Эллипс тектес теңдеулерді шекті айырымдар және шекті элементтер әдістерімен шешудің мүмкіндіктерін зерттеу


Жұмыс түрі: Дипломдық жұмыс
Тегін: Антиплагиат
Көлемі: 53 бет
Таңдаулыға:
Қазақстан Республикасы Білім және ғылым министрлігі
Қожа Ахмет Ясауи атындағы халықаралық қазақ-түрік университеті
Математика кафедрасы
«Қорғауға жіберілді»
Кафедра меңгерушісі
профессор Ә. С. Мұратов
ДИПЛОМДЫҚ ЖҰМЫС
Тақырыбы: Эллипс тектес теңдеулерді шекті айырымдар және шекті
элементтер әдістерімен шешудің мүмкіндіктерін зерттеу
5В010900 - «Математика» мамандығы бойынша
Орындаған Бөлкенова Б.
Ғылыми жетекшісі
тех. ғ. к., доцент Айтбаев Қ.
Түркістан 2013
МАЗМҰНЫ
ЭЛЛИПС ТЕКТЕС ТЕҢДЕУЛЕРДІ ШЕКТІ ЭЛЕМЕНТТЕР
ӘДІСІМЕН ШЕШУ . . .
КІРІСПЕ
Математикалық физика теңдеулерінің ішінде эллипс тектес теңдеулердің алатын орны ерекше екені белгілі. Қоршаған ортада жиі кездесетін құбылыстар ретінде тұтас денелердегі жылу таралу процестері, диффузия, электрлік статика, электрлік динамика, сұйықтардың ағысы, электр тогының тығыздығының таралуы, қатты денелердің деформациялануы және тағы басқаларын атайтын болсақ, осы құбылыстарды зерттеу үшін математикалық физика есептері қойылып, эллипс текті Лаплас, немесе Пуассон теңдеулері шешіледі. Зерттеу аймағы біртекті және оның пішіні қарапайым болған кезде аталған теңдеулерді Фурье әдісі, Грин функциялары әдісі және т. б. аналитикалық әдістермен шешуге болады. Бірақ көп жағдайда аталған есептердің дәл аналитикалық шешімін алу үшін шекаралық шарттарды аналитикалық өрнектермен сипаттауға ыңғайлы болу мақсатында көптеген жеңілдетуші гипотезалар енгізіледі. Соның өзінде зерттеу аймағының біртекті болуы және геометриясы қарапайым болуы ыңғайлы. Математикалық физиканың дербес туындылы дифференциалдық теңдеулермен, немесе олардың жүйелерімен сипатталатын күрделі есептерін шешу үшін әдетте вариациялық принциптерді қолданып, аталған теңдеулерді сандық әдістердің бірімен сызықтық алгебралық теңдеулер жүйесіне алып келеді. Зерттеу аймағы біртекті болмаған жағдайда, және зерттеу аймағының геометриясы күрделі болған жағдайда сандық әдістердің ішіндегі ең әмбебап әдіс деп табылатын әдіс - шекті элементтер әдісі таңдалады. Алынған жоғары ретті сызықтық алгебралық теңдеулер жүйесін шешуге тікелей немесе итерациялық әдістер қолданылады. Бұл кездегі ең қиын проблемалардың бірі есептеу процесінің жинақтылығын қамтамасыз ету. Шешімнің дәлдігі координаталық тордың қадамына, итерация санына және компьютердің қуатына байланысты.
Дипломдық жұмыста математикалық физиканың негізгі теңдеулері, шекаралық және бастапқы шарттарды берудің ерекшеліктері, эллипс тектес тедеулерді шекті айырымдар әдісімен шешу алгоритмы, дербес туындылы дифференциалдық теңдеулерді дискреттеу әдістері, шекті элементтер әдісінің теориялық негіздері, шекті элементтер әдісін қолданып жылуөткізгіштік, кернеулі-деформациялық күй туралы есептерді шығарудың негізгі этаптары сияқты тақырыптар қамтылған.
Дипломдық жұмыс кiрiспеден, үш бөлімнен тұратын негiзгi бөлiктен, қорытындыдан және пайдаланылған әдебиеттер тiзiмiнен тұрады.
