Минералды заттардың құрамын және ылғалдылығын анықтау әдістері


Лабораториялық жұмыс №1.
Минералды заттардың құрамын және ылғалдылығын анықтау әдістері.
Жұмыс төрт оқу сағатына арналған. Осы төрт сағат ішінде талдау (анализ) жұмыстары да орындалуы қажет. Бұл жұмысты орындау кезінде уақытты тиімді пайдалну үшін төмендегідей жұмыс кестесі ұсынылады.
Жұмысты орындау кестесі.
20
40
60
80
100
120
140
160
180
200
220
240
260
280
Бақылау әдістерімен танысу. Бос бюкст өлшеу, бюкске 5г ұсатылған дән салып ыдысымен өлшеу. 105 С температурадағы кептіру шкафына (сушильый шкаф) 3 сағатқа қою.
Тигельды алдымен бос, сонан кейін 3г грамм ұсатылған құлмақ салып өлшеу. Электр пешінде өлшендіні (навеска) жағу.
Дәптерге қажеттілерді (мерзімін, жұмыс ретін, тақырып атын т. б) жазу.
Муфельды пешке тигельды құю. Чихованың ылғал өлшегіш құрылысы және оның жұмысымен танысу.
Чихова әдісі бойынша дәннің ылғалдылығын анықтау
Жазғандарды жалғастыру (талдау әдісі есептеу формалары)
Муфельды пештегі тигельды алу, оны эксикаторда суытып, өлшеу.
Ұсақталдған құлмақты қайтадан жағып өлшеу.
Кептіру шкафындағы ұсақ дән салынған бюксті алып суыту және оны өлшеу.
Кептіруді және өлшеуді қайталау.
Жұмыс нәтижелерін соңғы рет жазу.
Жұмысты қорытындылау.
1. Ылғалдылықты анықтау әдісі.
Шикізатты дүмбілдірдің (полуфабрикаты) және кеййбір дайын өнімдердің ылғалдылығын материалдардың негізгі қасиеттері болып табылады. Материалдардың сапасы және технологиялық процестерге әсері осы қасиеттеріне байланысты.
Ылғалдылық дегеніміз массаның % есебімен алынған материалдағы судың мөлшері.
Материалдағы құрғақ зат мөлшерін материал массасымен, су массасының айырмасы арқылы табуға болады. Демек, материалда су мөлшері көп болса, ондағы құрғақ заттың мөлшері азаяды да, оның экономикалық құндылығы төмендейді.
Дәнді, уытты және басқа да материалдарды қабылдау және босату негізінде өндірістік емес шығындарды болдырмау үшін, олардың ылғалдылығын анықтайды және олардың сапасымен мөлшерін анықтауға байланысты барлық есептеулерді шикізаттан аланатын өнім шығынын, құрғақ затқа қарай жүргізіледі.
1. 1. Ылғалдылықты анықтау.
Әдісінің жіктелуі.
Қатты (сусымалы) және сұйық материалдардың анықтау үшін әр алуан әдістер өңделген. Бұл әдістер тура және жанама болып бөлінеді. Тура әдіске мтералды құрғақ затқа және суға бөлетін әдіс жатады. суды бөлу үшін жылу, сусыз еріткіштер және химиялық реактивтер қолданылады. Жанама әдіске матералдардың ылғалдлығымен функционалды байланысты болатын физикалық шамаларды немесе қасиеттер өзгерісін өлшейтін әдіс жатады.
Әсер ету принципіне қарай ылғалдылықты анықтаудың тура әдісін бірнеше топтар қатарына бөлуге болады.
Жылулық-физикалық әдіс, анализделетін материал өлшендісінен (навеска) суды буландыруға негізделген. Құрғатқанға дейінгі метериал массасымен қалған құрғақ зат массасы арасындағы айырманы пайдалана отырып буланған судың массасын есептейді. Құрғату үшін құрғатылған материалға жылу беру формасы мен конструкциясы жағынан айырмашылығы бар әртүрлі аспаптар пайдаланылады.
Сүзу әдісі, анализденетін заттан суды және сумен араласпайтын органикалық еріткішті қоса айдауға негізделген.
Химиялық әдіс судың кейбір реактивтерімен (металл №а, Фишер реактиві) химиялық өзара әрекеттесуіне негізделген. Анализденетін снамадағы (проба) судың мөлшерін реакция нәтижесінде түзілген заттың эквиавалентті мөлшерімен анықтайды.
1. 1. 1. Тұрақты массаға дейін құрғату әдісі.
Аспаптар мен реактивтер.
Кептіру шкафы, талдау таразысы, эксикатор, қақпағы бар металл бюкстер, тигельді қысқыштар.
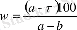
Анықтау жолы: кептіріліп және суытылған бюксті қақпағымен бірге талдау таразысына өлшейді. Бюкске 5г ұсатылған дән салып, бюкстің массасын дән өлшендісімен бірге өлшеп алады. Өлшенді салынған бюксті кептіру шкафына қойып 105 С - да 3 сағат бойы кептіреді. Содан кейін бюксті шкафтан алып, қақпағын жауып, эксикаторда суытып барып өлшейді. Кептіру шкафына тағы да 40-50 мин қояды, белгілі уақыт өткеннен кейін суытады да өлшейді. Бірінен соң бірін өлшгендегі айырмашылық 0, 001г-нан артпаса, кептіруді аяқтайды.
Ылғалдылықты (
) мына формуланы пайдалана отырып есептейді.
Мұндағы а - кептіргенге дейінгі өлшендімен (новеска) бірге алынған бюкстің, массасы, (г есебімен) .
- кептіргеннен кейінгі бюкстің өлшендімен бірге алынған массасы, г;
В - бос бюкстің массасы, г.
1. 1. 2. ВНИИХП-ВЧ аспасын пайдална отырып кептіру әдісі. ВНИИХП-ВЧ аспабы - Чикобаның конструкциясымен жасалған электротогымен жылынатын, бір-біріне топсамен бекітілген екі плитадан тұрады. Температураны өлшеу үшін плиткалар ұясына термометр орналасады.
Аспаптар мен реактивтер.
ВНИИХП-ВЧ аспабы, таразы, эксикатор, пинцет, газет типтес қағаз. Жылжымалы реостаттың көмегімен аспаптағы температураны 160 С-та ұстап тұрады.
Зерттлетін өнімді қағаз қапшықтарды пайдалана отырып сол аспапта кептіреді. Қағаз қапшықтар алдын ала кептірілген болу керек. Ол үшін газет типтес қағаздан мөлшері 16х16см блатын екі прақ қырқады да, оларды диогонал бойынша бүктеп, пайда болған үшбұрыштардың шеттерін, 1, 5см-дей қайырады. Қапшықтарды аспаптың қыздырылған плиталарының арасына қойып 3 мин кептіреді. Бұдан кейін қапшықтарды пинцет көмегімен эксикаторға ауыстырып 3-5 мин суытады да 0, 01г дәлдікке дейін салмағын өлшейді. Өлшенген қапшыққа зерттелетін өнімнің 5г салып, біркелкі етіп жұқалап жаяды да 5-7 мин бойы кептіреді., эксикатордағы қапшықтарды суытып барып өлшейді және тағы сусызданғанын тексеру үшін қайтадан 3- 4 мин кептіріп, суытып тағы да өлшейді.
Ылғалдылықты төмендегі формула бойынша есептейді % есебімен.
Мұндағы: а - қапшықтың кептірілгенге дейінгі өлшендімен бірге алынған массасы, .
- қапшықтың кептірілгеннен кейінгі өлшендімен бірге алынған массасы, г.
2. Ерітіндідегі құрғақ заттардың мөлшерін анықтау.
Ашыту өндірісінде ерітінділер құрамындағы құрғақ зат мөлшерінің көрсеткіші бойынша шикізаттың мөлшерінің сапасын және оның технологиялық процестерге қолдануға мүмкін екенін білуге болады. Өндірісті бақылаудағы ең жауапты опрациялардың бірі ерітінділердегі құрғақ заттардың концентрациясын анықтау болып табылады.
Құрғақ материалдағы (арпа, уыт, ашытылған шикізат) картоп, жүзім, жидектер. Экстрактілі зат мөлшерін анықтаған кезде, оларды суда еріте отырып шикізаттағы экстрактілі заттарды бөліп алу үшін бірнеше қосымша операциялар жүргізіледі. Содан кейін төмендегі сипатталған әдісінің бірімен алынған ерітіндіден құрғақ заттардың мөлшерін анықтайды және бастапқы материалдарға формула бойынша есептер жүргізеді. Құрамында спирті бар өнімдердегі (сыра, шарап, квас, спиртті тәтті ішімдік өнімдері) экстрактілі заттардың мөлшерін анықтауда, қосымша спиртті айдайды, жүзеге асыру қажет бастапқы қалпына келтіру үшін колбадағы өнімге дистильденген су құяды да ондағы құрғақ заттардың мөлшерін анықтайды. Өнімді тұрақты массаға дейін кептіру арқылы құрғақ заттрадың өзін барынша дәл анықтайды, бірақ бұл әдіс ұзақтау және әрқашанда тиімді болмайды. Сондықтан ашыту өнеркәсібіндегі талданатын өнімнің сыну көрсеткішін анықтауға негізделген құрғақ затты анықтау әдісі көп түрде тарады. Тығыздықты анықтау үшін пикнометрлік жәнеареометрлік әдісті қолданады.
Сыну көрсеткішін рефрактометрлік әдіспен анықтаймыз.
Ерітіндінің сыну көрсеткіші оның концентрациясына байланысты екені белгілі сыну көрсеткішінің (п) ерітіндінің концентрациясынан (с) П= f (С) .
Сыну көрсеткішін рефрактометр көмегімен өлшейді, бұл әдістің ерекшелігі анализдің тез, әрі қарапайым түрде орналасуында. Бұдан басқа талдау жүргізу үшін рефрактометрге 0, 005-1, 0г ғана зат орналастырса болғаны.
1. 1. Пикнометрлік әдіс.
Аспаптар мен реактивтер, Пикнометр пикнометрге арналған құйғыш (варонка), 20 С температурадағы су моншасы, сүзгі кавазы, талдау таразысы, дистильденген су, зерттелетін ерітінді (сыра ашытқы, шырын) спирт және құрғақ этил эфирі.
Анықтау реті: Қосымша жуылған пиннометрді бірнеше рет дистильденген сумен шаяды, бұдан кейін спиртпен, соңында құрғақ этил эфирімен тазалайды. Эфирді кептіріп, 100 С температурада тұрақты салмаққа дейін кептіреді. Пикнометрді 4-ші таңбадағы сол дәлдікке дейін өлшейді.
Пикнометрге белгіден жоғары дистильденген су құяды да 15 мин бойы 20 С температурадағы су моншасына қояды, содан кейін қуыстап оралған сүзгі қағазының көмегімен сұйық бетінің ойпаттылығымен төменгі шетінің белгімен теңбе-тең орналастырады. Бұдан соң пикнометрді су моншасынан алып, сыртын мұқият сүртіп талдану таразысында өлшейді.
Анықтауды бірнеше рет қайталап барлық өлшенгендердің орташа мәнін алады. Сыналатын сұйықтың салыстырмалы тығыздығын анықтау үшін судан босаған пикнометрді зерттелетін ерітіндімен бірнеше рет шаяды, бұдан кейін пикнометрді осы сұйықпен белгіден жоғары етіп толтырады да ары қарай пикнометр массасын сумен бірге анықтағандай жүргізіледі.
Салыстырмалы тығыздықты анықтау үшін судан босаған пикнометрді зерттелетін ерітіндімен бірнеше рет шаяды, бұдан кейін пикнометрді осы сұйықпен белгіден жоғары етіп толтырады да ры қарай пикнометр массасын сумен бірге анықтағандай жүргізеді.
Салыстырмалы тығыздықты төмендегі формуламен есептейді:
Мұнда: а - бос пикнометрдің массасы, г
- пикном, сумен алғанда, массасы, г
В - пикнометр, сыналатын сұйық пен бірге алынған массасы, г
Оқулықтың қосымшасындағы салыстырмалы тығыздықтар бойынша сыналатын ерітіндідегі экстракт заттардың массалық үлесін табады. Егер анықтау түсті сұйықтар үшін жүргізілетін болса, онда пикнометрдегі оның деңгейі, сұйық беті ойпаттығының жоғарғы шетіне орналасады.
1. 2. Ареометрлік әдіс.
... жалғасы- Іс жүргізу
- Автоматтандыру, Техника
- Алғашқы әскери дайындық
- Астрономия
- Ауыл шаруашылығы
- Банк ісі
- Бизнесті бағалау
- Биология
- Бухгалтерлік іс
- Валеология
- Ветеринария
- География
- Геология, Геофизика, Геодезия
- Дін
- Ет, сүт, шарап өнімдері
- Жалпы тарих
- Жер кадастрі, Жылжымайтын мүлік
- Журналистика
- Информатика
- Кеден ісі
- Маркетинг
- Математика, Геометрия
- Медицина
- Мемлекеттік басқару
- Менеджмент
- Мұнай, Газ
- Мұрағат ісі
- Мәдениеттану
- ОБЖ (Основы безопасности жизнедеятельности)
- Педагогика
- Полиграфия
- Психология
- Салық
- Саясаттану
- Сақтандыру
- Сертификаттау, стандарттау
- Социология, Демография
- Спорт
- Статистика
- Тілтану, Филология
- Тарихи тұлғалар
- Тау-кен ісі
- Транспорт
- Туризм
- Физика
- Философия
- Халықаралық қатынастар
- Химия
- Экология, Қоршаған ортаны қорғау
- Экономика
- Экономикалық география
- Электротехника
- Қазақстан тарихы
- Қаржы
- Құрылыс
- Құқық, Криминалистика
- Әдебиет
- Өнер, музыка
- Өнеркәсіп, Өндіріс
Қазақ тілінде жазылған рефераттар, курстық жұмыстар, дипломдық жұмыстар бойынша біздің қор #1 болып табылады.

Ақпарат
Қосымша
Email: info@stud.kz