Бұраушы моментті машина қуаты бойынша анықтау


Жоспар
І. Кіріспе
ІІ. Негізгі бөлім
- Құбылыстың мәні. Дөңгелек брустың кернеуін.
- Бұрылу бұрышын анықтау
- Бұраушы моментті машина қуаты бойынша анықтау
- Бұралу кезінде кернеулі күйді талдау. Бас кернеулер және бас алаңдар.
- Цилиндр тәрізді оралған серіппелерді есептеу.
ІІІ. Қорытынды
Пайдаланған әдебиеттер:
1. ”Физика” Шахмаев С. Н. Шахмаев Н. М. Шодиев Д. Ш.
Алматы-2002
2. ”Физика” Кикоин И. К. Кикоин А. К.
Алматы-2003
БҰРАЛУ ҚҰБЫЛЫСТЫҢ МӘНІ. ДӨҢГЕЛЕК БРУСТЫҢ КЕРНЕУІН
Стержень оның осіне перпендикуляр жазықтықта күш жұбы әсер еткенде бұралады. Ол жетекші белдік, тісті доңғалақ т. б. арқылы берілетін бұраушы моменті әсер ететін машина біліктерінде жиі байқалады.
Шкивті жұмыр білік көрсетілген. Білік ұштары подшипниктерге тіреледі. Бірінші А шкив белдік арқылы двигательге, екінші В шкив станокқа жалғасқан. Двигатель белдікті керіп А шкивте тудыратын бұраудың моменті білік арқылы В шкивке; беріледі. Сөйтіп білік АВ учакесінде бұралады.
Стержень деформациясы (геометриялық талдау) . Эксперименттік зерттеулер негізінде деформацияға дейінгі жазық көлденең қима деформациядан кейін де жазық әрі стержень осіне перпендикуляр болып қалады деп ұйғарамыз. Яғни әрбір көлденең қима басқасымен салыстырғанда біртұтас бұрылып оның деформацияға дейінгі түзу радиусы деформациядан кейін сол күйінде қалады.
Көлденең қима мен стерженьнен ұзындығы
элементті аламыз, ал одан
р
радиусты цилиндрлік орта бөлігін қиыл алайық. Стерженьнің бұралуы кезінде элементтің оң жағы сол жағына сәйкес бұралады. Жақтардың сыртқы Контурында бір жасаушының бойында жатқан екі нүктенің абсолют орын ауыстыру айырмасы
mm'
-қа тең болады.
Ол
mn - dz
ұзындықта болатындықтан, элемент бетіндегі салыстырмалы ығысу:
Көлденең қиманың кез келген нүктесі үшін салыстырмалы ығысу берілген нүктеден стержень осіне дейінгі қашықтықка пропорционал болады. Егер оң қиманың бұрыштағы бұрылуын
арқылы белгілесек, онда
mm
/
=
ал салыстырмалы ығысу
(6. 1)
Қиманың әрбір нүктесі үшін салыстырмалы ығысу бұл нүктенің стержень осінен қашықтығына пропорционал.
Деформациядан кернеулерге көшу (физикалық талдау) . Бұралу серпімділік аймағында қарастырылатындықтан, Гук заңына сәйкес стержень элементінің салыстырмалы ығысу шамасы бойынша жанама кернеуді анықтауға болады. Бұл үшін ығысуда Гук заңын өрнектейтін формуланы пайдаланамыз;
-ны (6. 1) формуласындағы табылған мәнімен ауыстырғанда:
кернеу формуласын табамыз. Мундағы
қиманың ішіндегі; кез келген элементтің кернеуі;
р
- бұл элементтен қиманың центріне дейінгі қашықтық (1-сурет) .
Тепе-теңдік шарттары (статикалық талдау және қорытынды) . Әр көлденең қимадағы ішкі күштердің осы қимадағы бұpay моментіне тең моментке сәйкес болуы тиіс. Осы шартты құрамыз.
Егер қандай да бір қима элементінің кернеуін dF элементар ауданға көбейтсек, онда осы элементке сәйкес элементар ішкі күштің шамасын табамыз (1-сурет) : .
(6. 3)
БҰРЫЛУ БҰРЫШЫН АНЫҚТАУ
Қатаңдықты есептеу және статикалык анықталмаған есептерді шешу Үшін көлденең қиманың бұралу бұрышын есептеп шығару керек.
Жалпы жағдайда бұраушы момент не көлденең қима (немесе екеуі де) үздіксіз өзгерсе, брустың шеткі қималарыныңі өзара бұралу бұрышы мына формуламен есептеледі.
(6. 11)
белгісі әрбір учаскенің интегралын есептеп, содан кейін нәтижесін жинақтау керектігін білдіреді. Бір ғана учаскесі бар брустың бұралу бұрышы мына формуламен анықталады:
(6. 11)
0-ден l -ге дейін шекте интегралданғанда
(6. 11")
(6. 11") формуласы өзінің құрылымы бойынша созылу кезінде толық ұзару өрнегіне ұқсас болады:
(6. 11") формуласы бұралу бұрышының шамасын радианмен береді. Бұралу бұрышын градусқа көшіру үшін
-ді
-ге бөліп 180°-қа көбейтеді:
(6. 11)
Қатаңдықты есептегенде салыстырмалы буралу бұрышы
Ө
яғни ұзындық бірлігін, мысалы 1 метрге сәйкес бұралу бұрышы есептелетін білікті ппйдалануға тәуелді мүмкін бұралу бұрышынан
асып кетпеуі қажет:
(6. 12)
Бұралу бұрышын азайту мақсатында кейбір жағдайда тұтастай құйылып, соңынан ортасы бұрғыланған қуыс біліктерді пайдалану тиімді. Бұл жағдайда ете аз кернеумен жұмыс істейтін білік осінің маңындағы білік қималарынан арылуға мүмкіндік туады. Қима ауданы тұтас білікпен бірдей қуыс біліктің инерция моменті үлкен, бұраушы бұрышының шамасы аз болып келеді.
1- м ы с а л.
Ұштары бекітілген дөңгелек болат стерженьге бұраушы момент әсер етеді (2-сурет)
Ма, М
в
бекіту нүктелеріндегі бұраушы моменттерді анықтау керек. Бұраушы моменттердің, эпюрін құрып, мүмкін кернеу [
] = 140 Мн/м
2
болғанда стержень диаметрін табу керек.
Шешімі.
Статикалық теңдеумен бұл есепті шығаруға болмайды. Өйткені мұнда екі белгісіз шама
Ma, Mb
бар, ал статистикалық теңдеуді құру үшін бір белгісіз (
) болуы шарт Берілген есепті шешу үшін статикалық теңдеуге қосымша стержень деформациясы шартынан туындайтын тендеуді құрамыз.
M
D
моменті әсерінен
D
қимасында стержень қайсыбір
бұрышқа бұрылады. Стерженьнің ұштары бекітілгендіктен олар бұралмайды. Демек
AD
учаскесіндегі бұралу бұрышы
DB
учаскесінін бұралу бұрышына тең болуы қажет. Бұрыштардың теңдігін жазсақ, қосымша шарт бар деп есептеуге болады:
Статика теңдеуін құрамыз:
М
А
+Мв+M
d
= 0;
Ма = -
4кн м;
М
= -
2кн м.
Табылған моменттер бойынша бҰраушы моменттердің эпюрін салайық (2-сурет) .
AD
бірінші учаскесінде Әсер ететін бұраушы момент
М
= -
4кн м және
DB
екінщі учаскесінде
кнм. Стержень диаметрін ең үлкен момент бойынша анықтаймыз:
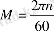
Бұраушы моментті машина қуаты бойынша анықтау
Біліктерді есептегенде
бұраушы моменттің орнына машина қуаты яғни (жұмыстық саны біліктің 1 с беретін жұмысының мөлшері мен бір минуттағы
п
айналыс саны) альшады. Ат күшімен ѳлшенген машина қуатын
N
әрпімен белгілейік:
(а)
Қуат пен бұраушы момент шамасының арасындағы тәуелділікті тағайындау үшін күш жұбы атқаратын жұмысты табамыз. Р күш жүбы
(3-
сурет)
бұрышқа, бұралу кезінде
жұмыс істейді.
Мұндағы
әр күштің өткен жолы;
былай болса,
айналыс кезінде бір минутта бұралу бұрышы (радианмен) 2
-ге, ал
1секундта бұралу бұрышы
-қа тең.
Моменттің 1секундтағы жұмысы:
(б)
(а) және (б) теңдеулерін теңестіргенде:
Осыдан бұраушы моментті машина қуаты мен 1 минуттағы айналыс саны арқылы табамыз:
(6. 13)
немесе қуат ат күшімен емес, киловатпен берілсе, онда
(6. 13')
БҰРАЛУ КЕЗІНДЕ КЕРНЕУЛІ КҮЙДІ ТАЛДАУ.
БАС КЕРНЕУЛЕР ЖӘНЕ БАС АЛАҢДАР
Жоғарыда қарастырылғандай бұралу кезівде дөңгелек стерженьнің көлденең қимасында жанама кернеулер пайда болды. Жанама кернеудің жұптық заңына сәйкес олар бойлық қималарда да (4-сурет) пайда болады. Тік кернеулер кѳлденең және бойлық қималарда нөлге тең.
- Іс жүргізу
- Автоматтандыру, Техника
- Алғашқы әскери дайындық
- Астрономия
- Ауыл шаруашылығы
- Банк ісі
- Бизнесті бағалау
- Биология
- Бухгалтерлік іс
- Валеология
- Ветеринария
- География
- Геология, Геофизика, Геодезия
- Дін
- Ет, сүт, шарап өнімдері
- Жалпы тарих
- Жер кадастрі, Жылжымайтын мүлік
- Журналистика
- Информатика
- Кеден ісі
- Маркетинг
- Математика, Геометрия
- Медицина
- Мемлекеттік басқару
- Менеджмент
- Мұнай, Газ
- Мұрағат ісі
- Мәдениеттану
- ОБЖ (Основы безопасности жизнедеятельности)
- Педагогика
- Полиграфия
- Психология
- Салық
- Саясаттану
- Сақтандыру
- Сертификаттау, стандарттау
- Социология, Демография
- Спорт
- Статистика
- Тілтану, Филология
- Тарихи тұлғалар
- Тау-кен ісі
- Транспорт
- Туризм
- Физика
- Философия
- Халықаралық қатынастар
- Химия
- Экология, Қоршаған ортаны қорғау
- Экономика
- Экономикалық география
- Электротехника
- Қазақстан тарихы
- Қаржы
- Құрылыс
- Құқық, Криминалистика
- Әдебиет
- Өнер, музыка
- Өнеркәсіп, Өндіріс
Қазақ тілінде жазылған рефераттар, курстық жұмыстар, дипломдық жұмыстар бойынша біздің қор #1 болып табылады.

Ақпарат
Қосымша
Email: info@stud.kz