Бірінші ретті дифференциалдық теңдеулер


Мазмұны
І. Кіріспе . . . 3
§ 1. Жай дифференциалдық теңдеулер . . . 4
- Бірінші ретті дифференциалдық теңдеулер . . . 4
- Теңдеудің геометриялық мағынасы . . . 5
§ 2. Айнымалылары ажыратылатын теңдеулер . . . 9
§ 3. Біртекті дифференциалдық теңдеулер . . . 18
§ 4. Сызықтық теңдеулер . . . 27
- Айнымалыларды алмастыру (Бернулли) тәсілі . . . 27
- Ерікті тұрақтыны вариациялау (Лангранж) тәсілі . . . 29
- Демеушілік көбейткіш тәсілі . . . 30
§ 5. Бірінші ретті дифференциалдық теңдеулердің ерекше
шешімдері . . . 37
Дифференциал теңдеулердің классификациясы және кейбір
есептердің шешімдері . . . 46
Қорытынды . . . 49
Пайдаланылған әдебиеттер . . . 51
Қожа Ахмет Ясауи атындағы Халықаралық Қазақ-Турік Университеті
Жаратылыстану және Медицина институты
Жаратылыстану факультеті
ЖМА-415 тобының студенті Файзиева Ироданың «Диффференциал теңдеулердің геометриялық есептерге қолданылуы» тақырыбындағы дипломдық жұмысына
Сын пікір
Файзиева Ироданың «Дифференциал теңдеулердің геометриялық есептерге қолданылуы» тақырыбындағы дипломдық жұмысы кіріспеден, 5 параграфтан, 14 суретттен және 1 кестеден, қорытынды және әдебиеттер тізімінен тұрады.
Бірінші параграфта жай дифференциалдық негізгі ұғымдарымен анықтамалары қарастырылған. Бірінші ретті дифференциалдық теңдеулермен теңдеуледің геометриялық мағыналары көрсетілген.
Екінші және үшінші параграфтада дифференциалдық теңдеулердің әр біріне, яғни айнымалылар ажыратылатын теңдеу, біртекті дифференциалдық теңдеулерге келтірілетін геометриялық есептер сурет және шешімдерімен толық көрсетілген.
Төртінші параграфта сызықтық теңдеулер айнымалыларды алмастыру (Бернулли) тәсілі, ерікті тұрақтыны вариациялау (Лагранж) тәсілі, демеушілік көбейткіш тәсілдері қолданып есептер көрсетілген.
Бесінші параграфта бірінші ретті диффенренциалдық теңдеулердің ерекше шешімдері, Клеро теңдеулеріне келтірілетін геометриялық есептер қарастырылған.
Жоғарыда айтылған пікірлерді есепке алып Файзиева Ироданың бұл жұмысы Қазақстан Республикасы Білім және Ғылым министрлігінің дипломдық жұмысына қойылған талаптарына сай және ол жоғары дәрежеде жасалынғаны және оны өте жақсы бағамен бағалауға болады деп есептеймін.
Пікір беруші: тех. ғ. к. профессор Темірбеков А.
1 § Жай дифференциалдық теңдеулер
1. Бірінші ретті дифференциалдық теңдеулер
1. 1 Негізгі ұғымдар. Тәуелсіз айнымалы
- ті, ізделінді функция
пен оның туындыларын байланыстыратын теңдеуді жай дифференциалдық теңдеу дейді. Дифференциалдық теңдеуге енетін туындының ең жоғары ретін теңдеудің реті деп атайды.
Бірінші ретті дифференциалдық теңдеуді жалпы түрде
(1)
жазады. (1) теңдеу туындыға салыстыра шешілетін болса, ол былай жазылады:
(2)
Дифференциальдық теңдеуді тепе - теңдікке айналдыратын кез келген
функцияны, оның шешімі деп атайды.
Егер
функциясы, тұрақты С-ның кез келген мәнінде (1) теңдеуді қанағаттандыратын болса, онда бұл шешімді (1) теңдеудің жалпы шешімі дейді.
болғанда ізделінді функцияның
мәні берілсе, бұл шартты бастапқы шарт деп, оны былай жазады:
немесе
![]()
теңдеудің шешімінн анықтау процесін теңдеуді интегралдау деп атайды.
