Тасымалдаудағы тиімділіктерді негіздеу


Мазмұны
Кіріспе . .
- Тасымалдаудағы тиімділіктерді негіздеу. . Берілген жүк тасымалдау бағытын жасау және негіздеу. . Жүк тасымалдауға жылжымалы құрам таңдау. .
II. Жылжымалы құрам тиімділігін есептеу
2. 1. Есептеу әдістемесі және критерилерді таңдау.
2. 2. Жылжымалы құрам түрімен жүк тасымалдау шығындарын
анықтау . . . . .
2. 3. Темір жол мен жүк иелерінің пайдасын анықтау. .
III. Көлік обьектілерінің жұмысын ұйымдастыру
3. 1 Станция арқылы өңдеусіз өтетін транзиттік поездарды өңдеу
технологиясы . . .
3. 2. Поездарды станцияға келген бойда өңдеу . . .
3. 3. Поезд құрамын тарату мен жинақтау бойынша маневрлік
жұмыстарды ұйымдастыру . . .
3. 4. Жинақталған құрамды жөнелтуге дайындау . . .
Қорытынды . . .
Қолданылған әдебиеттер тізімі
КІРІСПЕ
Қазақстан Республикасының 2000 - 2030 жылдарға арналған экономикалық және әлеуметтік дамуының негізгі бағыттарында көлікті дамыту мен оның жұмыс істеу тиімділігін арттыру бойынша үлкен және маңызды міндеттер қойылған. Осы мәселелерді шешуде еліміздегі барлық жүк тасымалының 2/3 -не жуығын тасымалдайтын темір жол көлігінің орны ерекше. Осы кезең аралығында жүктердің барлық түрлерінің, соның ішінде отын тасымалының көлемі күрт өседі. Мысалы, тас көмір тасымалының көлемі 650 - 700 млн. тонна, ал мұнай өнімдерінің тасымалы 350 - 400 млн. тонна деңгейіне дейін жетеді.
Темір жол станциясы - тасымалдау процесінің шешуші буыны. Осы жерде бұл тасымалдау процесі басталып, осында аяқталады, вагон ағындары өңделеді және станцияның қалай жұмыс істейтіндігіне байланысты вагонның айналу уақыты өзгереді де, тасмал жоспарының орындалу немесе орындалмауы да осыған тәуелді болады. Ал станцияның өзінің жұмыс көрсеткіші оның техникалық жарақтандырылу дәрежесіне технологияның жетілдіруіне, мамандардың біліктілігіне, ұжымдағы еңбек тәртібінің сақталуына, ауысым бөлімшелерінің арасындағы тығыз, өзара байланысқа, еңбекті ұйымдастыру мен басқару деңгейіне байланысты болады.
Станцияның жұмысты ұйымдастыру технологиясы - тасымалдау көлемін жемісті орындаудың, олардың өзіндік құнының төмендеуінің, вагондардың айналымының өсуінің, еңбек өнімділігінің жоғарылауының кепілі.
Бағдарламаның бағыттарының бірі - бұл, мақсаты техникалық құралдарды пайдалану мен жөндеу сапасын жақсартып, олардың техникалық жағдайының деңгейін арттыра отырып, еңбек, отын - энергетикалық және материалдық ресурстарды үнемдеу болып табылатын ресурс үнемдеу технологиясына өту.
Сонымен қатар темір жол көлігінің экологиялық қауіпсіздігін қамтамасыз ету үшін жұмыс істеу ортасына, атмосфералық ауаға, су ресурстарына және топыраққа кері әсерін төмендету қажет.
