Механикалық қозғалыс. Кинематика


Механика
§1. Механикалық қозғалыс
Материялық дүниеде болатын кез келген өзгерісті, материялық денелердің кез келген өзара әрекетін қозғалыс деп атайды. Материяның ең қарапайым қозғалыс формасы - механикалық, қозғалыс. Механикалық қозғалыс деп дененің басқа денелермен салыстырғаңдағы орын ауыстыруын атайды.
Кинематика
Дене қозғалысының өзгеру себептерін есепке алмай, қозғалысты қарастыратын механика бөлімі кинематика деп аталады.
Материялық нүкте
Егер қозғалған дененің өлшемі оның жүрген жолынан көп кем болса, онда дене қозғалысын нүктенің қозғалысы ретінде қарастыруға болады.
Мұндай жағдайларда қозғалған денені материялық нүкте деп атайды.
Қозғалыс траекториясы. Жол
Қозғалған материялық нүктенің кеңістіктегі болған нүктелер жиынтығын құрастыратын сызықты траектория : деп атайды. Траектория ұзындығы S жол деп аталады.
Орын ауыстыру
Траекторияның бастапқы және соңғы нүктелерін қосатын вектор
Қисық сызықты қозғалыста орын ауыстырудың модулі
2. 1-сурет
Материялық нүктенің қозғалысын сипаттау үшін, уақыттың әрбір мезетінде оның кеңістіктегі орны көрсетілуі керек.
Координаталар. Санақ денесі.
Координаталар жүйесі
Нүктенің кеңістіктегі орны оның координаталарымен анықталады. Нүктенің координаталарын анықтау үшін алдымен санақ денесі таңдап алынады, одан кейін осы денемен координаталар жүйесін байланыстырады.
Санақ жүйесі
Санақ денесі, онымен байланысқан координаталар жүйесі және бастапқы мезеті көрсетілген уақыт санауы санақ жүйесін кұрастырады.
Механикалық қозғалыстың салыстырмалылығы
Қозғалыс траекториясы, жүрілген жол және орын ауыстыру санақ жүйе тандалуына тәуелді. Басқаша айтқанда, механикалық қозғалыс - салыстырмалы ұғым.
Мысалы, Күннің орны қайда және ол қалайша қозғалады деген сұраққа әр түрлі жауаптар беруге болады.
Егер санақ жүйесін алыс галактикалармен байланыстырсақ (2. 2-сурет), Күн біздің Құс жолы галактиканың орталығын 3 • 10 20 м қашықтықта 250 км/с жылдамдықпен 200 миллион жылда бір рет айналады.
2. 2-сурет
Санақ денесі ретінде Жерді таңдап алып, координаталар жүйесінің бастапқы нүктесін Жер бетінде орналастырайық. Бұл санақ жүйесінде Күн орталығы Жерде орналасқан радиусы 150 миллион километр шеңберді 1 км/с жылдамдықпен тәулігіне бір рет айналады.
Соңында Күнді санақ денесі ретінде таңдап алып, өзімен координаталар жүйесін байланыстырайық. Бұл санақ жүйесінде Күн қозғалмайды, ал Жер оны радиусы 150 миллион километр шеңбер бойымен 30 км/с жылдамдықпен айналады (2. 3-сурет) .
2. 3-сурет
Күннің қозғалысы туралы берілген үш жауаптың қайсысы дұрыс? Дене қозғалысының кинематикалық суреттемесін беру үшін, барлық санақ жүйелерін тең түрде қабылдауға болады және әрбір суреттеменің нәтижелері тиісті санақ жүйелерінде дұрыс деу керек.
Координаталар, орын ауыстыру, қозғалыс траекториясы, жылдамдық- салыстырмалы ұғымдар. Денелердің абсолют координаталары, жылдамдықтары болмайды, олар санақ денесін, санақ жүйесін тандаумен байланысты.
Механикалық қозғалыс - салыстырмалы ұғым.
§2. Жылдамдық
Көп жағдайда дененің кез келген уақыт мезетінде қай жерде орналасуымен қатар, ол қалайша қозғалатынын білу қажет. Қозғалыс процесінің сандық сипаттамасы ретінде қозғалыс жылдамдығы деген ұғым енгізіледі.