Теңдеудің жалпы шешімі
түрінде берілсе, оны теңдеудің жалпы интегралы дейді.
Ал, теңдеу шешімінің графигін интегралдық қисық деп атайды.
Коши теоремасы .
Егер
функциясымен оның дербес туындысы
жазықтықтығының белгілі бір облысында анықталған және үзіліссіз болса, онда бұл облыстың қандай да бір ішкі нүктесі
- дің кейбір төңірегінде (2) теңдеудің
бастапқы шартты қанағаттандыратын жалғыз шешімі бар болады.
Бұл теорема (2) теңдеуі берілсе, оның шешімі бар және ол жалғыз ғана болатынын білу мүмкіндігін көретеді. Теореманың геометриялық мағынасы: D облысының әрбір ішкі нүктесі арқылы жалғыз интегралдық қисық өтеді.
Бастапқы шартты қанағаттандыратын теңдеудің шешімін іздеу есебін Коши есебі дейді.
Тұрақты С - ның анықталынған белгілі бір мәнінде жалпы шешімнен алынатын шешім (2) теңдеудің дербес шешімі делінеді.
2. Теңдеудің геометриялық мағынасы
дифференциалдық теңдеуі берілсін және оның шешімі
болсын.
шешімінің графигі, әрбір нүктесі арқылы жанама жүргізуге болатын үзіліссіз интегралдық қисықты кескіндейді. Интегралдық қисықтың кез келген
нүктесінде жүргізілген жанаманың бұрыштық коэффициенті
мәніне тең.
Сондықтан (2) теңдеуі
нүктесінің координаттары мен бұл нүктедегі интегралдық қисық графигіне жанаманың бұрыштық коэффициенті
- нің арасындағы тәуелділікті тағайындайды.
пен
белгілі болса,
нүктесінде интегралдық қисық жанамасының бағытын көрсетуге болады.
Осындай нүктелердің геометриялық жиынын «тұрақты сына» деп атайды.
Интегралдық қисықтың әрбір
нүктесіне бұрыштық коэффициенті
мәніне тең бағытталған кесіндіні орналастырсақ, берілген теңдеудің бағыттар өрісін аламыз.
Сонымен,
теңдеуі
жазықтығында бағыттар өрісін анықтайды, ал оның шешімі әрбір нүктедегі жанама бағыты осы нүктедегі жанама бағыты осы нүктедегі өріс бағытымен дәл келетін интегралдық қисық болады екен.
Берілген теңдеудің бағыттар өрісін жазықтықта құру арқылы интегралдық қисықтарды жуық шамамен кескіндеу мүмкін болады. Бұл әдіс «тұрақты сына» әдісі делінеді.
- мәселетеңдеуінің координат басынан өтетін интегралдық қисығын«тұрақты сына»әдісімен салу керек.
1-сурет
Шешуі:
- паралеллель түзулері берілген тұрақты сынасы болады.
деп алып
,
,
,
, . . . тұрақты сыналарын табамыз. Оларды салайық (1 - сурет) .
Буындарының бұрыштық коэффициенті . . . , -2, -1, 0, 1, 2, . . . болатын . . .
. . . сынық сызықтарын саламыз
Мысалы,
нүктесінде бұрыштық коэффициент
теңдеуімен анықталады және т. с. с.
Бұл сынық сызықтар теңдеудің интегралдық қисығын жуық түрде анықтайды.
Егер тұрақты сыналарды неғұрлым тығыз алсақ, онда соғұрлым интегралдық қисықты дәлірек алуға болатынын ескерте кетейік.
Енді геометрияға тиісті болған бір мысалды көрелік.
2- мәселе. Қисық сызыққа оның кез келген нүктесінен өткізілген жанаманың ординаталар өсінен ажыратқан кесіндісі ұрыну нүктесі ординатасының екі еселенгеніне тең. Сол қисық сызықтың теңдеуін табайық.
Шешуі.