Диспетчерлік орталықтандыруды өндіріске енгізу станциялар бойынша кезекшілер штатын қысқартуға алып келіп, шығындарды төмендетуге мүмкіндік береді. Қазіргі кезде диспетчерлердің жұмысына ғылыми, эргономикалық жағынан негізделген шешім қолданылып, диспетчерлік шеңберлердің санын азайту бойынша жұмыстар жүргізілуде. Бірақ диспетчерлік шеңберлердің жұмысын қайта құру барысында поездардың қозғалысына тұрақты бақылау жасау қажеттігін естен шығармау керек, ал диспетчерлік орталықтандыру енгізілген учаскелерде поездық диспетчердің нервтік - психологиялық жұмыстары артады. Әсіресе, жылдам қозғалысқа арналған жол бөліктері мен поездардың көпшілік жүрісі орын алатын жол бөліктерінде диспетчер жұмысы күрт қиындайды. Жол бөлігіндегі қалыпты жұмыстан ауытқулар да диспетчер жұмысын қиындатады. Мысалы, диспетчерлік орталықтандыру құралдарындағы ақаулар, жол жабдықтарындағы ақаулар, байланыс жүйелеріндегі ауытқулар, жол аралығындағы поездың тұрып қалуы (әсіресе, бір жолды желілерде), энергиямен қамтамасыз ету жүйесіндегі ажыратылу, поездың қозғалыс кестесінен шығып қалуы.
Тасымалдау процесінің қауіпсіздігін қамтамасыз етуге бағытталған көліктің барлық бөлімдерінің өндірістік іс әрекеті темір жол көлігінің пайдалану жұмысы деп аталады.
Темір жолдың пайдалану жұмысының негізгі принциптері:
Қозғалыс қауіпсіздігін қатаң сақтау; ережелер мен нұсқаулардың талаптарын мүлтіксіз орындау; станцияның, бөлімшенің, бағыттардың жұмыстарының технологиялық процестерін мүлтіксіз сақтау арқылы қамтамасыз етілетін темір жол көлігінің техникалық құралдарын пайдаланудың жоғарғы көрсеткіштерін қамтамасыз ету; көліктің барлық буындарының жұмыстарына жаңа технологияларды енгізу және қолданылып жүргендерін жетілдіру.
I. Тасымалдаудағы тиімділіктерді негіздеу.
- Берілген жүк тасымалдау бағытын
жасау және негіздеу.
Курстық жұмыс тапсырмасы бойынша Қостанай-Тараз бағытында бидай тасымалдау қажет.
Ол үшін, ең алдымен осы бағыттағы нұсқасын таңдап аламыз:
Жүктерді тасымалдау үшін екі нұсқада жүргізіледі. Сонда уақыт шығыны, энергия шығыны және де төлем ставкаларын азайту жолдары қарастырылады. Жүктерді жылжымалы құраммен тасымалдау бойынша Қостанай-Тараз тасымалдау бағытының І-нұсқасы бойынша төмендегідей станциялар арақашықтығы көрсетілген.
Бағыт нұсқасы:
- Қостанай-Тобыл (96км)
- Тобыл-Құсмұрын (148км)
- Құсмұрын-Есіл (140км)
- Есіл-Атбасар (147км)
- Атбасар-Астана (229км)
- Астана-Қарағанды (209км)
- Қарағанды-Жарық (121км)
- Жарық-Агадырь (78км)
- Агадырь-Мойынты (137км)
- Мойынты-Сарышаған (126км)
- Сарышаған-Шығанақ (140км)
- Шығанақ-Хантау (108км)
- Хантау-Шу (72км)
- Шу-Луговая (115км)
- Луговая-Тараз (118км)
Қостанай-Тараз бағыты 1984км. (І-нұсқа)
ЖҮКТІ ТАСЫМЫЛДАУДЫҢ БЕРІЛГЕН СХЕМАСЫ
Қостанай-Тараз бағыты бойынша
I-нұсқа
Жүктерді тасымалдау үшін екінші нұсқасын қарастырамыз.
Бағыт нұсқасы:
- Қостанай-Садыркуль (223км)
- Садыркуль-Көкшетау (188км)
- Көкшетау-Буровое (70км)
- Буровое-Макинка (38км)
- Макинка-Ак-куль (83км)
- Ак-куль-Шортанды (38км)
- Шортанды-Астана (67км)
- Астана-Қарағанды (197км)
- Қарағанды-Жарық (121км)
- Жарық-Агадырь (78км)
- Агадырь-Мойынты (137км)
- Мойынты-Сарышаған (126км)
- Сарышаған-Шығанақ (140км)
- Шығанақ-Хантау (108км)
- Хантау-Шу (72км)
- Шу-Луговая (115км)
- Луговая-Тараз (118км)
Қостанай-Тараз бағыты - 1931 км. (ІІ-нұсқа)
ЖҮКТІ ТАСЫМЫЛДАУДЫҢ БЕРІЛГЕН СХЕМАСЫ
Қостанай-Тараз бағыты бойынша
II -нұсқа
Тапсырманы жеңілдету мақсатында маршруттың жол бойындағы ірі станциялар таңдап алынды.