Бірінші бөлімде математикалық физика теңдеулеріне сараптама жүргізіледі. Эллипстік, параболалық және гиперболалық теңдеулердің түрлері және олармен сипатталатын физикалық процестерге талдау жасалынады. Келесі бөлімде математикалық физика теңдеулерін шешуде кеңінен қолданылып жүрген сандық әдіс, шекті айырымдар әдісінің бір өлшемді және екі өлшемді Пуассон теңдеулерін шешуге арналған алгоритмдері келтіріліп, алгоритмдердің MATLAB жүйесінде құрылған есептеу программаларына түсініктемелер келтірілген.
Үшінші бөлім эллипс тектес теңдеулерді шекті элементтер әдісімен шешуге арналған. Бөлімнің басында шекті элементтер әдісінің теориялық негіздері келтіріледі. Әдістің негізгі этаптары, оның негізгі концепциясы, артықшылығы мен кемшіліктері талданады. Аймақты дискреттеудің ережелері қарастырылады. Үшінші бөлімнің келесі жартысында математикалық физика ғылымында қарастырылатын негізгі есептердің бірі, жылу таралу есебінің теориясы және оны шешуде қолданылатын шекті элементтер әдісінің алгоритмі келтірілген. Бөлімнің соңында, мысал ретінде, екіөлшемді жылу таралу есебінің шешу жолдары көрсетіліп, сандық нәтижеге дейін жеткізілген.
Дипломдық жұмыста математикалық физиканың кез келген есебін сандық әдістер, шекті айырымдар әдісі мен шекті элементтер әдісі арқылы шешудің әдістемесінің негізі қаланған деп айтуға болады.
1 ЭЛЛИПС ТЕКТЕС ТЕҢДЕУЛЕРДІҢ ЕСЕПТЕРІН
АНАЛИТИКАЛЫҚ ӘДІСТЕРМЕН ШЕШУДІҢ ТЕОРИЯСЫ
1. 1 МАТЕМАТИКАЛЫҚ ФИЗИКА ТЕҢДЕУЛЕРІ
Қазіргі заманда ғылым мен техниканың көптеген мәселелері математикалық физика есептерін шешумен байланысты. Жылуөткізгіштік, диффузия, электрлік статика, электрлік динамика, сұйықтардың ағысы, электр тогының тығыздығының таралуы, қатты денелердің деформациялануы және тағы басқа көптеген есептер математикалық физика есептеріне жатады.
Мұндай есептер шекаралық және бастапқы шарттармен бірге қарастырылатын дербес туындылы дифференциалдық теңдеулермен сипатталады. Дипломдық жұмыста қарастырылатын дифференциалдық теңдеулердің реті екіншіден аспайды. Себебі, осындай теңдеулер сипаттайтын физикалық құбылыстардың өзі өте үлкен диапазон құрайды. Оның үстіне, төменде келтірілетін әдістерді бұдан да жоғары ретті дифференциалдық теңдеулерге қолдануға болады. Жалпы жағдайда n тәуелсіз айнымалының екінші реттегі дербес туындылы дифференциалдық теңдеуі мынадай түрде болады [1, 2] :
. (1. 1)
Бұл жерде
- тәуелсіз айнымалылардың векторы (матрица-қатар) ;
- тәуелсіз айнымалылардың белгісіз функциясы;
- тәуелсіз айнымалылардың белгілі функциялары.
(1. 1) - ші теңдеуді үш стандартты канондық түрлердің біреуіне әрқашанда келтіруге болады.
шамаларының өзара қатынасына байланысты теңдеулерді
нүктесіндегі эллипстік, параболалық немесе гиперболалық текті теңдеу деп бөледі. Мысалы, тәуелсіз
айнымалыларының екінші ретті дифференциалдық
![]()
(1. 2)
теңдеуінің тегі дискриминант деп аталатын келесі шаманың мәні арқылы анықталады:
. (1. 3)
Егер
болса, онда дифференциалдық теңдеу
нүктесінде эллипстік теңдеу болады.
Егер
болса, онда дифференциалдық теңдеу
нүктесінде параболалық теңдеу болады.
Егер
болса, онда дифференциалдық теңдеу
нүктесінде гиперболалық теңдеу болады.
Егер
коэффициенттері тұрақты болса және дискриминант
координатаға тәуелсіз болса, онда дискриминанттың таңбасына байланысты теңдеу толық эллипстік, толық параболалық немесе толық гиперболалық болып бөлінеді [1] .
