Таза ығысу


Таза ығысу
Берілген нүктенің айналасынан бөлініп алынған параллелипедтің бүйір беттерінде тек жанама кернеу әсер ететін жазық кернеулі күйдің түрі ығысу деп аталады (1-сурет) .
(1. 3), (2. 3) формулаларынан О
нүктесі арқылы өтетін алғашқы тік
ауданшамен а бұрыш жасайтын, п-п
ауданшадағы тік және жанама
кернеулерді анықтасақ
(1. 4)
(2. 4)
(2. 4) өрнегінен 1-суреттегі жанама кернеу О нүктесі арқылы ететін кез-келген басқа жазықтықтағы жанама кернеулерден үлкен (cos2a ≤ 1) .
Сонымен, қарастырып отырған параллелопипедтің бүйір беттеріндегі жанама кернеулер экстремальді
, ал бұл қырлар ығысу ауданшалары, олар басты ауданшалармен 45° бұрыш жасайды. Ығысу ауданшаларында тік кернеу болмайтындықтан, бұл ауданшалар таза ығысу ауданшалары деп аталады.
(1. 4) формуласынан
=45°
ең үлкен, ал
= - 45°
ең кіші мәнге ие болады. Таза ығысуда басты кернеулермен экстремальды жанама кернеулердің абсолюттік мәндері бірдей.
(1. 4) формуласына
өзара перпендикуляр жазықтықтағы сәйкес келетін мәндерін қойсақ:
Таза ығысуда кез-келген өзара перпендикуляр ауданшалардағы тік кернеулер тең, таңбалары қарама-қарсы.
Өзара перпендикуляр жазықтықта тік кернеулердің абсолюттік мәндері бірдей, таңбалары қарама-қарсы жазық кернеулі күйді таза ығысу деп атауға болады.
Таза ығысудағы кернеулі күй төмендегідей бейнеленеді:
а) Бүйір беттері таза ығысу ауданшалармен сәйкес келетін тек
жанама кернеулері әсер ететін қара-
пайым параллелипипед (2-cypeт ABCD) .
б) Бүйір беттері басты ауданшалармен сәйкес келетін, тек тік кернеулер
әсер етегін, қарапайым параллелипипед (2-сурет abcd) .
в) Өзара перпендикуляр бүйір беттеріндегі мәндері тең, таңбалары қарама-қарсы тік және жанама кернеулер әсер ететін, қарапайым параллелипипед (2-сурет 1234) .
Таза ығысуда кез-келген ауданшадағы
өрнегімен анықталатын толық кернеудің р абсолюттік шамасы
-ғa тең.
Таза ығысудағы потенциалдық энергия
Таза ығысуда көлемнің салыстырмалы өзгеруі
![]()
Берілген нүктеде
Ө
-нің мәні, нүкте аумағында қарапайым параллелиппипедтің бөлігін алуына байланысты емес, параллелипипедтің бүйір беттері таза ығысу ауданшалары болып есептелсе (2-сурет ABCD), онда
сондықтан
Ө=0
. Таза ығысуда көлемнің салыстырмалы өзгеруі нөлге тең. Дененің барлық нүктесіндегі кернеулі күй таза ығысу күйде болса, дененің көлемінің өзгеруі нөлге тең. Таза ығысудағы потенциалдық энергияны анықтасақ. Деформацияның толық меншікті энергиясы
и
, көлемді өзгерту меншікті энергиясы мен пішінді өзгерту меншікті энергияларының қосындысна тең.
Сонымен, таза ығысудағы көлемді өзгерту, меншікті энергия нөлге тең, пішінді өзгерту, меншікті энергиясы толық меншікті энергияға тең.
Толық меншікті энергияны жалпы жағдайдан емес, қарапайым параллелипипедтің бүйір беттеріндегі жанама кернеулердің жұмысы арқылы да анықтауға болады.
Параллелелипипедтің деформациясында ВС бетіндегі тек күш жұмыс істейді (8-сурет), себебі
АВ, CD, AD
беттерінің өз жазықтығындағы орын ауыстыруы нөлге тең, ал
ВС
таза ығысу беті өз жазықтығында ∆
шамаға орын ауыстырады.
ВС бетіндегі күш, кернеу мен беттің ауданының көбейіндісіне тең.
![]()
- беттің сызбаға перпендикуляр бағыттағы өлшемі. Т күштің ∆ аралықтағы жұмысы потенциалдық энергияга тең екендігі белгілі, сондықтан
![]()
Мұндағы
V-abl
қарапайым параллелипипедтің көлемі.
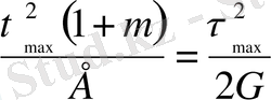
Параллелипипед деформациясының меншікті потенциалдық энергиясы
(5. 4)
Ығысудағы толық меншікті энергияны (5. 4) -пен теңестірсек
немесе
(6. 4)
Пуассон коэффициенті
аралығында болатындығы белгілі, сондықтан ығысу модулі
G
серпімділік модулі
Е
-нің 0, 33-0, 5 бөлігін құрайды.
Көптеген материалдар, оның ішінде болат үшін G=0, 4Е қабылданады.
Басты кернеулер арқылы көрсетілетін кернеулі күйді (3, а-сурет), келесі кернеулі күйлердің қосындысы ретінде көрсетуге болады.
а) бір қалыпты көлемдік созьиу немесе сығылу (3, б-сурет) ( х күй) .
б) ығысудың екі күйі (3, в, г-сурет) ( y, z күйлер) .
Осыған орай, дененің кез-келген нүктесіндегі деформация бір қалыпты созылу немесе сығылу деформациясы мен өзара перпендикуляр екі жазықктықтағы ығысу деформацияларының қосындысына тең.
Суреттерден
Мұндағы
кернеулерінің қосылғыштарының үш теңдеуін бірге шешіп, 5. 4, б, в, г-суреттерде көрсетілген кернеулердің мәндері анықталады.
Көлемдік бірқалыпты созылғанда (сығылғанда), параллелипипедтің көлемі өзгеріп, пішіні сақталады, ал таза ығысуда пішіні өзгеріп, көлемі сақталады.
Осыған байланысты деформацияның толық потенциалдық энергиясы екі құраушыдан тұрады.
Көлемдік созылу (сығылу) әсерінен жиналған, көлемді өзгерту энергиясы U K .
в) Таза ығысу деформациясының негізінде жиналған пішінді өзгерту энергиясы U n
х күйдегі күштердің у немесе z күйіндегі орын ауыстыру аралығындағы жұмысы нөлге тең болатындықтан, толық меншікті энергия екіге бөлінеді.
Айталық, х күйіндегі күштердің статикалық өсуі тоқтағаннан соң, параллелипипедке у күйіндегі күштердің статикалық түрде әсері басталады (4-сурет) .
х күйіндегі күштердің у күйінің әсерінен орын ауыстыруы аралығындағы жұмысы dA xy (сәйкес потенциалдық энергия dU xy ), келесі өрнекпен анықталады.
Мұндағы
ауданы
dl
2
dl
3
беттегі қарапайым күш
у
, күйіндегі күш статикалық өскенде, тұрақты күйінде қалады.
y
күйдегі күштердің әсерінен абсолютті ұзаруы
Қарапайым күштің
ге көбейтіндісі, параллелипипед қырының у күй күш-терінің әсерінен, өсу аралығындағы жұмысы у күйіндегі статикалық күш әсері өскенде, жоғарыдағы күш тұрақты күйде қалатындықтан жұмыс өрнегінің алдында • 1/2 коэффициенті болмайды.
Параллелипипедтің қалған қырларының ұзаруы
Қырлардың табылған ұзару мәндерін
өрнегіне қойсақ
х күйдегі күштердің у күйдегі орын ауыстыру аралығындағы жұмысы нөлге тең, онда меншікті потенциалдық энергия нөлге тең болады.
... жалғасы
![]()
- Іс жүргізу
- Автоматтандыру, Техника
- Алғашқы әскери дайындық
- Астрономия
- Ауыл шаруашылығы
- Банк ісі
- Бизнесті бағалау
- Биология
- Бухгалтерлік іс
- Валеология
- Ветеринария
- География
- Геология, Геофизика, Геодезия
- Дін
- Ет, сүт, шарап өнімдері
- Жалпы тарих
- Жер кадастрі, Жылжымайтын мүлік
- Журналистика
- Информатика
- Кеден ісі
- Маркетинг
- Математика, Геометрия
- Медицина
- Мемлекеттік басқару
- Менеджмент
- Мұнай, Газ
- Мұрағат ісі
- Мәдениеттану
- ОБЖ (Основы безопасности жизнедеятельности)
- Педагогика
- Полиграфия
- Психология
- Салық
- Саясаттану
- Сақтандыру
- Сертификаттау, стандарттау
- Социология, Демография
- Спорт
- Статистика
- Тілтану, Филология
- Тарихи тұлғалар
- Тау-кен ісі
- Транспорт
- Туризм
- Физика
- Философия
- Халықаралық қатынастар
- Химия
- Экология, Қоршаған ортаны қорғау
- Экономика
- Экономикалық география
- Электротехника
- Қазақстан тарихы
- Қаржы
- Құрылыс
- Құқық, Криминалистика
- Әдебиет
- Өнер, музыка
- Өнеркәсіп, Өндіріс
Қазақ тілінде жазылған рефераттар, курстық жұмыстар, дипломдық жұмыстар бойынша біздің қор #1 болып табылады.

Ақпарат
Қосымша
Email: info@stud.kz