Енді әр жүк тасымалдау бағыты үшін жүкті жеткізу уақытын келесі формула бойынша есептейміз.
(күн) (1. 1. )
Мұндағы:
t н. к. -желу және жөнелту операцияларына жұмсалған уақыт [1 күн] ;
V-жүктерді тасымалдау ережесімен бекітілген жылдамдық [
]
t қос -қосымша операцияларға жұмсалған уақыт [2 күн]
L-стансааралық қашықтық [км]
Демек, тасымалдау уақыты (күні) аз нұсқаны тиімді деп таңдап, кейінгі есептеулерді тек осы нұсқа бойынша жүргіземіз .
1. 2. Жүкті тасымалдауға жылжымалы құрам таңдау
Берілген тапсырма бойынша тасымалданатын жүк түрі бидай болғандықтан сол себепті арнайы жабық вагонмен тасымалдау қарастырылған. Төмендегі 1. 2. 1- кестеде арнайы жабық вагон параметрлері көрсетілген.
1. 2. 1- кесте
Жоғарғы кестеде көрсетілген арнайы жабық вагон параметрлері бойынша жылжымалы құрамдардың өнімділік және тиімділік сипаттамаларын анықтаймыз.
Сатикалық жүктелу келесі түрде есептеледі;
Р ст = q гр · V погр. , т (1. 2)
Мұндағы: q гр - вагондардың тиеу мөлшерінпайдалану коэфф.
(q гр = 0, 65 ÷ 0, 95)
V погр . - вагон көлемі, м 3 .
Вагон тарасының коэффициенті;
t =
(1, 3)
мұндағы: q т - вагон тарасының массасы, т;
р гр - жүк көтергіштігі, т.
арнайы жабық вагон үшін:
Тәуліктік жүк ағыны:
Q
тәул
=
, т/тәул. (1, 4)
мұндағы: Q жыл - жылдық жүк айналымы, т;
η н - бірқалыпсыздық коэффициенті
(η н =1, 1-1, 3)
т/тәул
Тәулік вагон ағыны келесі түрде анықталады:
N
тәул
=
, ваг/тәул (1, 5)
мұнда
арнайы жабық вагон үшін:
ваг/тәул
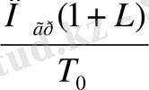
Вагон айналымы;
Т
0
=
тәул. (1, 6)
Мұндағы; П гр - вагонның жүкпен жүрген жолы, км (П гр = L = 1036 км)
α - жүрістегі бос тұру коэффициенті
(α = 0, 1 - 0, 4)
V м - маршруттың жылдамдық, км/сағ.
(V м = 35 км/сағ)
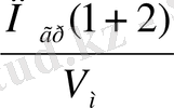
Вагондардың өнімділігі;
β
=
т* км*нетто/вагон (1. 7)
мұндағы: S в - вагондардың орташа тәулік жүрген жолы.
S
в
=
км (1. 8)
Есептеу нәтижелері 1. 2. 2 -кестеге енгізілген.
1. 2. 2-кесте
72, 15;
105, 45;
1, 5
1, 02
т. км
нетто/ваг.
II. Жылжымалы құрам тиімділігін есептеу.
2. 1. Есептеу әдістемесі және критерилерді таңдау.
Жылжымалы құрам тиімділігін анықтау кезінде таңдап алынған әрбір көлік құралдары үшін келесі көрсеткіштер есептеледі.
- Эксплуатациялық (пайдалану) шығындары.
- Күрделі салым.
- Доңғалақтағы жүктің өзіндік құны
Аталған тасымалдау шығындары төмен болатын жылжымалы құрам түрі тиімді болып саналады. Эксплуатациялық шығындар әр түрлі әдістермен есептеледі. Соның ішінде шығындар ставкасы әдісін қолданған тиімді.
Бұл әдіс эксплуатациялық шығындарды тасымалдау параметрлеріне байланысты шығындарға және шартты тұрақты шығындарға бөлуге негізделген. Поездардың қозғалысына тәуелді шығындарға қозғалыс өлшеміне байланысты өзгеретін шығындар жатады.
Жүрістің жалпы вагон - километрлері;
ваг. км (2. 1)
Мұндағы:
- қосынды вагон ағыны;
арнайы жабық вагон:
Жүрістің жалпы вагон-сағаттары:
, ваг. сағ. (2. 2)
мұндағы:
-резервтегі жылжымалы құрам үлесі
Жүрістің жалпы поезд-километрлері:
, поезд, км (2. 3)
мұндағы:
-вагон жүрістің тонна -км
(2. 4. )
Q бр -құрам салмағы, брутто (Q=3200т)
поезд. км
Жалпы көлемнің локомотив - километрі
, лок. км. (2. 5. )
мұндағы:
-локомотивтің қосымша жүрісінің жалпы жүріске қатынасы
Жеке жүрістегі локомотив - км:
, лок. км (2. 6. )
Қосымпша желілік жүрісті ескере отырып, поездардың басындағы локомотив километрді анықтаймыз:
, локом. Км (2. 7. )
мұндағы:
- қосымша желілік жүрістің жалпы жүріске қатынасы
Поезд - локомотивтерінің локомотив сағаты:
, лок. сағ. (2. 8. )
Мұндағы:
-локомотивтің орташа тәуліктік жүрген жолы
км
Вагондар мен локомотивтер жүрісінің брутто тонаа километрлері:
, тонна км брутто (2. 9. )
мұндағы:
-локомотивтің орташа салмағы, т.
Локомотив бригадасының бригада - сағаты:
, бриг. сағ. (2. 10)
Мұндағы:
-желілік жүрістің 1 км белгіленген локомотив бригадасының қосыиша жұмыс уақыты
Шартты энергия шығындары:
, кВт. Сағ. (2. 11)
Мұндағы: а Т - электроэнергия шығыны мөлшері
(10 4 т км брутто)
Маневрлік жұмыстың локомотив сағаты:
(2. 12)
мұндағы:
- локомотивтің маневрлік жүрісінің поездар басындағы жүрісіне қатынасы
К
м
- жылжымалы құрам түрін ескеретін коэффициент
V
ман
- маневр жасау кезіндегі жылдамдық
2. 2. Жылжымалы құрам түрімен жүк тасымалдау шығындарын анықтау.
Арнайы жабық вагонда бидайды тасымалдау шығындарын жоғарыда есептелген жылжымалы құрам параметрлері және критерийлеріне сүйене отырып анықтаймыз.
Есептеу нәтижелері 2. 1. 1 - кестеге енгізілген:
Тасымалдау шығыны
2. 1. 1 - кесте
668; 459;
655; 448;
6105, 5; 4195, 3
5986, 7; 4094, 7
504; 362;
494; 353;
84848, 4; 60942, 7
83164, 9; 59427, 5
348
398, 1
248959, 2
284800, 7
411
363, 4
162406, 7
143597, 5
Лок. к. м
Лок. км.
348;
411;
348;
411
395, 15
348, 15
137512, 2
162406, 7
121156, 2
143089, 7
278, 4;
329
55638, 2
65750, 7
Т. к. м.
брутто
57458;
157186;
64112, 5;
68068;
22925, 7
62717, 2
25580, 9
27159, 1
348;
398, 1
248959, 2
284800, 7
358;
411;
6254618
7180581
15698·10 3
10552·10 3
15393·10 3
10528·10 3
61777909
4152634
6057761
4143189
0, 2004
0, 1347
0, 1965
0, 1344
898, 2
603, 7
880, 7
602, 4
2. 3. Темір жол мен жүк иелерінің пайдасын анықтау.
Темір жол жүк иесі мен жүк қабылдаушыға келесі қызмет түрлерін көрсетеді:
- Тасымал құжаттарын рәсімдеу -500 тг.
- Жүкті тасымалға жарамды күйде жеткізу -250 тг.
- Жүкті жүк жөнелтуші қоймасынан станцияға жеткізу, 1 км тасымал жолы -100тг.
- Қоймадан вагонға ауыстырып арту. 1 вагон -3000тг.
- Вагоннан қоймаға түсіру, 1 вагон -3000 тг.
- Жүк қабылдаушы қоймасынан жеткізу 1 км тасымал жолы -100 тг.