1. 2 ЭЛЛИПСТІК ТЕҢДЕУЛЕР
Математикалық физиканың эллипстік теңдеулерге алып келетін кейбір есептерін қарастырайық.
- ЛАПЛАС ТЕҢДЕУІ
Көптеген стационар, уақытқа тәуелсіз, процестер эллипс текті теңдеулермен сипатталады. Ал қарапайым жағдайда, біртекті ортада нүктелік немесе сызықтық әсер көздері жоқ болса процесс координатаның үш бағыты үшін Лаплас теңдеуімен [2] сипатталады:
. (1. 4)
Бұл жерде
- анықталатын белгісіз функция.
Операторлық түрде Лаплас теңдеуі былайша жазылады:
. (1. 5)
Бұл жерде
- Лаплас операторы.
Енді
үшөлшемді кеңістіктің
тұйық бетімен қоршалған
көлемінде стационар режимде жылудың таралуы туралы есепті қарастырайық.
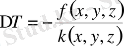
Жылуөткізгіштік процесі, немесе кондукция, Фурье заңымен анықталады. Фурье заңы бойынша жылу ағынынының тығыздық
векторы
температураның градиентіне пропорционал [1] :
. (1. 6)
Бұл жерде
- жылуөткізгіштік коэффициенті.
Жылу ағынының тығыздығы уақыттың бір өлшемінде изотермикалық беттің бірлік ауданынан ағып өтетін жылу мөлшеріне тең [1] .
Жылуөткізгіштіктің стационар есебінің мақсаты жылу көздерінің
тығыздығы белгілі болған жағдайда температураның
координаталарға тәуелділігін табу. Жылу көздерінің
тығыздығы (1. 6) Фурье теңдеуінің құрамына тікелей кірмейтін болғандықтан, алдын ала түрлендірулер жасап алу керек. Жоғарыда келтірілген жылу ағынының анықтамасына сәйкес
көлемді қоршап тұрған
бет арқылы уақыттың бір өлшемінде ағып өтетін толық жылу мөлшері
жалпы жағдайда мынадай интегралмен анықталады:
. (1. 7)
Бұл жерде
ауданы
бетінің шексіз шағын
элементінің ауданына тең, бағыты осы элементтің нормалымен бағыттас вектор;
-
және
векторларының скаляр көбейтіндісі, ал
осы векторлардың арасындағы бұрыш.
бетімен қоршалған
көлемінің уақыттың бір өлшемінде бөліп шығаратын
толық жылу мөлшері мынадай интегралмен анықталады:
. (1. 8)
Әрине, бұл жағдайда
көлемді қоршап тұрған
бет арқылы уақыттың бір өлшемінде ағып өтетін толық жылу мөлшері
осы көлемнен бөлініп шығатын
толық жылу мөлшеріне тең болуы керек:
. (1. 9)
Остроградский-Гаусс теоремасы бойынша:
. (1. 10)
Енді (1. 10) формуланы (1. 9) формулаға қойсақ:
; (1. 11)
. (1. 12)
(1. 12) теңдеуге (1. 6) Фурье заңын қойсақ жылуөткізгіштіктің стационар есебінің теңдеуін векторлық түрде аламыз:
. (1. 13)
Егер жылу көздері жоқ болса
және дене біртекті болса
, онда (1. 13) теңдеу былайша жазылады:
. (1. 14)
Анықтама бойынша кезкелген скалярлық
өрістің градиенті былайша
(1. 15)
жазылатынын, ал кезкелген векторлық
өрістің дивергенциясы
(1. 16)
өрнегі арқылы анықталатынын ескерсек, онда (1. 14) теңдеуді дербес туындылар арқылы былайша жазып шығуға болады:
(1. 17)
немесе операторлық түрде
. (1. 18)
Соңғы (1. 18) теңдеу Лаплас теңдеуі деп аталады.
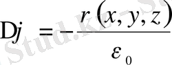
Заттың диффузия процесі көп жағдайда жылуөткізгіштік процессіне ұқсас келеді. Диффузияны сипаттаған кезде Фурье заңының баламасы - Нернст заңы қолданылады. Бұл заң бойынша зат ағынының тығыздығының
векторы
концентрацияның градиентіне пропорционал [2] :
. (1. 19)
Бұл жерде
- диффузия коэффициенті.
