсерлесетін екі дененің үдеулері модульдерінің қатынасы олардың массаларының кері қатынасына тең болады.
Бір дененің екіншісіне үдеу туғызатын әсері куш деп аталады.
Күш бір дененің екінші денеге әсері ғана емес, санмен өрнектеуге болатын физикалық шама. Күш бір денеге зор үдеу, екіншісіне аз үдеу беруі мүмкін.
Егерде бір денеге екі күш түсірілсе, ол дене үдеу алмаса, онда түсірілген күштер модулі бойынша тең, ал бағыттары жағынан қарама-қарсы.
Демек, күш тек сан мәнімен ғана емес, бағытымен де анықталады, яғни күш векторлық шама.
Күш - өзі қандай шама және өзі туғызатын үдеумен қалай байланысқан? - деген сұрақтарды оқушыларға қоя отырып, тәжірибелерге жүгінеміз. Арбашалар арқылы жасалған тәжірибелердің қорытындысынан И. Ньютонның екінші заңы тұжырымдалады.
Дененің алатын үдеуі әсер етуші күшке тура, ал массасына кері пропорционал болады.
(2)
Егерде денеге бірнеше күш әсер етсе, онда олардың геометриялық қосындысына тең күштің әсерінде үдеу алады. Бұл күш тең әсерлі немесе қорытқы күш деп аталады.
Енді Ньютонның бірінші заңын басқаша тұжырымдауға болады,
Егер денеге тусірілген барлық күштердің қорытқы күші нолге тең болса, онда инерциалы санақ жуйелерінде ілгерілемелі қозғалатын дене өзінің тұрақты жылдамдығын сақтайды.
Денелердің бір-бірімен әсерлесуі өзара сипатталады.
Біз өзара өсерлесуші денелер үдеулерінің модульдерінің қатынасы
олардың массаларының кері қатынасына тең:
немесе
болатьшын көрдік. Үдеулердің бағытгары қарама-қарсыболатыны тәжірибелерден көрініп түр. Математикалық түрде былай жазылады.
(3)
немесе Ныотонның екінші заңынан:
Бұл теңдік Ньютонның үшінші заңының өрнегі.
Денелер бір-біріне модулі бойынша тең және бағыты жағынан қарама-қарсы күшпен әсер етеді.
Оқушыларға Ньютонның үш заңы да инерциялы санақ жүйесінде қарастырылғанда дұрыс екенін түсіндіру керек.
1. 2 Масса және күш ұғымын енгізу
Жоғарғы сыныптарда масса ұғымын қальштасшру негізгі мекгепте алынған білімдеріне сүйене отарып жүргізіледі. Масса ұғымы туралы базалық курста алған білімдерін физиканың басқа бөлімдерііще одан ары дамытылып қалыптастырылады.
Бағдарлы мектептің жоғарғы сыныптарында масса ұғымын қалыптастыру мынандай кезеңдерден тұрады.
1-кезең. VII-IX сыныптардағы масса ұғымдары туралы алған білімдерін қайталау.
2-кезең. Масса дененің инерттік қасиетінің өлшемі ұғымын арқылы беру.
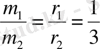
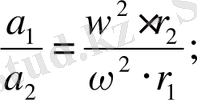
Экспериментгік тәжірибе: центрден тепкіш машинада массалары
1:3 болып келген екі дене бір-бірімен байланыстырылған. Осытәжірибені көрсете отырып, денелердің таяқшадан сырғымай 3:1-не тең радиустардың қатынасындай шеңбер бойымен айналатыны көрсетіледі.
мұнда масса ұғымын белгілі бір мысалға сәйкес анықтау болып табылады.
3-кезең. Осы тәжірибелердің қорытындысын жинақтай отырып массаға анықтама беру.
Анықтама: Дененің массасы бұл оның инертттілігін сипаттайтын физикалык, шама. Ол әсерлесу кезіндегі масса эталоны үдеуі модулінің дене удеуінің модулінің қатынасымен анықталады.
4-кезең. Массаның өлшем бірлігін анықтау. Масса эталонына платина мен иридий қорытпасынан арнайы жасалған цилиндр қабылданған. Осы цилиндрдің массасы массаның халықаралық бірлігі килограмм (кг) 1889 жылы енгізілген.
Осы кезеңде массаның еселік және үлестік бөліктерімен оқушыларды таныстырып жаттығуға есептер шығартқан дұрыс.
5-кезең. Дененің массасын өлшеу жолдары:
1) денелердің өзара әсерлесуі арқылы олардың үдеуін салыстыра отырып анықтауға болады;
2) күйентелі таразы арқылы анықтау (ең көп тараған қарапайым түрі) .
Жұлдыздардың аспан денелерінің немесе өте кішкене элементар бөлшектердің массасын бірінші жолмен анықтайды.
6-кезең. Классикалық механикадағы масса ұғымының қолдану шекарасын талдау.
Масса - материяның инерциялық және гравитациялық қасиетін анықтайтын физикалық шама. Латынның massa - үйінді, кесек деген сөзінен алынған. “Масса” ұғымын механикаға Исаак Ньютон, (1) мұндағы пропорционалдық коэффициент m - берілген дене үшін тұрақты шама, оның массасы. Массаның эквиваленттік анықтамасы Ньютон классикалық механикасының қозғалыс теңдеуінен шығады: f=ma (2) Бұл жерде масса денеге әсер ететін күш (f) пен осы күштің салдарынан болатын дененің үдеуі (а) арасындағы пропорционалдық коэффициент (1) және (2) қатынастарынан анықталатын масса инерциалдық немесе инерттік масса деп аталады. Ол дененің динамикалық қасиетін сипаттайды әрі дене инерциясының өлшеуіші болып есептеледі. Ньютонның гравитациялық теориясында масса тартылыс өрісінің көзі ретінде алынады. Әрбір дене өзінің массасына пропорционал болатын тартылыс өрісін туғызады. Осы өріс салдарынан пайда болатын денелер арасындағы тартылыс күші Ньютон ашқан бүкіл әлемдік тартылыс заңы бойынша анықталады: f = G (3) 8) пропорционал болады: р=m8 енгізген. Ньютонның классикалық механикасындағы масса дене импульсінің (қозғалыс мөлшерінің) анықтамасына енеді. Дене импульсі (р) дененің қозғалу жылдамдығына (мұндағы r - денелердің массалар центрі арасындағы қашықтық, G - әмбебап гравитациялық тұрақты, m1 және m2 - тартылатын денелердің массасы. (3) формуладан Жердің тартылыс өрісінде дененің m массасы мен оның Р салмағы арасындағы тәуелділікті алуға болады: Р = mg, (4) мұндағы g = GМ/r2 - жердің гравитациялық өрісіндегі еркін түсу үдеуі (М - Жердің массасы, r ≈ R, ал R - Жер радиусы) . (3) және (4) қатыстары бойынша анықталатын масса дененің гравитациялық массасы деп аталады. Классикалық физикада дене массасы ешбір процесс кезінде өзгермейді деп саналады [Массаның (заттың) сақталу заңы] . “Масса” ұғымы жарық жылдамдығымен с=3. 1010 см/с шамалас өте үлкен жылдамдықпен қозғалатын дене (не бөлшек) қозғалысын қарастыратын Альберт Эйнштейннің арнайы салыстырмалық теориясында терең мағынаға ие болды. Релятивистік механика деп аталатын жаңа механикада импульс пен бөлшек жылдамдығы арасындағы байланыс: р = (5)
8 қатысы арқылы беріледі [шағын жылдамдықта (<<с) бұл қатыс (1) қатысына айналады] . m0 шамасы тыныштық массасы деп аталады. Қозғалған бөлшек массасы (m) жылдамдыққа тәуелді шама ретінде анықталады: m =, (6)
яғни бөлшек (дене) массасы қозғалыс жылдамдығының өсуіне байланысты артады. Релятивистік механикада (1) және (2) теңдеулердегі массаның анықтамасы бір-біріне эквивалентті емес, өйткені үдеу өзін қоздырған күшке параллель болмайды және масса бөлшек жылдамдығының бағытына тәуелді болып қалады. Салыстырмалық теориясы бойынша бөлшектің массасы (m) оның энергиясымен (Е) мына қатыс арқылы байланысады:
(7)
Сонымен масса энергиямен әрқашанда байланыста болады. Сондықтан релятивистік механикада классикалық физикадағы екі заң - массаның сақталу заңы мен энергияныңсақталу заңы - бөлек-бөлек емес, толық энергияның сақталу заңы деп аталатын бір заңға біріктірілген. Масса бірлігіне бірліктердің СГС жүйесінде - грамм (г), ал бірліктердің халықаралық жүйесінде (СИ) - килограмм (кг) алынады. Атомдар мен молекулалар массасы, әдетте массаның атомдық бірлігімен өлшенеді. Элементар бөлшектердің массасын не электрон массасы (mе) бірлігімен не бөлшектің тыныштық энергиясын көрсете отырып, энергетикалық бірлікпен өлшейді. Электрон массасы (mе) 0, 511 МэВ, протон массасы - 1836, 1 me немесе 938, 2 МэВ, т. б. құрайды. Массаның табиғатын ашу - қазіргі физиканың шешілмеген маңызды міндеттерінің бірі. Элементар бөлшектердің массасы олардың өздері байланысқан өрістер (электрмагниттік, ядролық, т. б. ) арқылы анықталады деп қабылданған. Алайда массаның сандық теориясы әлі жасалған жоқ.
Масса - экономикада: тауарлардың мөлшері (тауар‚ ақша массасы‚ конкурстық масса) . Топтамалардың құнын‚ шамасын‚ салық салу базасын‚ т. б. анықтау үшін пайдаланылатын тауарлардың аса маңызды сипаттамаларының бірі. Мынадай салмақ (масса) өлшемдері қолданылады: 1 тонна = 10 центнер = 1000 килограмм = 1 грамм 1 ағылшын тоннасы = 20 центнер = 2240 сауда фунты 1 сауда фунты = 16 сауда унциясы = 256 сауда драхмасы 1 ағылшын тоннасы = 1016 килограмм 1 ағылшын сауда центнері = 50‚802 килограмм 1 сауда фунты = 0‚453 килограмм 1 сауда унциясы=28‚349 грамм 1 сауда драхмасы = 1‚77 грамм 1 ағылшын граны = 64‚799 грамм 1 американ шағын тоннасы = 907‚17 килограмм 1 дәріханалық фунт=12 дәріханалық унция = 373‚24 грамм 1 дәріханалық унция=8 дәріханалық драхма=31‚103 грамм 1 дәріханалық драхма = 3 скрупула = 3‚888 грамм 1 пұт = 16‚38 килограмм 1 байырғы орыс фунты = 409‚5 грамм 1 лот = 12‚8 грамм 1 мысқал = 4‚266 грамм 1 үлес = 44‚43 миллиграмм.
Масса ақауы массаның атомдық бірлігімен өрнектеледі және ол ядродағы нуклондардың байланыс энергиясына тең (кері таңбамен алынған) . Масса ақауы неғұрлым үлкен болса, солғұрлым байланыс энергиясы жоғары және ядро орнықты болады.
Масса тұрақтылық заңы, масса сақталу заңы - реакцияға қатысқан заттардың (реагенттердің) массаларының қосындысы реакция нәтижесінде түзілген заттардың (өнімдердің) массаларының қосындысына тең. 1774 - 89 ж. француз химигі Антуан Лавуазье, өзі жасаған күрделі тәжірибелерге сүйене отырып, тұжырымдаған. Мысалы, 32 г оттек пен 4 г сутек қосылғанда 36 г су түзіледі; 2Н2+О2 =2Н2О. Мұндағы реакцияға түскен реагенттердің жалпы массасы (36 г) реакция нәтижесінде түзілген өнімнің массасына (36 г) тең.
Физика курсында күш ұғымын қалыптастыру келесі кезеңдерден тұрады.
1-кезең. Күш ұғымы туралы негізгі мектептің 7-сынып физикасында бастапқы мағлұматтар алады. Бір дененің екінші денеге әсері күш деп аталады. Ауырлық күші, серпімділік күші, үйкеліс күші түрлерімен танысады, яғни негізгі мектепте алған білімдерін қайталайды.
2-кезең. Бір дененің екінші денеге әсерін сипаттауы күштің сандық анықтамасы ретінде қалыптастыру. Бұл кезең Ньютонның екінші заңын оқып үйренумен байланысты қалыптасады. Мұңда мына жағдайларға көңіл бөлу керек.
1) Күш ұғымының анықтамасын түсіндіру. Өзара әсерлесу салдарынан дене үдеу алады (жылдамдық векторы өзгереді) . Үдеу туғызатын басқа дененің ықпалынқысқаша үдетілетін денеге әсер етуші күш деп атайды. Осыны тәжірибе жүзінде міндетті түрде көрсету керек. Демонстрациялық эксперимент: массалары әртүрлі арбашаларды серіппелер арқылы әсерлестіріп үдеулерін салыстыру. Тәжірибелерден шығатын қорытынды: өзара әсерлесетін денелердің алғы шарттары мен сипатгамаларына ғана байланысты, ал олардың үдеулерінің қатынасына байланысты емес.
2) Күшті анықтау үшін тәжірибе жасалынады (бір күш арқылы әр түрлі массалы арбашаларға әсер ету) . Серіппенің серпімділік күші оның сығылуына немесе созылуына ғана байланысты, осы қасиетін пайдаланып массасы әр түрлі денелерге әсерін қарастыру. Денеге тұрақты күш әсер еткенде, та шамасы барлық денелер үшін бірдей болатындай тәжірибе жасап көрсетеміз. Центрге тартқыш машиналар арқылы тәжірибелер жасап, центрге тартқыш үдеуді табады
.
Дененің белгілі массасы мен тәжірибеден алынған үдеу арқылы күшті анықтау, яғии күш дененің массасы мен үдеудің көбейтіндісіне тең болады (
) . Демек Ньютонның екінші заңын өткенде қалыптастырылады.
3-кезең. Ньютонның 3-ші заңын өткендегі әсер және қарсы әсерді қарастырған кезде қалыптастырылады. Заңды оқып-үйренгендеәсерөзара әсерлесу сипатында болатынын атап айту қажет. Ньютонның үшінші заңыңда, екінші заңына қарағанда айырмашылығы екі денеге әсері бірдей қарастырылады. Мұндағы "әсер" және "қарсы әсер" терминдері өзара ауыса алады және шартгы түрде алынған. Мысалыекі дене әсерлескендс бірінші дененің екінші денеге "әсері" (
), алекінші дененің бірінші денеге "әсері" (
) болады немесе керісінше.
Оқушыларға бұл күштерді қосуға және оларды тең әсерлі күшпен шатастыруға болмайтынын түсіндіру керек. Тең әсерлі күш бір денеге түсірілген күштердің қосындысы, ал "әсер" және "қарсы әсер" күштері әр түрлі денеге түсіріледі.
4-кезең. Әртүрлі күштердің өзара әсерін қарастыру ауырлық, серпінділік, үйкеліс күштерін қалыптастыру. Механикада мұнан басқа денелердің өзара әсері жоқ, олай болса басқа күштер де жоқ. Алдымен гравитациялық күш және бүкіл әлемдік тартылыс заңы қарастырылады. Гравитациялық күшті оқып үйренгенде: денелердің Жерге қүлауы, Күннің айналасында планеталардың қозғалысы, планеталардың айналасында серіктердің қозғалысы т. с. с. Оқушыларға гравитациялық күштер ара қашықтыққа байланысты денелердің өзара тартылу салдарынан пайда болатынын түсіндіру қажет.
Тартылыс күшінің бір көрінісі ауырлық күші (дененің Жерге тартылу күші) болып табылады. Ол Жер центріне бағытталған және ауырлық центрі деп аталатын нүктеге түсіріледі.
Серпінділік күші денелердің деформациялану салдары ретінде, ал деформациялану өзара әсерлескенде дененің бөлшектері әр түрлі үдеу алуы салдары ретінде қарастырылады. Серпінділік күшін және деформацияның пайда болуын көрсеткен пайдалы. Серпінділік күші ылғи да денелердің тікелей өзара әсерлесу кезінде пайда болады.
Серпінділік күші өзара әсерлесетін денелердің жанасу бетіне перпендикупяр бағытгалады, ал деформацияланған денелер шыбықтар, резеңке таспалар, жіптер, сығылған не созылған серіппелер болса, овда серпінділік күші олардың осі бойымен бағытталады. Серпінділік күшінің ұзаруға тәуелділігінің осы оське проекциясы Гук заңыменанықталады: Ғх =-kx
Дененің Жерге тартылу салдарынан оның тірекке немесе аспаға әсер ететін күші дененің салмағы ретінде қарастырылады. Салмақсыздық дененің салмағы нольге тең болған кездегі күйі арқылы анықталады.
Оқушыларға ауырлық күші денеге түсірілгеи гравитациялық күш, ал дененің салмағы дегеніміз аспаға немесе тіреуге түсірілген серпінділік күші екенін түсіндіру керек.
Механикада күштерді оқып үйрену үйкеліс күшімен аяқталады. Үйкеліс күшінің пайда болуын білеушенің горизонталь беіте бірқалыпты қозғалысын оқып-үйрену мысалында қарастырады (1, а-сурет) . Мектепте Ньютон механикасын оқыту кезінде материялық нүктенің қозғалысын қарастырады, сондықтан да денеге түсірілетін барлық күштерді ауырлық центріне түсіріп көрсетеді (1, б-сурет) .
1-сурет
Мұнда ауырлық күші mg тіреудің серпінділік күші
серп теңгереді.
Тәжірибеде білеушеге ілгек іліп, оған динамометрді жалғап тартсақ, онда білеуше бірден қозғала қоймайды. Бұдан шығатын қорытынды: білеуше қозғалысына дененің бойымен кері қарай бағытталған күш әсер етеді. Бұл күш үйкеліс күші. Үйкеліс заңын оқып-үйренгенде
(
үйк
) оқушыларға серпінділік күші дененің қозғалысжазықтығына перпендикуляр, ал үйкеліс күшімен тік бұрыш жасай бағытталатанын көрсету керек.
Сырғанау үйкеліс күшінің бағыты дене қозғалысының бағытына қарама-қарсы бағытталады (1-сурет) . Дененің көлбеу жазықтықпен бірқалыпты сырғанаған кезде, үйкеліс коэффициенті көлбеу жазықтықтың горизонтпен жасайтан бұрышының тангенісіне тең екені қарастырылады. Сондай-ақ күнделікті өмірде, практикада қолданылуына мысалдар келтіріледі. Мысалы, көлбеу жазықтық арқылы жүкті автокөлікке тиеу (транспортир арқылы) және т. б.
... жалғасы- Іс жүргізу
- Автоматтандыру, Техника
- Алғашқы әскери дайындық
- Астрономия
- Ауыл шаруашылығы
- Банк ісі
- Бизнесті бағалау
- Биология
- Бухгалтерлік іс
- Валеология
- Ветеринария
- География
- Геология, Геофизика, Геодезия
- Дін
- Ет, сүт, шарап өнімдері
- Жалпы тарих
- Жер кадастрі, Жылжымайтын мүлік
- Журналистика
- Информатика
- Кеден ісі
- Маркетинг
- Математика, Геометрия
- Медицина
- Мемлекеттік басқару
- Менеджмент
- Мұнай, Газ
- Мұрағат ісі
- Мәдениеттану
- ОБЖ (Основы безопасности жизнедеятельности)
- Педагогика
- Полиграфия
- Психология
- Салық
- Саясаттану
- Сақтандыру
- Сертификаттау, стандарттау
- Социология, Демография
- Спорт
- Статистика
- Тілтану, Филология
- Тарихи тұлғалар
- Тау-кен ісі
- Транспорт
- Туризм
- Физика
- Философия
- Халықаралық қатынастар
- Химия
- Экология, Қоршаған ортаны қорғау
- Экономика
- Экономикалық география
- Электротехника
- Қазақстан тарихы
- Қаржы
- Құрылыс
- Құқық, Криминалистика
- Әдебиет
- Өнер, музыка
- Өнеркәсіп, Өндіріс
Қазақ тілінде жазылған рефераттар, курстық жұмыстар, дипломдық жұмыстар бойынша біздің қор #1 болып табылады.

Ақпарат
Қосымша
Email: info@stud.kz