Ізделінді қисық сызықтан
кез келген
нүкте аламыз
(2-сурет) . М нүктеден өткізілген жа-
наманың теңдеуі
түрінде болады, мұнда
- жана-
ма нүктелерінің айнымалы координат-
тары,
- ізделінді функцияның
берілген нүктедегі туындысы. 2- сурет
Жанаманың
өсінен ажыратқан
кесіндісін табу үшін
деп аламыз.
Екіншіден, шарт бойынша
.
кесінді үшін табылған екі өрнектеу салыстырып, 3-сурет
немесе
Бұл теңдіктің екі жағында
ке көбейтіп, оны дифференциал қатнасқан түрге келтіріледі.
(*)
(*) теңдеудің сол жағы айнымалылар көбейтіндісінің дифференциалы
, сондықтан (*) теңдеу
түрінде жазылады, мұнда
,
- тұрақты сан.
теңдеу ізделінді қисық сызықтың теңдеуін береді.
- қисық сызықтар әулетін, яғни асимптоталары координата өстері болатын тең өсті гиперболалар әулетінен құралған. (3- сурет) .
2 § Айнымалылары ажыратылатын теңдеулер .
немесе
түріндегі теңдеуді
айнымалылары ажыратылатын теңдеу
деп атайды.
Шынында, теңдеудің айнымалыларын ажыратуға болады:
немесе
Бұл теңдеудің жалпы шешімі:
немесе
түрінде жазылады.
Егер айнымалылары ажыратылатын теңдеулерде
және
болса, онда ажырату нәтижесінде дифференциалдық теңдеудің
және
шешімдері жоғалуы мүмкін. Сондықтан теңдеуді айнымалыларды ажырату әдісімен шешуде көрсетілген шешімдер жалпы шешімнің құрамына енетінін тексеру керек. Егер ол шешімдер енбесе, онда оларды теңдеудің жалпы шешімінің құрамына енгізу керек.
3-мысал.
дифференциалдық теңдеудің шешімін табайық.
Шешуі:
Теңдікті
көбейтіндісіне бөлсек,
болады.
Сонымен, айнымалылар ажыратылды. Енді интегралдасақ,
Потенциалдауға ыңғайлы болу үшін,
деп аламыз.
(*)
Берілген дифференциалдық теңдеудің
шешімі болғандықтан ол шешім (*) түріндегі жалпы шешімге енбейтін болғандықтан
- ден басқа ноль мәнді қабылдайтын С параметрін енгіземіз. Сонда
шешімі, мына түрдегі
жалпы шешімге кіреді.
4-мәселе . Нормал ұзындығы мен нормал асты ұзындығының қосындылары тұрақты а санына тең болған қисық сызықты табу керек.
Шешуі:
Нормал асты ұзындығы
, ал нормал ұзындығы
. Берілген шарт бойынша ізделінді функция
дифференциалдық теңдеуін қанағаттандаруы керек. Соңғы теңдеуден
тапсақ:
Мәселе шерты тек қана
болғанда орындалады. Шынында да қисық сызықтар әулетінен табылады:
Сондықтан
шартын қанағаттандыру үшін
, яғни
болуы керек, сондықтан тек қана оң мәндерді қабылдайды.
5-мәселе
.
нүктеден өтетін және жанаманың бұрыштық коэффициенті болған сызықтың теңдеуін табу керек.
Шешуі: Мәселе шартында берілген:
немесе
және
болғанда
онда ізделінуіді функция
6-мәселе.
нүктеден өтетін және жанаманың бұрыштық коэффициенті
болған сызықтың теңдеуін табу керек.
Шешуі: Мәселе шарты бойынша
,
болғанда
онда ізделінді функция
7- мәселе . Әрбір нүктесіндегі жанаманың бұрыштық коэффициенті жанасу нүктесінің абсциссасына пропорционал болатын қисықтың теңдеуін табу керек.
Шешуі. Мәселе шарты бойынша
Ізделінді қисық параболалар әулеті болар екен.
8-мәселе.
Бағыттық сыналар тәсілін қолданып
дифференциалдық теңдеуінің интегралдық қисығын жуықтап салайық.
Шешуі.
Ол үшін алдымен
теңдікті пайдаланып бағыттық сыналар сызықтар жиынтығын табамыз:
Демек, берілген дифференциалдық теңдеуге сәйкес бағыттық сыналар (изоклиндер) -бас нүкте арқылы өтетін түзулер жиынтығы болатындығын көреміз. Бұл түзулер бойындағы бағыттық өріс
теңдігімен анықталады. Енді демеушісіне мәндер беру арқылы, сәйкес бағыттық сыналап түзуін тауып, оның бойында жатқан бағыттар өрісін пайдаланып ізделініп отырған интегралдық қисыққа (шешімге) жүргізілген жанамалардың бұрыштық коэффициенттерін
, яғни жанаманың
өсімен жасайтын бұрыштарын анықтаймыз (кесте) .






















Келтірілген кестедегі мәліметтер бойынша бағыттар өрістерін құрып, одан жуықтап болса да сәйкес интегралдық қисықтарды саламыз.
9-мәселе.
нүктеден өтетін және жанаманың жанасу нүктесінде бұрыштық коэффициентігі
болға қисық сызықтың теңдеуін табу керек
4-сурет
Шешуі.
Мәселе шарты бойынша
болғанда
Онда ізделінді функция
10 - мәселе. Табу керек;
1) жанаманың бұрыштық коэффициенті жанасу нүктесіне тең болған қисық сызықты.
2) (2, 5) нүктеден өтетін қисықты.
Шешімі.
- Ізделінді қисық сызық әулетінің дифференциалдық теңдеуі
немесе
Сонғы теңдіктің екі жағында интегралдап табамыз:
![]()
![]()
![]()
жоғарыдағы қасиетке ие болған қисық сызықтар әулеті.
2) С тұрақтыны табайық:
бастапқы шарт бойынша тапсақ:
Сондықтан (2, 5) нүктеден өтетін интеграл қисық
11- мәселе. Координаттар өстері арасында жайғасқан жанама кесіндісі жанасу нүктесінде тең екіге бөлінетін қисық сызықтар әулетінің теңдеуін табу керек. (3, 4) нүктеден өтетін қисызық сызық теңдеуін жазу керек.
Шешуі:
СМ=МВ, онда
Ізделенді қисық сызық
Бұл тең бүйірлі гиперболалар әулеті.
(3, 4) нүктеден, яғни
бастапқы 5-сурет
шартты қанағаттандыратын интегралды
қисық теңдеуін табу үшін С тұрақтының мәнін табуымыз керек.
бастапқы шартты қанағаттандыратын қисық
сызық теңдеуі
.
12- мәселе.
нүктесінен өтетін және кез келген нүктесіндегі жанамасының координат осьтері арасындағы кесіндісі жанасу нүктесінде 2:3 (
- өсінен бастап есептелінеуі) қатынасындай бөлінетін сызықтық теңдеуін табу керек.
Шешуі. Айталық
ізделінді функция,
қисықтың кез келген нүктесі,
қисыққа жанама,
жанаманың
өсімен,
оның
өсімен қиылысу
нүктелері.
нүктесінің
осіндегі
проекциясы болсын (6- сурет. )
Жанаманың
осінің оң
бағытымен жасайтын бұрышын
деп белгілейік, онда
.
Екінші жағынан 6 - сурет бойынша 6-сурет
Алынған қатынасты
нүктесінің ағымдық координаттары
арқылы өрнектейік.
болғандықтан,
болады.
екендігін ескерсек,
және
Демек,
Бұл алынған теңдеу айнымалылары ажыратылатын бірінші ретті дифференциалдық теңдеу.
Айнымалыларды ажыратып интегралдасақ:
немесе
Бұл интегралдық қисықтар үйірінен
нүктесі арқылы өтетін қисықты таңдап аламыз. Ол үшін
,
мәндерін теңдеудің жалпы шешіміне қойсақ:
болады.
Демек, ізделінді қисықтың теңдеуі
болады.
13- мәселе
.
нүктесінен өтетін және кез келген нүктесіндегі жанаманың координат осьтерінің арасындағы кесіндісі жанасу нүктесінде
(
-осінен бастап есептегенде) бөлетін сызықтың теңдеуін табыңыз.
Шешуі.
Айталық
ізделінді функция,
қисықтың кез келген нүктесі,
қисыққа жанама.
- жанаманың
осімен,
- оның
осімен қиылысу нүктелері,
нүктесінің
осіндегі проекциясы болсын (7-сурет) . Жанаманың
осінің
оң бағытымен жасайтын бұрышын
деп белгілейік, онда
.
Екінші жағынан 7-сурет бойынша:
7-сурет
Алынған қатынасты
нүктесінің ағымдық координаттары арқылы өрнектейік.
болғандықтан
болады.
екендігін ескерсек,
және
Демек,
.
Бұл алынған теңдеу айнымалылары ажыралатын бірінші ретті дифференциалдық теңдеу.
Айнымалыларды ажыратып интегралдасақ:
Бұл
интегралдық қисықтар үйірінен
нүутесі арқылы өтетін қисықты таңдап аламыз.
Ол үшін
мәндерін теңдеудің жалпы шешіміне қойсақ:
Демек ізделінген қисық теңдеуі
болады.
3 § Бір текті дифференциалдық теңдеулер.
Айталық
функциясы берімін. Егер кез келген
нақты саны үшін
(4)
теңдігі орындалатын болса, онда
функциясы
шы ретті біртекті функция
деп аталады.
Мысалы:
үшінші ретті біртекті функция;
нөлінші ретті біртекті функция.
Егер
- бірдей ретті біртекті функциялар болса, онда
(5)
біртекті функционалдық теңдеу деп аталады.
Дербес жағдайда,
- нөлінші ретті біртекті функция болса, онда
біртекті дифференциалдық теңдеу.
Енді біртекті дифференциалдық теңдеуді интегралдау жолдарын көрсетейік. Ол үшін (5) теңдеудің екі жағын да
шамасына көбейту арқылы,
функцияларын түрлендіреміз.
Сонымен,
Егерде
ретті біртекті функциялар болса, онда (5) теңдеудің екі жағын да
шамасына бөлу арқылы,
теңдіктерді ескере отырып,
(6)
теңдеуін аламыз. Осы алынған теңдікке
(7)
ауыстыруын қолдансақ, түрлендірілген (6) теңдеу айнымалылары ажыратылатын теңдеуге айналады. Шынында да, (6) теңдеуге (7) ауыстыруды қолдансақ,
айнымалылары ажыратылатын теңдеу. Ал оны шешу алдыңғы параграфта келтірілген.
14- Мысал
.
теңдеуін интегралдайық.
Шешуі.
Берілген теңдеудегі
функцияларын біртектілікке тексерейік:
Демек,
бірінші ретті біртекті функциялар. Ал берілген теңдеу біртекті дифференциалдық теңдеу, яғни
Бұл теңдеу айнымалылары ажыратылатын теңдеу.
Ендеше,
Берілген теңдеудің жалпы интегралын алдық. Бұған қоса
шамасы да берілген теңдеудің шешімі болатындығына оңай көз жеткізуге болады.
Ескерту.
Кей кездері біртекті теңдеулерді
айнымалысын
-тің функциясы, яғни
түрінде интегралдау ыңғайлы болады. Бұл кезде
ауыстыруын енгіземіз.
Енді біртекті дифференциалдық теңдеуге келтірілетін
(8)
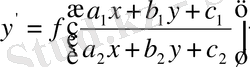
түріндегі теңдеуді қарастырайық.
Ол үшін ескі
және
айнымалыларының орнына жаңадан
(9)
теңдіктері арқылы
және
айнымалыларын енгіземіз. Мұндағы
кейбір сандар.
Бұл кезде
болады да, берілген (8) теңдеу
түрін қабылдайды. Мұндағы
сандарын соңғы теңдеу біртекті теңдеуге айналатындай етіп таңдауымыз керек. Ол үшін, ол теңдеудің белгілі бір бөлігін, яғни
сандары:
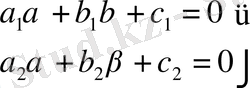
(10)
теңдеулер жүйесін қанағаттандыратындай етіп аламыз.
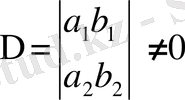
Егер негізгі анықтауыш
болса, онда (10) теңдеулер жүйесінің жалғыз ғана шешімі болатын
сандары табылып, берілген (8) теңдеу жаңа
және
айнымалылары арқылы біртекті дифференциалдық теңдеуге айналады:
Ендеше,
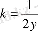
ауыстыруын жасау арқылы
теңдеуді айнымалылары ажыратылатын теңдеуге келтіреміз. Оны шешу жолдары жоғарыда келтірілген.
Егер
қатынастары орындалатын болса, онда
белгілеулеріне енгізу арқылы, (8) теңдеу
түріне келтіріледі. Соңғы теңдеуге
ауыстыруын енгізіп, (8) теңдеуді айнымалылары ажыратылатын теңдеуге келтіреміз.
Ал
қатынастары орындалатын болса, онда берілген (8) теңдеудің оң жағы тұрақтыға айналып
түрін қабылдайды.
15-мысал.
дифференциалдық теңдеуін шешейік (интегралдайық) .
Шешуі.
Ол үшін (9) ауыстыруын енгіземіз, яғни
. Онда берілген теңдеу
түрін қабылдайды. Ендеше
Демек,
Берілген дифференциалдық теңдеудің жалпы интегралын алдық.
16- мәселе. Жанама асты жанасу нүктесінің абсциссасы және ординатасының қосындысына тең болған қисық сызықтарды табу керек.
Шешуі: Мәселе шарты бойынша
немесе дифференциалдарда жазсақ,
дифференциалдық теңдеуге ие боламыз.
Бұл теңдеуде
ауыстыру емес, бәлкім
ауыстыруын енгізу тиімді. Ол жағдайда
және теңдеу
түріне келеді.
Бұл жерден
Жалпы шешім
қисық сызықтар үйірі болады.
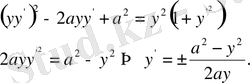
17-мәселе . Айналу осінің О нүктесіне жайғастырылған жарықтың көзінен шығатын барлық сәулелер рефлектор айнасынан бұл осіне паралел болып қайтуы үшін рефлектор айнасын қайсы айналу беті бойынша тегістеу керек. (8-сурет) .
Шешуі.
Ізделінді айналу бетінің меридиан бөлігін аламыз. Координаталар кіндігін О нүктеде деп аламыз,
осін айналу осі бойынша бағыттаймыз. Егер
оспен қисық сызықтың
нүктесіне өткізілген
жанама арасындағы бұрышты
арқылы белгілесек, ол жағдайда мәселе шарты бойынша:
8- сурет
Екінші жағынан, бұрыштар түсу бұрышы
және қайту бұрышы
ге толықтырушы бұрыштар болғандықтан
және бұдан
. Сондықтан,
үшбұрышы тең бүйірлі және
Сызбадан:
, нәтижеде
дифференциалдық теңдеуді құраймыз немесе дифференциалдарда жазсақ,
.
Бұл
және
ке салыстырғанда біртекті теңдеу
және сәйкес ретте
орнына қою жәрдемінде бұл теңдеуді айнымалылары ажыратылатын теңдеуге келтіреміз:
немесе
бұдан
яғни
.
Иррационалдықтан құтқарып, бұл теңдеуді ықшайдаймыз:
немесе
Ескі
айнымалысына қайтып, жалпы интегралды табамыз:
(7)
бұл симметрия өсі
оспен бетпе -бет түсетін, яғни беттесетін, параметр
болған және төбесі координаталар басынан сол жақта
арақашықтықта жататын параболалар үйірі (әулеті) . Демек, айналу беттері айналу параболоидтары болып, олардың
теңдеулері белгілі заң ереже бойынша
ты
арқылы алмастыру бойынша құралған.
Егер айнаның диаметрі
және тереңдігі
берілген болса, парабола теңдеуінен
деп, С - ның мәнін анықтау мүмкін:
ол жағдайда парабола теңдеуі
(дербес интеграл), айналу параболондының теңдеуі
болады.
18-мәселе
.
нүктесін өтетін
өсімен және жанасу нүктесінен радиус-вектормен тең бүйірлі үш бұрыш жасайтын қисық
сызықты табу керек. (9- сурет)
Шешуі.
Айталық,
-
ізделінді қисық сызық теңдеуі болсын.
кез келген нүктеден қисыққа
жанама өткізсек, бұл жаңа
өсін
нүктеде қияды. Берілген шарт 9- сурет
бойынша
Бірақ
ал
ді жанама теңдеуінен яғни
бір текті теңдеуге ие боламыз.
алмастыруынан және ажыратылатын теңдеуге келтіріп табамыз:
немесе
![]()
параболалар әулетіне ие боламыз.
нүктенің координаттарын қойып
шешім жарайды, өйткені
болғанда парабола
өсіне айналады. Ізделінді қисық парабола болып оның теңдеуі
немесе
4 § Сызықтық теңдеулер
Ізделінді
функциясы және оның туындысы арқылы сызықты болатын,
(9)
теңдеуі бірінші ретті сызықты дифференциалдық теңдеу деп аталады. Мұндағы
кесіндісінде үзіліссіз функциялар. Егер
болса
(10)
бір текті сызықты дифференциалдық теңдеу, ол
болса, біртекті емес дифференциалдық теңдеу деп аталады.
Теорема.
Егер
кесіндісінде
үзіліссіз болса, онда осы кесіндіде (9) теңдеудің
үшін,
- бастапқы шартты қанағаттандыратын жалгғыз ғана шешімі болады.
Бұл теореманың дәлелдеуін келтірместен бұрын, бірінші ретті (9) сызықты дифференциалдық теңдеуді интегралдаудың тәсілдерінің кейбіреулеріне тоқталайық.
1
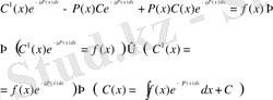
Айнымалыларды алмастыру (Бернулли) тәсілі.
Бұл тәсіл бойынша (9) теңдеудің шешімін
(11)
түрінде іздейміз. Мұндағы
интервалында үзіліссіз дифференциалданатын функциялар. Онда (10) теңдіктің туындысы
болады да, (9) теңдеу
(12)
түрін қабылдайды.
Демек,
функциясы үшін (10) біртекті диффеенциалдық теңдеудің жалпы шешімін алуға болады. Ендеше (12) теңдіктегі квадрат жақша ішіндегі
(13)
айнымалылары ажыратылатын теңдеу. Сондықтан,
(14)
Мұндағы
интегралдық тұрақты. Енді (13) және (14) теңдіктерді ескере отырып, (12) дифференциалдық теңдеуді шешеміз:
(15)
Мұндағы
тағы да интегралдық тұрақты. Сонымен, (15) және (14) теңдіктерді (11) теңдігіне қою арқылы, берілген (9) бірінші ретті сызықты дифференциалдық теңдеудің жалпы шешімін (интегралын) аламыз.
Ал
көбейтіндісі тұрақты кейбір сан болғандықтан оны бір тұрақтымен алмастыруға болады. Ендеше, іздестіріліп отырған шешім
(16)
өрнегімен анықталады.
19-мысал
теңдеуін шешейік.
Шешуі.
Келтірілген тәсіл бойынша
,
болғандықтан, берілген теңдеу
түріне көшеді. Онда (12) - (16) өрнектерді қолдану арқылы
онда (11) бойынша
берілген теңдеудің жалпы шешімін (интегралын) аламыз.
2
Ерікті тұрақтыны вариациялау (Лагранж) тәсілі.
Бұл тәсі бойынша алдымен (9) теңдеуді, айнымалалары ажыратылатын біртекті теңдеуді шешуден бастаймыз:
(17)
Мұндағы
-
ерікті интегралдық тұрақты. Енді тұрақтыны вариациялау тәсілі бойынша берілген біртекті емес (9) сызықты дифференциалдық теңдеудің жалпы шешімін, (17) теңдіктегі
-
ерікті тұрақтыны
дифференциалданатын функция ретінде қарастырып қоямыз:
(18)
Енді (18) -
мәнін (17) теңдікке қою арқылы
(19)
Жоғарыдағы алынған (19) -берілген (9) теңдеудің жалпы шешімін аламыз.
20-мысал.
дифференциалдық теңдеудің
бастапқы
шарты қанағаттандыратын шешімін табайық.
Шешуі. Алдымен
біртекті теңдеуді шешеміз:
Енді соңғы тәсіл бойынша,
дифференциалданатын функция ретінде қарастырып,
және
өрнектерін берілген дифференциалдық теңдеуге қою арқылы:
Табылған
өрнегін
теңдігіне қою арқылы,
берілген теңдеудің жалпы шешімін аламыз.
Келесі қадам
бастапқы шартты қолдану арқылы ерікті тұрақтыны анықтаймыз
. Демек, берілген теңдеудің, берілген бастапқы шартты қанағаттандыратын шешімі
болып шығады.
Демеушілік көбейткіш тәсілі.
Сызықты бір текті емес (9) дифференциалдық теңдеуге арналған
функциясын қарастырайық. Берілген (9) теңдеудің екі жағында оған көбейткенде
еңдігінің сол жағындағы өрнек, көбейтінді
функциясының туындысы болатындай, яғни
теңдігі орындалатындай
функциясын іздейміз. Осы теңдіктен,
болғандықтан,
(20)
функциясын аламыз.
Демек, іздеп отырған
функциясы табылды. Ендеше,
және
теңдіктерін пайдаланып, (19?) -ке сәйкес.
берілген (9?) теңдеудің жалпы - «үйреншікті» шешімін аламыз.
Ал табылған
функциясы сызықты дифференциалдық теңдеуге теңдеуге арналған
демеушілік көбейткіш
деп аталады.
21-мысал . Демеушілік көбейткіш тәсілімен
![]()
![]()
дифференциалдық теңдеуінің
бастапқы шартты қанағаттандыратындай дербес шешімін табайық.
Шешуі.
Берілген теңдеуде
болғандықтан, демеушілік көбейткіш
болады.
Ендеше, берілген екі теңдіктің екі жағында осы функцияға көбейтеміз,
Енді берілген бастапқы шартты пайдаланамыз.
Берілген Коши есебінің шешімін аламыз.
Ескерту
.
Кей кездері берілген теңдеу
функциясына байланысты сызықты дифференциалдық теңдеу, яғни
(21)
түрін қабылдайды. Бұл кезде, теңдеудің шешімін Бернулли тәсілі бойынша
ол демеушілік көбейткіш
түрін ізделінеді.
22-мысал .
теңдеуін шешейік.
Шешуі. Берілген теңдеуді түрлендірейік,
- Іс жүргізу
- Автоматтандыру, Техника
- Алғашқы әскери дайындық
- Астрономия
- Ауыл шаруашылығы
- Банк ісі
- Бизнесті бағалау
- Биология
- Бухгалтерлік іс
- Валеология
- Ветеринария
- География
- Геология, Геофизика, Геодезия
- Дін
- Ет, сүт, шарап өнімдері
- Жалпы тарих
- Жер кадастрі, Жылжымайтын мүлік
- Журналистика
- Информатика
- Кеден ісі
- Маркетинг
- Математика, Геометрия
- Медицина
- Мемлекеттік басқару
- Менеджмент
- Мұнай, Газ
- Мұрағат ісі
- Мәдениеттану
- ОБЖ (Основы безопасности жизнедеятельности)
- Педагогика
- Полиграфия
- Психология
- Салық
- Саясаттану
- Сақтандыру
- Сертификаттау, стандарттау
- Социология, Демография
- Спорт
- Статистика
- Тілтану, Филология
- Тарихи тұлғалар
- Тау-кен ісі
- Транспорт
- Туризм
- Физика
- Философия
- Халықаралық қатынастар
- Химия
- Экология, Қоршаған ортаны қорғау
- Экономика
- Экономикалық география
- Электротехника
- Қазақстан тарихы
- Қаржы
- Құрылыс
- Құқық, Криминалистика
- Әдебиет
- Өнер, музыка
- Өнеркәсіп, Өндіріс
Қазақ тілінде жазылған рефераттар, курстық жұмыстар, дипломдық жұмыстар бойынша біздің қор #1 болып табылады.

Ақпарат
Қосымша
Email: info@stud.kz