Зат ағынының тығыздығы уақыттың бір өлшемінде беттің бірлік ауданынан диффундирленетін заттың бөлшектерінің (атомдар, молекулалар) мөлшеріне тең.
Заттың диффундирленетін көзі жоқ болса
және дене біртекті болса
, онда (19) өрнекті (12) теңдеуге қойып Лаплас теңдеуін векторлық түрде аламыз:
. (1. 20)
Осы теңдеуді дербес туындылар түрінде:
(1. 21)
немесе операторлық түрде жазсақ:
(1. 22)
Лаплас теңдеуін аламыз.
Лаплас теңдеуіне көптеген есептер, мысалы, электр заряды жоқ кездегі біртекті өткізбейтін ортада электростатикалық өрістің таралуы туралы есеп алып келеді. Бұл есеп жалпы түрде Максвелл теңдеулерімен сипатталады:
; (1. 23)
. (1. 24)
Бұл жерде
электр өрісінің кернеулігінің векторы;
- электр зарядтарының көлемдік тығыздығы;
- ортаның диэлектрлік өткізгіштігі;
- электрлік тұрақты шама. (1. 23) теңдеу құйындық электр өрістерінің жоқ екенін көрсетеді.
Егер ток өткізбейтін орта біртекті болса
және көлемде электр зарядтары жоқ немесе тепе-тең қалыпта болса, онда (1. 24) -ші теңдеу былайша жазылады:
. (1. 25)
Электр өрісінің
кернеулігі
электр потенциалымен мынадай байланыста [1, 3]
(1. 26)
болғандықтан (1. 26) теңдікті (1. 5), (1. 15) және (1. 16) өрнектерін ескере отырып (1. 25) теңдікке қойсақ, онда Лаплас теңдеуін векторлық түрде аламыз:
. (1. 27)
Бұл теңдеу дербес туындылар түрінде былайша:
, (1. 28)
ал операторлық түрде былайша:
(1. 29)
жазылады.
1. 2. 2 ПУАССОН ТЕҢДЕУІ
Жалпы жағдайда Пуассон теңдеуі векторлық түрде былайша жазылады [1, 3] :
. (1. 30)
Бұл жерде
- белгісіз функция;
- тәуелсіз айнымалылардың функциялары.
Дербес туындылар арқылы (1. 30) теңдеу былайша жазылады:
(1. 31)
немесе, операторлық түрде:
. (1. 32)
Бұл жерде
- Наббл операторы:
. (1. 33)
Соңғы (1. 30) - (1. 32) өрнектерден Пуассон теңдеуі Лаплас теңдеуінің оң жағы нолге тең болмаған кездегі түрі екенін көреміз. Осы айтылғанды жоғарыда келтірілген есептерден көрсетейік.
Векторлық түрде (1. 13) теңдеумен сипатталатын
үшөлшемді кеңістіктің
бетімен қоршалған
көлеміндегі жылу таралуының стационар есебін қарастырайық.
Егер
көлемінде жылу көздері бар
және орта біртекті болмаса
, онда (1. 13) дербес туындылы теңдеу былайша жазылады:
. (1. 34)
немесе, операторлық түрде:
. (1. 35)
Егер орта біртекті болса
, онда
шамасын (1. 34) өрнекте дербес туындының сыртына, ал (1. 35) өрнекте Наббл операторының сыртына шығарып жібереміз. Нәтижесінде Пуассон теңдеуінің жеке түрін аламыз:
(1. 36)
немесе, операторлық түрде:
. (1. 37)
Егер орта анизотропты болса, басқаша айтқанда, жылуөткізгіштік коеффициенті
жылудың таралу бағытына тәуелді
(1. 38)
тензор болса, онда (1. 34) теңдеу былайша түрленеді [1] :
. (1. 39)
Бұл жерде
кеңістігі
- ке сәйкес келеді.