Бір қалыпты қозғалыс және оның жылдамдығы
Егер қозғалған дене әрбір бірдей уақыт аралығында бірдей жол жүрсе, бұл қозғалысты бір қалыпты қозғалыс деп атайды. Бір қалыпты қозғалыс болғанда, жүрген S жолдың t уақыт аралығына қатынасы тұрақты шама болады. Бұл қатынас бір қалыпты қозғалыстың жылдамдығы деп аталады.
(2. 1) .
Дененің бастапқы уақыт t = 0 мезетіндегі кеңістіктегі орны, қозғалыс траекториясы және V жылдамдығы белгілі болса, онда бір қалыпты қозғалған дененің басқа да кез келген уақыт мезетіндегі координаталарын білуге болады. Дененің жылдамдығын жүрген уақытына көбейтсек, жүрген жолы S табылады:
S= v ∙ t (2. 2) .
Бастапқы А нүктеден траектория бойымен жүрген S жолды санап, нүктенің жаңа t уақыт мезетіндегі В нүктедегі орнын анықтаймыз.
Мысалы, тұрақты v жылдамдықпен қозғалған автомобиль тандап алған ABC маршрутпен t уақыт жүргенде, қай жерге жететінін картаны пайдаланып анықтауға болады (2. 4-сурет) .
2. 4-сурет
Егер дене түзу сызықпен бір қалыпты қозғалса, онда координата өсін қозғалыс бағытымен сәйкестендіріп, дененің кеңістіктегі орнын бір мәнді түрде, бір ғана координата анықтайтындай жағдай туындайды. Онда t yaқыт аралықтағы координатаның өзгерісі
(2. 3),
ал әлдебір t уақыт мезетіндегі координата х:
(2. 4),
тендеу арқылы табылады. Мұндағы х 0 - бастапқы t= 0 уақыт мезетіндегі дененің бастапқы координатасы (2. 5-сурет) .
2. 5-сурет
Erep Ox ось бағыты қозғалыс бағытына кері болса (2. 6-сурет) онда t мезетте х координатасы:
(2. 5),
2. 6 - сурет
Бір қалыпты қозғалған дененің қозғалыс графигі
Төмендегі 2. 7-суретте бір қалыпты
2. 7 - сурет.
График 1. Бастапқы координатасы х 0 , нүкте
График 2. Бастапқы координатасы х 0 , дене координата осіне қарсы бағытта қозғалады.
График 3. Бастапқы координатасы х 0 = 0, дене координата осі бағыты бойымен қозғалады.
Бір қалыпты емес қозғалыс
Нақты жағдайларда денелердің қозғалысы ешқашан дәлме-дәл бір қалыпты болмайды. Дене бірдей уақыт аралықтарында әр түрлі жол ететін болған қозғалысты бір қалыпты емес қозғалыс деп атайды.
Бір қалыпты емес қозғалыс жолдық
Орташа жылдамдық
Дененің S жүрген жолының осы жолды жүрген t уақыт аралығына қатынасын орташа жолдық жылдамдық деп атайды.
(2. 6) .
S жол және t уақыт - скалярлық шамалар, сондықтан орташа жылдамдық
Лездік жылдамдық
Материялық нүктенің t уақыт мезеті маңайында аз ғана
( 2. 7) .
Орын ауыстыру
Лездік жылдамдық векторының бағыты
Барлық жағдайда лездік жылдамдық векторы
2. 8-сурет
Жылдамдықтың өлшем бірлігі
Халықаралық жүйеде қашықтықтың өлшем бірлігі - метр, уақыттың өлшем бірлігі - секунд, сондықтан жылдамдықтың өлшем бірлігі - секундына метр:
1 м/с = 1м/1с.
Жылдамдықтың және бір қалыпты қозғалыс жолының графиктері
Бір қалыпты қозғалыс болғанда,
2. 9-сурет
Бір қалыпты қозғалыс болғанда, S жылдамдықтың t уақыттан тәуелділігін бастапқы нүктеден өтетін түзу бейнелейді (2. 10-сурет) . Бұл графикте S ординатасының t абсциссаға қатынасы
2. 10-сурет
§3. Үдеу
Егер уақыт өте қозғалған дененің лездік жылдамдығының модулі немесе бағыты өзгеретін болса, онда дененің қозғалысын толық сипаттау үшін дененің жылдамдығы уақыт бойынша қалай өзгеретінін білу қажет.
