Квадраттық үшмүшелік


квадраттық үшмүшелік
Көпмүшеліктің түбірі.
Бір айнымалысы бар
Р(х) =а
0
х
+a
Equation. 3 х+ . . . +а
п
х+а
көпмүшелігін қарастырайық.
А н ы қ т а м а. Қөпмүшеліктің мәнін нольге айналдыратындай айнымалының мәні көпмүшеліктің түбір деп аталады.
Мысалы, х=1 - х 4 -Зх 2 + 4х-2 көпмүшелігінің түбірі болады.
Бір айнымалысы бар екінші дәрежелі
ах
+bх+с (а
0)
көпмүшелігін қарастырайық. Бұл өрнекті
квадраттық үшмүшелік
деп те атайды. Осы квадраттық үшмүшеліктің түбірлері
ах
2
+bх+с=0 (а
0)
квадраттық теңдеуінің шешімдері болады (теңдеудің шешімдері жоқ болса, квадраттық ушмүшеліктің түбірлері де жоқ болады) .
Мысал. Зх 2 +5х-2 квадраттық ушмүшелігінің тубірлерін табу керек.
Шешуі. Зх 2 + 5х-2 = 0 теңдеуін шешейік.
Олай болса, -2 мен 1/3 сандары Зх 2 + 5х-2 квадраттық үшмүшелігінің түбірлері болады.
Квадраттық үшмүшелікті кeбейткіштерге жіктеу
.
мен
х
2
ах
2
+bх+с (a
0)
квадраттық үшмүшелігінің түбірлері болсын. Бұл жағдайда квадраттық үшмүшелікті көбейтінді түрінде
ах
2
+bх+с=а(
)
(х-
х
2
) деп өрнектеуге болатынын көрсетейік. Осы тепе-теңдікті дәлелдеу үшін оның оң жағын түрлендірейік:
Ал
мен х
2
ах
2
+bх+с = 0 квадраттық теңдеуінің шешімдері, сонда
теңдіктері орындалады. Бұл ауыстыруларды іске асырып,
екенін аламыз. Тепе-теңдік дәлелденді.
Мысалдар. 1. 5х 2 -4х-12 квадраттық үшмүшелігін көбейткіштерге жіктеу керек.
Ол үшін квадраттық үшмүшеліктің түбірлері, яғни 5х 2 -4х-12 = 0 теңдеуінің шешімдерін табу керек:
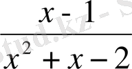
2.
бөлшегін қысқарту керек.
Шешуі х 2 + х-2 квадраттық үшмүшелігін көбейткіштерге жіктейік:
Демек, х 2 +х-2= (х-1) (х+2) . Олай болса,
Квадраттық теңдеулерді шешу . Анықтама. Квадраттық теңдеу деп
ах 2 + bх+с = 0 (1)
түріндегі теңдеу аталады. Егер b=0 немесе с = 0 болса, онда квадратгық теңдеу толық емес теңдеу деп аталады.
Толық емес квадраттық теңдеулерді қарастырайық.
а) b=0 болсын, сонда
.
Сонымен, ах
2
+с =0 теңдеуі
болғанда екі шешімге ие
болады.
;
( с=0 болғанда
, яғни -0=+0=0)
Мысал. х 2 - 4 = 0 теңдеуін шешейік.
Шешуі.
. Теңдеудің екі шешімі бар:
және х
2
= 2.
б) с = 0,
болсын. Сонда квадраттық теңдеу ах
2
+ bх = 0. түрінде болады. х-ті жақша сыртына шығарсақ,
х(ах + b)
=0. болады. Көбейтінді нольге тең болуы үшін көбейткіштердің кем дегенде біреуі нольге тең болуы керек:
және
Сонымен, бұл жағдайда екі шешім алдық: х=0,
х
2
=
Мыса л. 4х 2 -х=0 теңдеуін шешу керек.
Шешуі. 4х
2
-х=0
Енді толық қвадраттық теңдеуді
ах
2
+bх+с=0 (
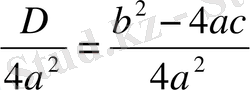
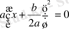
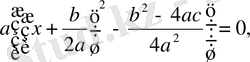
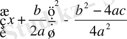
қарастырайық та оның түбірлері формуласын қорытайық. Теңдеудің сол жақ бөлігін, одан толық квадратты ажырату арқылы түрлендірейік:
деп белгілtйік. Сонда үш жағдай болуы мүмкін.