Егер
тензорында бас диагональдың элементтерінен басқа элементтер түгел нольге тең болса (
үшін
), онда (1. 39) теңдеу былайша жазылады:
. (1. 40)
Диффузия процестері диффундирленетін зат бар болса
және орта біртекті емес болса
векторлық түрдегі Пуассон теңдеуімен сипатталады:
. (1. 41)
Бұл теңдеу дербес туындылар арқылы:
(1. 42)
немесе, операторлық түрде былайша жазылады:
. (1. 43)
Біртекті орта үшін
(1. 43) теңдеуін (1. 36) сияқты былайша жазуға болады:
(1. 44)
немесе, операторлық түрде:
. (1. 45)
Электр зарядтары бар кезде ток өткізбейтін ортада электр өрісінің таралуы туралы есеп (1. 23), (1. 24) теңдеулерімен сипатталады. Векторлық түрде (1. 26) өрнекті ескере отырып былайша жазуға болады:
. (1. 46)
Бұл теңдеуді дербес туындылар түрінде былайша
(1. 47)
немесе, операторлық түрде:
(1. 48)
жазуға болады.
Біртекті орта үшін (1. 47) теңдеу былайша жазылады:
(1. 49)
немесе, операторлық түрде
(1. 50)
түрінде жазылады.
Айта кету керек, жоғарыда қарастырылған, Лаплас немесе Пуассон теңдеулерімен сипатталатын стационарлық жылуөткізгіштік процесі процесс бейстационар болған кезде математикалық физика теңдеулерінің басқа класы, параболалық теңдеумен сипатталады. Бұл теңдеу (1. 35) теңдеудің толықтырылған түрі және келесі түрлендірулер нәтижесінде (1. 6) Фурье заңынан алынады [2] .
Үшөлшемді
кеңістіктің
бетімен қоршалған
көлеміндегі жылутаралудың бейстационар есебін қарастырайық.
Уақыттың
аралығында
бетімен қоршалған
көлемінен бөлініп шығатын жылу мөлшерін былайша есептеуге болады:
. (1. 51)
Бұл жерде
уақыттың бір өлшемінде
бетімен қоршалған
көлемінен бөлініп шығатын жылудың (1. 8) интегралмен есептелетін толық мөлшері.
Жүйенің тепетеңдіксіз жағдайы қарастырылып отырғандықтан жылудың келесі өрнекпен анықталатын бір
бөлігі
көлеміндегі температураның уақыт бойынша өзгеруіне жұмсалады:
. (1. 52)
Бұл жерде
-
көлеміндегі температураны бір градусқа өзгертуге қажетті жылудың толық мөлшері;
- уақыттың
аралығындағы
көлемінің температурасының өзгеруі.
Жылудың қалған
бөлігі көлемді қоршап тұрған ауданы
беттен ағып өтеді:
. (1. 53)
Бұл жерде
уақыттың бір өлшемінде
беттен ағып өтетін жылудың (1. 7) - ші интегралмен анықталатын толық мөлшері.
Басқаша айтқанда, бейстационар жағдайда мынадай теңдеу орын алады:
. (1. 54)
Жалпы жағдайда біртекті емес орта үшін
көлемінің температурасын бір градусқа өзгертуге қажетті жылудың толық мөлшері келесі өрнекпен
(1. 55)
анықталатынын ескерсек, онда (1. 55), (1. 7) және (1. 8) өрнектерін (1. 54) теңдеуге қойып (1. 10) Остроградский-Гаусс теоремасын қолдансақ мынадай қатынас аламыз:
. (1. 56)
Бұл жерде
- заттың тығыздығы;
- заттың меншікті жылу сиымдылығы.
Соңғы теңдіктегі интеграл астындағы өрнектерді сыртқа шығарып теңдіктің екі жағын да
-ға бөлсек және нәтижесіне (1. 6) Фурье заңын қойсақ, онда жылуөткізгіштіктің бейстационар теңдеуін векторлық түрде жаза аламыз:
. (1. 57)
Бұл теңдеу операторлық түрде былайша жазылады:
. (1. 58)
1. 3 ШЕКАРАЛЫҚ ЖӘНЕ БАСТАПҚЫ ШАРТТАР
Жоғары математика курсынан әдетте дифференциалдық теңдеулердің жалпы жағдайда шексіз көп шешімдері болатыны белгілі. Себебі, дифференциалдық теңдеулерді интегралдау кезінде пайда болатын белгісіз тұрақты шамалардың кез келген мәндері берілген дифференциалдық теңдеулерді қанағаттандырады [6] .