2. 1. - кесте бойынша есептеулер нәтижесінде теміржол үшін Қостанай-Тараз бағытында бидайды арнайы жабық вагонмен тасымалдау тиімдірек болып табылады.
Бұл дегеніміз яғни Қостанай-Тараз бағыты бойымен бидайды ұзақ жолмен тасымалдағанда тиімсіз болса, онда екінші жолмен ІІ-нұсқада тасымалдауды тиімді деп есептейміз. Сонда біздің уақыт шығыны, энергия шығыны және төлем ставкалары да азаяды.
III. КӨЛІК ОБЬЕКТІЛЕРІНІҢ ЖҰМЫСЫН ҰЙЫМДАСТЫРУ
3. 1 Станция арқылы өңдеусіз өтетін транзиттік поездарды өңдеу
технологиясы.
Станция арқылы өңдеусіз өтетін транзиттік поездарды өңдеу қабылдау - жөндеу паркінің жолдарында жүргізіледі.
Транзиттік поездың әкелінетіні туралы мәліметті поездық диспетчер, станция кезекшісіне мынадай тәртіппен хабарлайды: поездың нөмірі, өстер саны, поездың құрамы мен қызметі туралы деректер, келу уақыты.
Станция кезекшісі, көрші станциядан поездың жөнелтілгені туралы хабарды алысымен оның келу уақыты, келетін жолы туралы СТЦ пен депо кезекшісіне хабарлайды. Өндірістік техникалық бөлім операторы парк ішілік байланыс арқылы поезды өңдеуге қатысы бар, поезды қарсы алатын кызметкерлерді хабардар етеді. Поезд құрамын техникалық қызмет көрсетуге ұсыну ВУ - 14 нысанындағы кітапқа жазылып, рәсімделеді.
Транзиттік поезды өңдеу төмендегі жұмыстардан тұрады:
- локомотивті немесе локомотивтер бригадасын ауыстыру; вагондарды қарап - тексеру, ажыратпай жөндеу және тежегіштерді тексеру; поезд құрамын коммерциялық қарау және коммерциялық ақауларды түзету; жүктерді қабылдау - өткізу құжаттарын локомотив бригадаларына беру және қабылдау;
Техникалық қызмет көрсету барысында ақаулары вагонды ажыратпай, өңдеу уақыты барысында жөндеуі мүмкін вагондар анықталады, ол туралы вагонды қараушылар вагондарға бормен белгі салады, ал артынан келе жатқан вагон жөндеушілер ақауларды түзетеді.
... жалғасы- Іс жүргізу
- Автоматтандыру, Техника
- Алғашқы әскери дайындық
- Астрономия
- Ауыл шаруашылығы
- Банк ісі
- Бизнесті бағалау
- Биология
- Бухгалтерлік іс
- Валеология
- Ветеринария
- География
- Геология, Геофизика, Геодезия
- Дін
- Ет, сүт, шарап өнімдері
- Жалпы тарих
- Жер кадастрі, Жылжымайтын мүлік
- Журналистика
- Информатика
- Кеден ісі
- Маркетинг
- Математика, Геометрия
- Медицина
- Мемлекеттік басқару
- Менеджмент
- Мұнай, Газ
- Мұрағат ісі
- Мәдениеттану
- ОБЖ (Основы безопасности жизнедеятельности)
- Педагогика
- Полиграфия
- Психология
- Салық
- Саясаттану
- Сақтандыру
- Сертификаттау, стандарттау
- Социология, Демография
- Спорт
- Статистика
- Тілтану, Филология
- Тарихи тұлғалар
- Тау-кен ісі
- Транспорт
- Туризм
- Физика
- Философия
- Халықаралық қатынастар
- Химия
- Экология, Қоршаған ортаны қорғау
- Экономика
- Экономикалық география
- Электротехника
- Қазақстан тарихы
- Қаржы
- Құрылыс
- Құқық, Криминалистика
- Әдебиет
- Өнер, музыка
- Өнеркәсіп, Өндіріс
Қазақ тілінде жазылған рефераттар, курстық жұмыстар, дипломдық жұмыстар бойынша біздің қор #1 болып табылады.

Ақпарат
Қосымша
Email: info@stud.kz