1) Егер
D=0
болса, онда
ах
2
+bх+c
=
болады да, теңдеудің бір ғана шешімі бар:
2) Егер
<0 болса, онда
бөлшегі теріс таңбалы болады да
Equation. 3 өрнегі х-тің кез келген мәнінде оң таңбалы болады. Бұл жағдайда (I) теңдеудің нақты мәнді шешімдері жоқ.
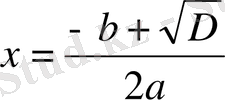
3) Енді D>0 болсын. Сонда (1) тендеу
D Equation. 3
теңдеуіне пара-пар. Квадраттардың айырымын көбейткіштерге жіктей отырып,
теңдеуін аламыз
болғандықтан
.
теңдеулері шыгады. Бұрдан
не
.
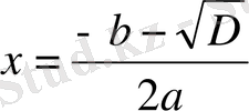
Олай болса, бұл жағдайда квадраттық теңдеудің екі шешімі бар болады, оларды былай қысқаша жазу қабылданған:
өрнегі квадраттық теңдеудің дискриминанты деп аталады. Сонымен дискриминанттың таңбасына байланысты квадраттық теңдеуді шешкенде үш жағдай кездеседі.
Егер D>0 болса, онда квадраттық теңдеудің екі шешімі бар болады.
Егер D=0 болса, онда квадраттық теңдеудің бір ғана шешімі бар болады.
Егер D<0 болса, онда квадраттық теңдеудің нақты мәнді шешімдері болмайды.
Мысал.
теңдеуін шешейік. (а=0, b=3, c=1)
Шешуі. Теңдеудің дискриминантын құрамыз.
. Сонда
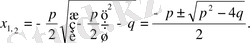
Анықтама.
(2) түріндегі теңдеу келтірілген квадраттық теңдеу деп аталады. Толық квадраттық теңдеуді оның оң жағын да, сол жағын да а-ға бөліп, (2) теңдеу түріне келтіруге болады:
.
деп белгілеп, келтірілген квадраттық теңдеуді аламыз:
Келтірілген квадраттық теңдеудің шешімдері формуласын жазайық :
Мысал.
теңдеуін шешу керек.
Шешуі. p=2, q=-35 болғандықтан, формула бойынша
және
,
Виет теоремасы.
ах
2
+ bх+с =
0 (
) квадраттық теңдеуінің (
теңдеуінің де)
>0 (
) , болғанда екі шешімі бар.
,
енді осы шешімдердің қосындысы мен көбейтіндісін анықтайық:
- Іс жүргізу
- Автоматтандыру, Техника
- Алғашқы әскери дайындық
- Астрономия
- Ауыл шаруашылығы
- Банк ісі
- Бизнесті бағалау
- Биология
- Бухгалтерлік іс
- Валеология
- Ветеринария
- География
- Геология, Геофизика, Геодезия
- Дін
- Ет, сүт, шарап өнімдері
- Жалпы тарих
- Жер кадастрі, Жылжымайтын мүлік
- Журналистика
- Информатика
- Кеден ісі
- Маркетинг
- Математика, Геометрия
- Медицина
- Мемлекеттік басқару
- Менеджмент
- Мұнай, Газ
- Мұрағат ісі
- Мәдениеттану
- ОБЖ (Основы безопасности жизнедеятельности)
- Педагогика
- Полиграфия
- Психология
- Салық
- Саясаттану
- Сақтандыру
- Сертификаттау, стандарттау
- Социология, Демография
- Спорт
- Статистика
- Тілтану, Филология
- Тарихи тұлғалар
- Тау-кен ісі
- Транспорт
- Туризм
- Физика
- Философия
- Халықаралық қатынастар
- Химия
- Экология, Қоршаған ортаны қорғау
- Экономика
- Экономикалық география
- Электротехника
- Қазақстан тарихы
- Қаржы
- Құрылыс
- Құқық, Криминалистика
- Әдебиет
- Өнер, музыка
- Өнеркәсіп, Өндіріс
Қазақ тілінде жазылған рефераттар, курстық жұмыстар, дипломдық жұмыстар бойынша біздің қор #1 болып табылады.

Ақпарат
Қосымша
Email: info@stud.kz