Математикалық физика есептерін шешу белгілі бір физикалық шамалардың координаталар мен уақытқа тәуелділігін анықтаумен байланысты. Алынған шешім әрқашан жалғызмәнді, шекті және үзіліссіз болу керек [6] . Басқаша айтқанда, математикалық физиканың кез келген есебі жалғыз ғана шешімді (егер ол бар болса) табуды талап етеді. Сондықтан физикалық есептің математикалық қойылуы ізделіп отырған функцияны қарастырылып отырған аймақтың ішкі нүктелерінде сипаттайтын негізгі теңдеулермен бірге (дербес туындылы дифференциалдық теңдеулер) қосымша теңдеулерді де қамтуы керек. Қосымша теңдеулер (дифференциалдық немесе алгебралық) белгісіз функцияның уақыттың әрбір сәтіндегі шекаралық мәндерін және оның уақыттың алғашқы сәтіндегі қарастырылып отырған аймақтың ішкі нүктелеріндегі мәндерін сипаттайды. Аталған қосымша теңдеулер есептің шекаралық және бастапқы шарттары деп аталады.
1. 3. 1 ШЕКАРАЛЫҚ ШАРТТАР
Кезкелген
аймағында математикалық физика теңдеуімен сипатталатын белгілі бір есепті шешу қажет болсын делік. Есептің жалғыз ғана шешімін табу үшін шекаралық шарт белгілі болу керек, басқаша айтқанда, белгісіз айнымалылардың
аймағының
шекаралық бөлігіндегі мәндерін нақты теңдеулермен беру керек.
Егер
аймағы үшөлшемді кеңістіктегі кезкелген көлем болса, онда
берілген көлемді қоршап тұрған тұйық бет болады. Егер
аймағы екіөлшемді кеңістіктегі кезкелген бет болса, онда
берілген бетті қоршап тұрған тұйық контур болады. Ең соңында, егер
аймағы бірөлшемді кеңістіктегі кезкелген кесінді болса, онда
берілген кесіндінің екі шеткі нүктесі болады.
Шекаралық шарттарды беретін теңдеулердің түріне қарап оларды бірінші текті (Дирихле шарттары), екінші текті (Нейман шарттары) және үшінші текті деп бөледі [2] .
Бірінші текті шекаралық шарттар немесе Дирихленің шекаралық есебі былайша беріледі:
болғанда
. (1. 59)
Бұл жерде
- ізделіп отырған белгісіз функция;
-
шекарасында берілген кезкелген функция;
- шекаралық нүктенің кеңістіктегі координаталары (мысалы, үшөлшемді кеңістік үшін
) ;
- уақыт.
Егер жылуөткізгіштік есебі қарастырылып отырса, онда бірінші текті шекаралық шарт
шекарасындағы температураны береді. Ток өткізбейтін ортадағы элетростатикалық өрістің таралуы есебінде бірінші текті шекаралық шарт
шекарасындағы электр потенциалын береді және т. б.
Екінші текті шекаралық шарттар немесе Нейманның шекаралық есебі былайша беріледі:
болғанда
. (1. 60)
Бұл жерде
-
шекарасының ішкі нормалі.
Басқаша айтқанда, Нейман шарттары шекарадағы ағынды, дәлірек айтсақ, ағын векторының шекараға түсетін нормальға проекциясын береді. Мысалы, жылуөткізгіштік есептерінде екінші текті шекаралық шарттар жылу ағынын береді, ал ток өткізбейтін ортада электростатикалық өрістің таралуы туралы есепте - электр өрісінің кернеулігінің векторының шекараға түсетін нормальға проекциясын береді және т. б.
Үшінші текті шекаралық шарттар Дирихле мен Нейман есептерінің жалпыланған түріне жатады және былайша жазылады:
болғанда
. (1. 61)
Бұл жерде
- координаталар мен уақыттың белгілі функциялары. Мысалы, жылу есептерінде үшінші текті шекаралық шарттар шекарадағы конвективті жылу алмасу мен сәулелік жылу алмасуды беруге пайдаланылады.
Ньютон заңына сәйкес, қатты дененің бетінен уақыттың бір өлшемінде газды немесе сұйық ортаға берілетін немесе олардан алынатын жылу ағынынының тығыздығы былайша анықталады:
. (1. 62)
Бұл жерде
- конвективті жылу алмасу коэффициенті;
- қатты дененің бетінің температурасы;
- қоршаған ортаның температурасы [6] .
Шекараға нормальдың бойындағы жылу ағынының тығыздығына (1. 6) Фурье заңын қолдансақ және (1. 62) және (1. 6) теңдеулерінің оң жақтарын өзара теңестірсек үшінші текті шекаралық шарттарды аламыз:
; (1. 63)
. (1. 64)
Больцман заңына сәйкес, қатты дененің бетінен уақыттың бір өлшемінде сәуле шашу арқылы бөлінетін жылу ағынынының тығыздығы былайша анықталады:
. (1. 65)
Бұл жерде
- абсолют қара дененің сәуле шашу коэффициенті;
- салыстырмалы сәуле шашу қабілеті немесе дененің қаралық дәрежесі [6] .
Шекараға нормальдың бойындағы жылу ағынынының тығыздығына (1. 6) Фурье заңын қолдансақ және (1. 65), (1. 6) теңдеулерінің оң жақтарын өзара теңестірсек үшінші текті шекаралық шарттарды аламыз:
; (1. 66)
. (1. 67)
(1. 62) -(1. 67) теңдеулерде температура дененің
бетіндегі нүктелердің координаталарының
функциясы.
Ескерте кету керек, әрбір айнымалы үшін шекаралық шарттардың саны дифференциалдық теңдеулердегі туындылардың ретімен анықталады [5] : бірінші ретті теңдеулер үшін - бір шекаралық шарт, екінші ретті теңдеулер үшін - екі, үшінші ретті теңдеу үшін - үш шекаралық шарт және т. б.
1. 3. 2 БАСТАПҚЫ ШАРТТАР
Бейстационар, уақыт бойынша өзгеріп отыратын физикалық процестерді сипаттайтын есептердің жалғыз ғана шешімін табу үшін шекаралық шарттармен бірге бастапқы шарттарды да беру керек. Бастапқы шарттар айнымалылардың немесе олардың градиенттерінің қарастырылып отырған
аймағының
шекаралық нүктелерінен бөлек ішкі нүктелеріндегі уақыттың бастапқы сәтіндегі мәндерін қамтиды
:
болғанда
;
болғанда
;
болғанда
.
Бұл жерде
- ізделіп отырған белгісіз функцияның уақыттың бастапқы сәтіндегі мәні;
- координаталардың белгілі функциялары.
Шекаралық шарттар сияқты, бастапқы шарттардың саны да дифференциалдық теңдеулердегі уақыт бойынша туындылардың ең үлкен ретімен анықталады [5] .
2 ЭЛЛИПСТІК ТЕҢДЕУЛЕРДІҢ ЕСЕПТЕРІН ШЕКТІ
АЙЫРЫМДАР ӘДІСІМЕН ШЕШУ
2. 1 ПУАССОННЫҢ БІРӨЛШЕМДІ ТЕҢДЕУІН ШЕКТІ
АЙЫРЫМДАР ӘДІСІМЕН ШЕШУ
Пуассонның бірөлшемді
(2. 1)
түріндегі теңдеуін қарастырайық [2] . Бұл жерде
- координата;
- ізделіп отырған функция;
-
кесіндісінің
нүктелерінде Дирихле немесе Нейманның шекаралық шарттары берілген үзіліссіз функция.
Енді
кесіндісінде қадамы
біркелкі координаталық торды берейік:
. (2. 2)
Қарастырылып отырған есеп үшін бірінші текті шекаралық шарттарды (Дирихле) мынадай түрде беруге болады:
; (2. 3)
. (2. 4)
Бұл жерде
-
аймағының шекаралық нүктелерінің координаталары;
- кез келген тұрақты шамалар.
Қарастырылып отырған есеп үшін екінші текті шекаралық шарттарды (Нейман) мынадай түрде беруге болады:
; (2. 5)
. (2. 6)
Шекаралық шарттарды (2. 2) координаталық торда шекті айырымдар әдісі бойынша дискреттесек:
; (2. 7)
(2. 8)
мәндерін аламыз. Бұл жерде
шамалары
функциясының
нүктелеріндегі мәндері.
Сол сияқты Нейманның шекаралық шарттарын (2. 2) торында дискреттеп
; (2. 9)
; (2. 10)
мәндерін аламыз.
Енді (2. 1) теңдеуін тордың ішкі нүктелерінде дискреттесек
(2. 11)
- Іс жүргізу
- Автоматтандыру, Техника
- Алғашқы әскери дайындық
- Астрономия
- Ауыл шаруашылығы
- Банк ісі
- Бизнесті бағалау
- Биология
- