Электр тізбегі және оның құрылысы


Курстық жұмыс
Тақырыбы:
«Электр тізбегі және оның құрылысы»
Орындаған:
Тексреген:
Орал, 2014ж.
Мазмұны
Кіріспе . . . 3
1. Электр тізбегі және кері байланыс туралы түсінік
1. 1. Электр тізбегі теориясы туралы жалпы түсінік . . . 5
1. 2. Кері байланыс туралы түсінік және кері байланысы бар тізбектің жіберу функциялары . . . 9
1. 3. Қарапайым электр тізбегі . . . 11
2. Электр тізбегі және оның құрылысы
2. 1. Электр тізбегі бөлшектерінің шартты белгілері және электр тізбегін құрастыру тәсілі . . . 14
2. 2. Параллель контурдағы резонанс . . . 16
2. 3. Активті және реактивті кедергіліерді параллель қосқанда байқалатын токтардың резонансы . . . 18
Қорытынды . . . 27
Пайдаланылған әдебиеттер тізімі . . . 29
Кіріспе
Электр энергиясын қолдану бізге барлық іс-әрекеттерді жақсартуға өнеркәсіпке жаңа автоматтандырылған технологиялық процесстер енгізіп жаңа мүмкіншіліктерді берді. Ауыл шаруашылығында жаңа қажеттіліктерде құрылған технологиялар нақты өнім түрін жылдам және жеңіл түрде тудыратын болды. Электр энериясы өмірдің барлық салаларында соншалықты кең таралуының басты себебінің бірі - электромагниттік энергияны өте аз шығынмен алыс қашықтыққа беру және оны энергияның басқа да түрлеріне: механикалық, жарық, жылу, химиялық және т. б. түрлендіру ыңғайлы.
“Электротехниканың теориялық негіздері” курсының пәні деп, тізбектер мен өрістердегі өтетін электромагниттік процестерді сандық және сапалық жағынан оқып үйренуді айтады. Физика және жоғары математика курстарына негізделген бұл курс, осы заманғы электротехникалық құрылымдардың әртүрлі кең кластарына қолданылатын инженерлік есптеулер және талдау әдістеріне толы болады. Сонымен қатар ЭТН өндіріске қажетті болашақ мамндардың электротехника мен радиотехникадан ғылыми көзқарастарының қалыптасып жетілуінде аса маңызды рөл атқарады және бұл курсқа арнай электротехникалық және радиотехникалық пәндер негізделеді.
ЭТН курсында электрлік және магниттік құбылыстарды екі тәсілмен сипаттап жазу қолданады. Оның бірі тізбектер теориясы, ал екіншісі өріс теориясы.
Тізбектер теориясында нақты электротехникалық құрылымдарды жобамен идеялизацияланған схемалармен ауыстыру қолданылады. Бұл схема анықталуға тиісті кернеулер және токтары бар тізбектің бөліктерінен тұрады. Инженерлік практикада, тізбектер теориясы аралық токтар арасындағыкернеуді есептеуге жүгінбей-ақ, қарастырылып отырған тізбектің бөлігінің ұштарының арасындағы кернеуді тікелей дәл анықтауға мүмкіндікбереді. Токтарды өткігіштің қимасының әр түрлі нүктелеріндегі оның тығыздықтарын ещқандай есептеусіз-ақ анықтайды.
Өріс теориясы кеңістік пен уақыттағы нүктеден нүктеге дейінгі электрлік және магниттік шамалардың өзгерісін зерттейді. Ол электрлік және магниттік өрістердің кернеуліктерін электр энергиясының сәуле шығарумен, көлемдік зарядтың таралуы, токтардың тығыздықтары және т. б. зерттеумен шұғылданады.
Электр тізбегі - электр тогын өткізетін құрылғылардың жиынтығы. Электр тізбегіндегі электро-магниттік процестер ЭІК-і, электр тогының күші мен кернеуі арқылы сипатталады. Полюстеріне потенциалдар айырмасы түсірілген қандай да бір екі қысқышты бір-бірімен қосатын (жалғастыратын) сым электр тізгегінің қарапайым түріне жатады. Атқаратын міндетіне қарай электр тізгегін: энергия не сигнал көзі бар бөлікке, қабылдағышы бар бөлікке және басқа бөліктерді өзара қосатын бөлікке ажыратуға болады. Электр тізгегіндегі өткізгіштер өзара тізбектей, параллель не аралас жалғастырылуы мүмкін. “Электр тізгегі” ұғымы радиотехника, электртехника, бионикада, т. б. қолданылады.
1. Электр тізбегі және кері байланыс туралы түсінік
1. 1. Электр тізбегі теориясы туралы жалпы түсінік
Электр тізбектер теориясы ғылым ретінде электр тізбектерінің анализі және синтезін, схеманы және құрылғылардың маңызды аспабы болып табылады, ол электротехникада және радиотехникада көп қолданылады. Электр тізбектерге әр-түрлі техникалық аспаптар жатады. Қай жерде болмасын әнгіме электр тогында немесе электр қысымында болса, онда ол жерде электр тізбектерінің қатысы болады. Электр тізбектердің құрылуының бастамасы Ом заңынан 1826 жылы және Киргофтан 1845 жылдан, 1876 жылы П. Н. Яблочковтың трансформаторды, 1895 жылы А. С. Поповтың радионы, 1906 Л. де Ворестомтың триоданы ойлап табуы. 1924 жылы Р. Фостер және 1926 жылы В. Кауэр тапсырма тізбектер синтезі арқылы шешу методикасын құрастырған. Басты тапсырма, яғни электр тізбектерінің теориясын шешу, екі топқа бөлінген: анализ және синтез. Анализ тапсырмасы процестерді зерттеумен байланысты. Тізбектен өтіп, оның элементтерінің параметрлері бегілі құрылымы берілген. Электр тізбектерінің бірінші қадамы: оның математикалық моделі идеалдық түрде болу керек. Бұл идеалдық ғылыми әдісте тізбектер теориясының мінездемесінің бірі болып саналады. Нақты электр тізбегі тізбектің эквивалентін көрсетеді, идеалдық элементтерден тұратын. Эквиваленттті электр тізбек процесі интегро - дифференциалдық теңдеу арқылы көрсетеді, оның шешімі тізбектің анализінің кірістегі әрекетінің реакциясын көрсетеді, егер бастапқы шарты берілсе. Осылайша, электр тізбектер теориясының әдістеріне кіреді: Эквивалентті идеалдық тізбектің құрылуы, нақты құрылғыға лайықты; Тезбектің құрылуы және шешуі, алынған қорытындыны келтіру анализдік реалдық тізбекке сәйкес. Синтез тапсырмасы тізбек құрылымын және параметрлерін іздеуге болады, берілген заң бойынша бұл процес бағынады. . Синтез анализге қарағанда қиынырақ тапсырма болып есептеледі, өйткені ықшамдылық мақсат шешімін болжайды, берілген талаптар орындалады. Мысалы: электр тізбегінің элементі минималді сан болса, немесе оның шекті төмен құнында.
Электр тізбегі - электр тогын өткізетін құрылғылардың жиынтығы. Электр тізбегіндегі электрмагниттік процестер, электр тогының күші мен кернеуі арқылы сипатталады. Полюстеріне потенциалдар айырмасы түсірілген қандай да бір екі қысқышты бір-бірімен қосатын (жалғастыратын) сым электр тізбегінің қарапайым түріне жатады. Атқаратын міндетіне қарай электр тізбегін: энергия не сигнал көзі бар бөлікке, қабылдағышы бар бөлікке және басқа бөліктерді өзара қосатын бөлікке ажыратуға болады. Электр тізбегіндегі өткізгіштер өзара тізбектей, параллель не аралас жалғастырылуы мүмкін. “Электр тізбегі” ұғымы радиотехника, электртехника, бионикада, т. б. қолданылады. Электр тізбегі - электр энергиясын генерациялауға, тасымалдауға және қолануға арналған құырлғылардың жиыны, бұл процестер ЭҚК, кернеу, ток түсініктерімен сипатталады. Электр тізбегі деп - электр тоғын тудыратын құралдар мен обьектілер жиыны, ЭҚК тоғы және кернеуі туралы түсінік көрсететін электромагниттік процесстер. Тұрақты ток тізбегін, қазіргі техникадағы өз бағытын өзгертпейтін яғни э. қ. к көз полярлығы әр уақытта тұрақты тізбегін айтамыз.
Электр сигналын күшейту өндірістік электроникадад жиі кездеседі. Мұндай мәселелерді шешуде электронды күшейткіштер құрылғыларды қондырылады.
Күшейткіштер бірнеше белгілері бойынша бөлінеді:
- күшейтетін элементтер түріне байланысты (шамды, транзисторлы) .
- күшейтетін шамаға байланысты (кернеудің, токтың және қуаттың күші) .
- каскадтың санына байланысты (біркаскадты, екікаскадты, көпкаскадты) .
Күшейтетін сигналдың жиілігінің диапазонына байланысты:
- төмен жиілікті күшейткіштер - төмен жиілік диапазонында үздіксіз периодты сигналдарды күшейтуге арналған ондаған герцтен ондаған килогерцке дейін) .
- тұрақты ток күшейткіштері - нольден бірнеше үлкен жиілікті диапазонның ақырындап өзгеретін кернеу мен токтарды күшейтуге арналған.
- таңдамалы күшейткіштер - жоғары жиілікті күшейткіштер қатарына жатады.
- импульсты күшейткіштер - бірнеше килогерцпен ондаған мегагерцке дейінгі жиілікті диапазонында жұмыс істейді. Импульсты байланысқан радиолокацияда қолданылады.
Тәуелдi көздерге байланысты тізбектерді көпшiлiкте сигнал өтудiң екi жолына ие болады: (шығыстан кiріске) түзу және (шығыстан кiріске) керi. Сигнал өтуінің керi жолы арнаулы керi байланыс(КБ) тiзбегінің көмекпен жүзеге асырады. Демек, мұндай Кері байланыс жолдары бірнеше болуы мүмкін. Мысалы, керi байланыс тізбектерінің көмегiмен тізбектің жұмыс режiмiнiң температуралық тұрақтануы, сызықты емес элементтермен тізбек пайда болатын сызықты емес бұрмалану iске асыруға күшейткiштердi техникалық параметрлер жақсартуға кiшiрейтуге жіне т. б. болады.
Керi байланыс енгiзу кезінде әр түрлi функция үлгi жасайтын әр түрлi пiшiндi тербелiс жинайтын тізбекті жасауға рұқсат бередi(суммалау, интегралдау, дифференциалдау және т. б. ) . Оңнан басқа кері байланыс тізбекке байланысты теріс те бола алады.
Керi байланыс әр түрлi белгiлер бойымен жiктелген бола алады: байланыстың мiнезi бойымен (Пос ) - оң, (ООС ) терiс және кешендi ; құрылымы бойымен - сыртқы және iшкi ; элемент оны мiнезi бойымен iске асыратын - активті және пассивті, сызықты және сызықты емес, жиiлiк тәуелдi және жиiлiк тәуелсiз және т. б. Талдау барысы негізі болып төртполюстіктердің тікелей жіберу және кері байланыс тізбегі табылады.
1. 1-Суретте төртполюстіктердің тура күшейтуінің жіберу функциясының H у ( p ) және кері байланысты төртполюстіктердің жіберу функцияларының H ос ( p ) схемалары келтірілген
Негізінен, әдетте төртполюстіктер ретінде H у ( p ) активті тізбектер(күшейткіш), ал кері байланысы бар жіберу функциясы H ос ( p ) ретінде пассивті төртполюстік қолданылады.
Берілген схемалар төртполюстіктердің тізбектей-параллелды (а), параллелды (б), тізбектей(в) және параллелды-тізбектей (г) қосылуларға сәйкес келеді. Мұндай ұқсастықтарды талдау үшін күрделі төртполюстіктерге сәйкес H, Y, Z, F-параметрлері қолданылады.
Құрылымдарының ұқсастықтарына байланысты Кері байланысты келесідей түрлерге бөледі: U ос -ның U вых- қа байланысты кернеу бойынша тізбектей (1сур а), I ос -тың шығыс кернеуінің U 2 функциясы болғандықтан кернеу бойынша параллель (1сур б), U ос бл схемада шығыс ток I 2 байланысты болғандықтан ток бойынша тізбектей(1сур в), , I ос шығыс ток I 2 г байланысты болғандықтан ток бойынша параллелді(1сур г) .
1 сурет.
1. 2. Кері байланыс туралы түсінік және кері байланысы бар тізбектің жіберу функциялары
Электрондық күшейткіштер мен құрылғылардағы кері байланыс деп осы күшейткіш каскадтың немесе құрылғының шығысынан оның кірісіне арнайы электр тізбегі арқылы шығыс сигналдың бір бөлігін беруді айтады.
Кері байланыс теріс және оң кері байланыс болып екіге бөлінеді. Теріс Кері байланыс күшейткіштердің жұмысын тұрақтандыру үшін колданылады. Көптеген автотербелмелі генераторлардың жұмысы оң кері байланысты пайдалануға негізделген. Тербелісті генерациялау және күшейту коэффициентін тұрақтандыру мақсатында шығысқа шығыс сигналдар бөлігін өткізу.
Кері байланыс терендігі - кері теріс байланыстың күшейткіштің күшейтуін көрсететін шама: 1 + βК; мұндағы β - кері байланыс тізбегінің кернеу бойынша беру коэффициенті, К - күшейткіштің кері байланыспен қамтылған бөлігінің күшейту коэффициенті.
Оң кері байланыс бойынша:
βК < 1 жағдайында, кері байланыс күшейтуді арттырады;
βК>1 жағдайында, күшейткіш өшпейтін тербеліс генераторына айналады.
Кері байланысты хабар тарату жүйелері. Байланыс арнасымен берілетін мәліметтің дәлдігін арттыру үшін мәліметтерді кейін қарай беруге арналған қосымша арналар колданылады. Яғни, берілген мөліметтің дұрыс жеткенін тексеру үшін қосымша арна пайдаланылады.
Ақпарат көзінен мәлімет тіке арна арқылы қабылдаушыға жетеді. Қабылдау орнында алынған мәліметтің дұрыс екенін тексеру үшін кері арнамен хабар беруші қурылғыға жетіп, сол жерде берілген мөлімет пен қабылдаушыдан қайтып келген мәлімет салыстырылып, оның дұрыс болатыны анықталса, онда келесі хабар жіберіледі. Ал егер дұрыс болмаса, мұның алдында берілген хабар қайталанады. Мұндай қайталану берілген хабар мен кері қайтып келген хабар бірдей болғанша жүреді.
Екінші жагдайда қабылдау орны қабылданган мәліметтің дұрыс екенін тексеріп, егер ол дұрыс болса, қабылдап, дұрыс болмаса, кері арнамен қайтарып жібереді. Сонда хабар беруші дұрыс қабылданбаган хабарды қайталап береді. Кері байланысты пайдалану арқылы арналардың сипаттамалары талданып, қай арнаның қандай байланысқа пайдалы екені бағаланып, бөгеулердің сипаттамаларына байланысты берілетін артық мәліметтер мөлшері реттеледі.
Берілген мәліметтердің дұрыс жіберілгені қай жерде тексерілетініне және тексерудің әр түрлі әдістерін қолдануга байланысты кері байланысты сигнал беру жүйесі бірнеше түрге бөлінеді. Олар: ақпаратгық кері байланыс жүйесі, шешуші кері байланыс жүйесі және аралас кері байланыс жүйесі.
Кері байланыс дегеніміз - шыға берісіндегі пайдалы күшейтілген сигнал энергиясының бөлігі кірісіне берілген күшейткіштің шығуымен, кіруі арасындағы байланыс. Кері байланыстың оң және теріс түрлері бар. Оң кері байланысты генераторлы каскадта қолданылады, ал теріс кері байланысты жиі қолданылады.
Кері байланысты күшейткіштің жұмысының тұрақтандыруын арттыруда қолданылады, ол кезде кері байланыс пайдалы болады. Кері байланыс кері байланыс коэффицентімен сипатталады:
; Uшығ=Uс - Uкб
Кері байланыс тізбегі - негізгі тізбектің шығу, кіру арасындағы байланысты атқаратын тізбек.
1. 3. . Қарапайым электр тізбегі
Қарапайым электр тізбегі электр энегиясының көзінен Е, энергия тұтынушыдан Т және энергия көзі мен тұтынушыны байланыстыратын екі өткізгіш жалғастырушы сымдардан С1 және С2 тұрады. Жалғастырушы өткізгіш сымдар электр энергиясының көзіне оң және теріс полюстер деп аталынатын екі қысқыштар арқылы қосылады. Электр энергиясының көзі механикалық, химиялық, жылулық тағы басқа энергия түрлерін электр энергиясына түрлендіреді. Тұтынушыда электр энергиясы басқа энергия түрлеріне - механикалық, жылулық, химиялық, жарық т. б. айналады. Электр энергиясының көзіне генераторлар қандай да болмасын механикалық қозғалтқыштармен қозғалысқа келетін электр машиналары, аккумуляторлар және гальваникалық элементтер жатады. Электр тұтынушылары ретінде жарықтандырғыш шамдар, электр қозғалтқыштары, электрқыздырғыш аспаптар т. б. пайдаланылады.
Гальваникалық элементтерде, аккумуляторларда бірінші жағдайда гальваникалық элементтер батареяларын, екінші жағдайда аккумулятор батареяларын құру үшін бір-бірімен жалғастырылады. Электр энергиясының көзі оған өткізгіш сымдар арқылы қосылған энергия тұтынушымен бірге тұйықталған электр тізбегін құрады. Тұйықталған электр тізбегінде үздіксіз зарядтар қозғалысы пайда болады, оны электр тогы деп атайды.
Металл өткізгіштеріндегі тұрақты ток еркін электрондардың тұйық тізбек арқылы қалыптасып бағытталған қозғалысы болып табылады. Схемаларда ток пен кернеудің оң бағыттарын плюстен минуске қарай бағдарланған нұсқамалар арқылы шартты түрде белгілеу қабылданған.
Тұйықталған тізбектегі электр тогы энергия көзінің электр қозғаушы күші әсерінен ағады. Тізбекте ток жоқ болған жағдайда да яғни тізбек ажыратылған кезде де энергия көзінде электр қозғаушы күші пайда болады. Тізбекте ток жоқ болған жағдайда да ЭҚК энергия көзінің қысқыштарындағы потенциалдар айырымына тең.
Потенциалдар айырымы сияқты ЭҚК вольтпен көрсетіледі. Тұйықталған электр тізбегінде де ажыратылған тізбекке де ЭҚК энергия көзінің қысқыштарының потенциалдар айырымын үзбей ұстап тұрады. Тұйықталған тізбекке ток үздіксіз ағылу үшін энергия көзі ішіндегі зарядтар қозғалысы электр өрісі күшінің әсерінен қарама-қарсы бағытталған болуы керек. Зарядтардың мұндай қозғылысы сырттан берілген күштерінің әсерінен болады. ЭҚК бары екендігіне көз жеткізу үшін энергия көздерінің полюстеріне жалғастырушы өткізгіш сымдар орнына вольтметр деп аталатын аспапты қосса болғаны. Ол кезде вольтметрдің нұсқама тілі белгілі-бір ұшқа ауытқиды. Энергия көзінің ЭҚК көп болған сайын вольтметр нұсқама тілінің ауытқуы да солғұрлым көп болады. Бірақ вольтметр төмендей көрсетілгеніндей ЭҚК көрсетпейді. Ал ток көзінің қысқыштарындағы кернеуін көрсетеді. Кернеу ЭҚК сияқты вольтпен, киловольтпен және мегавольтпен өлшенеді.
Кез-келген өткізгіштегі электр зарядтарының бағытталған қозғалысына оның молекулалары мен атомдары бөгет жасайды. Сондықтан токтың өтуіне сыртқы тізбекке энергия көзінің өзі де кедергі туғызады. Электр тізбегінің электр тогы өтуіне қарсы әрекеттілігін электр кедергісі деп атайды.
Тұйықталған электр тізбегіндегі қосылған электр энергиясының көзі электр энергиясын сыртқы және ішкі тізбектер кедергілерін жену үшін жұмсайды.
Электр кедергісі R әріпімен белгіленеді. Электр тізбегіне қосылатын және электр кедергілері бар құрылғыларды резисторлар деп атаймыз. Кедергінің өлшем бірлігі - Ом болады. өткізгіш сымында тұрақты потенциал айырымы 1 В болған кезде одан 1 А тогы өтсе, онда өткізгіш сымының электр кедергісі 1 Ом болады. Үлкен кедергілерді өлшеу үшін Омнан 1000 және 1 есе көп бірліктер қолданылады. Олар кОм және мОм. өткізгіштердің электр тогына көрсететін кедергісі оларға салынған материалға сонымен қоса оның ұзындығы мен көлденең қимасының ауданына байланысты, егер 1 материалдан жасалған екі өткізгішті салыстырсақ, онда көлденең қима аудандары тең болған жағдайда ұзындау өткізгіштің кедергісі үлкен болады. Ал өткізгіштің қайсы-бір көлденең қимасының ауданы үлкен болса, онда кедергісі аз болады.
Өткізгіш материалдың қасиетін бағалауға меншікті кедергі қолданылады. Меншікті кедергі ұзындығы 1 м, көлденең қима ауданы 1мм 2 өткізгіш сымның кедергісі. өткізгіштер кедергі температурасына тәуелді болады. Реттелген кедергілерді - реостаттар деп атайды. Реостаттар үлкен меншікті кедергілері бар сымдардан мысалы, нихромнан жасалынады. Реостаттар кедергісі біркелкі немесе сатылап өзгеруі мүмкін. өткізгіштердің электр тогын өткізу қабілеттілігі өткізгіштіліктен сипаттама алады. Оның мәні кедергіге кері пропорционал. өткізгіштің матрицасының меншікті кедергісіне кері шама меншікті өткізгіштік деп аталады.
2. Электр тізбегі және оның құрылысы
2. 1. Электр тізбегі бөлшектерінің шартты белгілері және электр тізбегін құрастыру тәсілі
Электр энергиясының көмегімен өзіміз тұратын үйді қыстыгүні жылытамыз, ал жаздыгүні ыстықта оны салқындатамыз, үнемі жарық жағамыз, алысқа сәлем жолдаймыз, теледидардан түрлі кескіндерді көреміз, тіптен адамдарды да емдейміз, т. б аса маңызды істерді жүзеге асырамыз.
Кез-келген затта схемалар, шартты белгілер бар, тіптен күнде қолданып жүрген қалта телефондарыңды алып көріңдер, микросхемалардан тұрады. Оларды түсіну үшін шартты белгілерін білуіміз керек.
Ток көзі мен электр тұтынушыны өткізгішпен қосу арқылы электр тізбегі алынады. Тізбек қосылған кезде тізбек бойымен ток жүреді, егер оны кез-келген жерден үзсе, тізбек арқылы ток жүрмейді. Ең қарапайым электр тізбегі 4 элементтен тұроды; ток көзі, ажыратқыш, өткізгіш және қабылдағыш.
Енді осылардың шартты белгілерімен танысайық.
Шартты белгілер
Өткізгіш сымдар
Электр шамы
Ажыратқыш ( кілт )
- + Гальваникалық
элемент (батареясы )
Электр тізбегінің сұлбасы
- +
2. 2. Параллель контурдағы резонанс
Екі тармақты параллельді тізбекті қарастырайық: біреуінің параметрлері - r 1 кедергісі және l индуктивтілігі, ал екіншісінікі - r 2 кедергісі және C сыйымдылығы (1-сурет) .
1-сурет
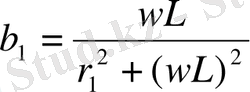
Мұндай тізбекті көбінесе параллельді контур деп атайды. Резонанс байқалады, егер кіретін өткізгіштікте
реактивті құраушысы
(1)
және
- тармақтың реактивті өткізгіштері.
b 2 = -b 1 болғанда фаза бойынша қарама-қарсы тоқтардың реактивті құраушылары тең. Сондықтан қарастырып отырған тізбектегі резонанс тоқтар резонансы атына ие болды.
Тізбектің параметрі және жиілігі арқылы көрсетілген b 1 және b 2 мәндерін (1) -ге қойсақ, мынаны аламыз:
(2)
(
w, L, C, r
1
, r
2
) мөлшерлерінің бәреуін өзгертумен қалған төрт тұрақтыға резонанс әрқашан жетпеуі мүмкін. Егер өзгеретін мөлшердің мәні теңдеуден анықталғанда комплексті болса, резонанс болмайды.
w -ға байланысты теңдеуді шешіп, резонанстың бұрыштық жиілігінің келесі мәндерін табамыз:
(3) 5. 14
Егер r 1 және r 2 кедергілері ρ-ден үлкен не кіші болса, резонанс болуы мүмкін.
r
1
= r
2
≠ ρ
болғанда резонанс жиілігі
.
r
1
= r
2
= ρ
болғанда резонанс жиілігі
кез-келген мәнді қабылдайды.
Радиотехника мен электробайланысты аз жоғалтуы бар контурлар жиі қолданылады, яғни мұнда r 1 және r 2 ρ -ға қарағанда кіші. Мұндай жағдайда резонанс жиілігін мына формуламен анықтауға болады:
2. 3. Активті және реактивті кедергіліерді параллель қосқанда байқалатын токтардың резонансы
Токтардың резонансын зерттеудің ыңғайлы жолы R, L және C -элементтері параллель қосылған электр тізбегін қарастыру (2-сурет) . Мұндай тізбектің өткізгіштік комплексі
(4)
а) ә)
2-сурет 3-сурет
Резонанстық тізбектің төзімділігі
Тізбектің қысқыштарына U -кернеуі берілген жағдайда қоректендіру көзімен келетін ток мынаған тең болады:
Токтардың резонансы кезінде жұмсалатын токтың, керенулердің резонансы кезіндегі токпен салыстырғандағы ерекшелігі, оның шамасы минимал болады, демек
Мұны тікелей Ом заңынан да шығарып алуға болады:
,
себебі: b L =b C .
Енді I 0 мен I -дің қатынасын анықтайық, сонда
Токтардың резонансы болған жағдайда 2-суреттегі схемадағы индуктивтік және сыйымдылық элементтеріндегі токтар шама жағынан бір-біріне тең болғанмен таңбалары қарама-қарсы болады:
Бұл алынған өрнек, қарастырылып отырған тізбектің төзімділігінің, L және С -тағы токтардың I 0 -тогына қатынасының еселі екенін көрсетеді.
... жалғасы- Іс жүргізу
- Автоматтандыру, Техника
- Алғашқы әскери дайындық
- Астрономия
- Ауыл шаруашылығы
- Банк ісі
- Бизнесті бағалау
- Биология
- Бухгалтерлік іс
- Валеология
- Ветеринария
- География
- Геология, Геофизика, Геодезия
- Дін
- Ет, сүт, шарап өнімдері
- Жалпы тарих
- Жер кадастрі, Жылжымайтын мүлік
- Журналистика
- Информатика
- Кеден ісі
- Маркетинг
- Математика, Геометрия
- Медицина
- Мемлекеттік басқару
- Менеджмент
- Мұнай, Газ
- Мұрағат ісі
- Мәдениеттану
- ОБЖ (Основы безопасности жизнедеятельности)
- Педагогика
- Полиграфия
- Психология
- Салық
- Саясаттану
- Сақтандыру
- Сертификаттау, стандарттау
- Социология, Демография
- Спорт
- Статистика
- Тілтану, Филология
- Тарихи тұлғалар
- Тау-кен ісі
- Транспорт
- Туризм
- Физика
- Философия
- Халықаралық қатынастар
- Химия
- Экология, Қоршаған ортаны қорғау
- Экономика
- Экономикалық география
- Электротехника
- Қазақстан тарихы
- Қаржы
- Құрылыс
- Құқық, Криминалистика
- Әдебиет
- Өнер, музыка
- Өнеркәсіп, Өндіріс
Қазақ тілінде жазылған рефераттар, курстық жұмыстар, дипломдық жұмыстар бойынша біздің қор #1 болып табылады.

Ақпарат
Қосымша
Email: info@stud.kz