Үдеу
Физикада дене жылдамдығының өзгерісін сипаттау үшін үдеу ұғымын енгізеді.
Өте аз (
(3. 1) .
Үдеу - векторлық шама. Үдеудің өлшем бірлігі -м/с 2 (3. 1) :
Түзу сызықты қозғалған дененің жылдамдығы өскенде, жылдамдық өсімшесінің
Егер түзу сызықты қозғалған дененің жылдамдығы кемісе (
Қисық сызықты қозғалыс болғанда, үдеу

Бір қалыпты үдемелі қозғалыс
Үдеудің модулі және бағыты өзгермейтін қозғалыс бір қалыпты үдемелі деп аталады.
(3. 2) .
§4. Бір қалыпты үдемелі түзу сызықты қозғалыс
Әрбір бір қалыпты үдемелі қозғалысты тиісті санақ жүйесін таңдау арқылы бір қалыпты үдемелі түзу сызықты қозғалыс ретінде қарастыруға болады.
Мысалы, h биіктіктен
2. 11-сурет
Егер қозғалысты Жермен салыстырғанд
2. 12-сурет
Бір қалыпты үдемелі түзу сызықты қозғалыстың жылдамдығы
Бір қалыпты үдеумен (
(4. 1),
қатынас тек қана өте аз уақыт аралықтары емес, қандай да уақыт аралықтары үшін де орындалады. Бір қалыпты үдемелі түзу сызықты қозғалыс үшін жылдамдық
(4. 2),
және
(4. 3),
онда (4. 1), (4. 2), (4. 3) -тен
(4. 4),
(4. 5),
Үдемелі түзу сызықты қозғалыста
(4. 6),
формула бойынша саналады.
Егер
(4. 7),
формула арқылы есептеледі. Бұл жағдайда
уақыт мезеттерінде

Егер бастапқы жылдамдық
(4 8),
Бір қалыпты үдемелі түзу сызықты қозғалыс жылдамдығының графигі
Бастапқы жылдамдығы жоқ (
2. 13-сурет
Егер бастапқы жылдамдығы
Екі жағдай:
а)
ә)
2. 14-сурет
Бір қалыпты емес үдемелі қозғалыстың мысалы ретінде денелердің Жерге құлау қозғалысын келтіруге болады. Тәжірибелердің көрсетуінше, ауада құлаған денелердің қозғалысы бір қалыпты үдемелі емес, әр түрлі денелердің жылдамдығы уақыт бойынша әр түрлі өзгереді.
Қорғасынның кесегін, тығынды, қауырсынды ауа толтырылған шыны түтікке орналастырып тез төңкерсек, олар түтіктің түбіне әр уақытта, алдымен қорғасынның кесегі, одан кейін тығын және көп кешігіп қауырсын, жетеді.
Егерде түтіктегі ауаны алдын ала сорғымен сорып алсақ, онда вакуумда үш дене де түтік түбіне бірге жетеді (2. 15-сурет) .
2. 15-сурет
Еркін түсу
Бос кеңістікте (вакуумда) түсу еркін түсу деп аталады.
Еркін түсу үдеуі
Еркін құлаған денелердің үдеулері бірдей. Бос кеңістікте Жерге құлаған денелердің үдеуі еркін түсу үдеуі деп аталады. Оны g әрпімен белгілейді.
Еркін түсу үдеуін Жер бетінің әр түрлі нүктелерінде жуықтап санағанда бірдей деуге болады g
Егер есептеулерде үлкен дәлдік қажет болмаса, Жер бетіндегі еркін түсу үдеуін 10 м/с 2 деп алады.
§5. Бір қалыпты үдемелі түзу сызықты қозғалыста болған дененің жүрген жолы
Бір қалыпты айнымалы түзу сызықты қозғалыс практикада жиі кездеседі. Мысалы, тыныштық қалпынан қозғала бастаған пойыз, автокөлік, ұшақ қозғалыстарын әжептәуір дәлдікпен осындай қозғалысқа жатқызуға болады.
Жылдамдық графигінен жүрген жолды анықтау
Бір қадыпты қозғалған дененің
2. 16-сурет
Бір қальшты қозғалған дененің жүрген жолы ОАВС тікбұрыш ауданына тең:
(5. 1)
және бұл (2. 2) теңдеуге сәйкес.
Бір қалыпты үдемелі түзу сызықты қозғалыста болған дененің
2. 17-сурет
ОАВD трапецияның ауданы OACD тікбұрыштың және ABC үшбұрыштьщ аудандарының қосындысына тең (2. 18-сурет) :
2. 18-сурет
Сонымен t - уақыттадененің жүрген S жолы анықталады:
(5. 2),
Егер бір қалыпты кемімелі түзу сызықты қозғалыста
2. 19-сурет
Онда жүрген жол ОАВС трапецияның ауданына тең:
(5. 3) .
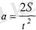
Бастапқы жылдамдығы нөлге тең бір қалыпты үдемелі түзу сызықты қозғалыс болғанда жод жылдамдық және үдеу арасындағы байланыс
Егер
(5. 4) .
Ал (5. 4) және (4. 8) формулалардан:
(5. 5) .
(5. 6) .
(5. 7) .
және (5. 4) формуладан
(5. 8) .
§6. Дененің шеңбер бойымен бір қалыпты қозғалысы
Дененің шеңбер бойымен модулі тұрақты жылдамдықпен қозғалуын табиғатта және техникада жиі кездестіруге болады. Мысалы, Айдың Жерді, Жердің Күнді айналуын әлдебір дәлдікпен осы қозғалыс түріне жатқызуға болады.
Материялық нүкте шеңбер бойымен бір қалыпты қозғалғанда,
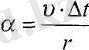
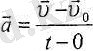
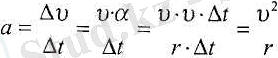
Центрге тартқыш үдеу
Жылдамдық векторының модулі уақыттан тәуелсіз болғандықган, әрбір уақыт мезетінде үдеу векгоры
2. 20-сурет
Центрге тартқыш үдеудің модулін анықтайық. Ол үшін жылдамдық векторы модулі AV өзгерісінің осы өзгеріс болған кішігірім
(6. 1) .
2. 21-сурет
А және В нүктелердегі жылдамдық векторлары арасындағы бұрыш А және В нүктелерді шеңбердің центрімен қосатын радиустар арасындағы
(6. 2) .
(6. 1) және (6. 2) формулаларын пайдаланып, бір қалыпты шеңберлі қозғалыстың центрге тартқыш үдеуін анықтаймыз:
(6. 3) .
Дене шеңбер бойымен бір қалыпты қозғалғанда, оның центрге тартқыш үдеуінің модулі өзгермейді, ал үдеудің бағыты үздіксіз өзгереді. Сондықтан бір қалыпты шеңберлі қозғалыс бір қалыпты айнымалы қозғалыс емес, оның үдеуі үздіксіз бағытын өзгертеді.
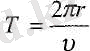
Период және жиілік
Дененің шеңберді бір рет айналып ететін уақыт аралығын айналу периоды деп атайды және Т әрпімен белгілейді. Радиусы r шеңберде
(6. 4) .
Периодқа кері шама айналу жиілігі деп аталады және
(6. 5) .
(6. 3), (6. 4), (6. 5) формулалардан
(6. 6) .
(6. 7) .
§7. Жылдамдықтардың қосылуы
Жылдамдықтардың классикалық қосылу заңы
Дене қозғалысының траекториясы, жолы және жылдамдығы - салыстырмалы шамалар, олар санақ жүйесін таңдауға тәуелді. Біраз практикалық есептерде бір дененің әр түрлі санақ жүйелеріндегі жылдамдықтарының байланысын білу қажет.
Егер дене бірінші санақ жүйесінде
(7. 1) .
Бұл заң жылдамдықтардың классикалық қосылу заңы деп аталады. Мысалы, Жермен салыстырғанда
2. 22-сурет
Ал дененің үдеуі, жылдамдықтан айрықша, өзара тұрақты жылдамдықпен қозғалған барлық санақ жүйелерінде бірдей болады.
Жылдамдықтардың классикалық қосылу заңын пайдалануының шектелуі
Жылдамдыктардың классикалық қосылу заңын қолдану ауқымы шектелген. Бұл заң
с
Автокөлік, пойыз, ұшақ және ғарыш зымыраны, планеталар және жасанды Жер серіктерінің Жермен салыстырған жылдамдықтары жарық жылдамдығынан кем. Сондықтан олардың қозғалыстарын Жермен байланысты немесе Жермен салыстырғанда,
§8. Ньютонның бірінші заңы Динамика
Егер дененің жылдамдығы және үдеуі уақыт өте қалай өзгеретіні белгілі болса, кинематика заңдарын пайдалану негізінде дене қозғалысын толық суреттеуге болады. Егер үдеудің уақыт бойынша өзгеру заңы белгілі болса, онда жылдамдықтың уақыттан тәуелділігі анықталады. Алайда, дененің үдеуін тек қана басқа денелермен өзара әрекетін қарастыру арқылы ғана анықтауға болады.
Денелердің өзара әрекетін зерттейтін механика бөлімін динамика деп атайды.
Төңірегіміздегі денелер қозғалысын байқасақ, көбінесе денелер қозғалыста болу үшін оларға баска денелер әсер етіп отыру керек. Автокөлік моторын сөндірсе, аз уақыттан соң тоқтайды, допты соқса, ол да біраз домалап, тоқтайды.
Бірақ итальян ғалымы Галилео Галилей денелер қозғалысын байқаудан принципті жаңа тұжырым жасады. Ол қозғалған денелер жылдамдықтарының өзгерісі әр түрлі жағдайда түрліше өзгеретініне көңіл аударды. Бірдей бастапқы жылдамдығы бар тас, құммен салыстырғанда, мұз бетінде тоқтағанша көбірек сырғанайды. Осындай байқаулар нәтижесінде Галилей мынадай тұжырымға келді: әрбір дененің жылдамдығы тек қана басқа денелермен өзара әрекеті нәтижесінде ғана өзгереді.
Инерция заңы
1632 жылы Галилей инерция заңын тұжырымдады: егер денеге басқа денелер әсер етпесе, немесе олардың әсерлері бір-бірін теңестірсе, онда денетыныштық күйін, немесе бір қалыпты түзу сызықты қозғалыс күйін, сақтайды.
Ньютонның бірінші заңы
Ұлы ағылшын ғалымы Исаак Ньютон инерция заңын механиканың негізгі заңдарының қатарына енгізді, сондықтан инерция заңын Ньютонның бірінші заңы, немесе механиканың бірінші заңы, деп атайды.
Инерция
... жалғасы- Іс жүргізу
- Автоматтандыру, Техника
- Алғашқы әскери дайындық
- Астрономия
- Ауыл шаруашылығы
- Банк ісі
- Бизнесті бағалау
- Биология
- Бухгалтерлік іс
- Валеология
- Ветеринария
- География
- Геология, Геофизика, Геодезия
- Дін
- Ет, сүт, шарап өнімдері
- Жалпы тарих
- Жер кадастрі, Жылжымайтын мүлік
- Журналистика
- Информатика
- Кеден ісі
- Маркетинг
- Математика, Геометрия
- Медицина
- Мемлекеттік басқару
- Менеджмент
- Мұнай, Газ
- Мұрағат ісі
- Мәдениеттану
- ОБЖ (Основы безопасности жизнедеятельности)
- Педагогика
- Полиграфия
- Психология
- Салық
- Саясаттану
- Сақтандыру
- Сертификаттау, стандарттау
- Социология, Демография
- Спорт
- Статистика
- Тілтану, Филология
- Тарихи тұлғалар
- Тау-кен ісі
- Транспорт
- Туризм
- Физика
- Философия
- Халықаралық қатынастар
- Химия
- Экология, Қоршаған ортаны қорғау
- Экономика
- Экономикалық география
- Электротехника
- Қазақстан тарихы
- Қаржы
- Құрылыс
- Құқық, Криминалистика
- Әдебиет
- Өнер, музыка
- Өнеркәсіп, Өндіріс
Қазақ тілінде жазылған рефераттар, курстық жұмыстар, дипломдық жұмыстар бойынша біздің қор #1 болып табылады.

Ақпарат
Қосымша
Email: info@stud.kz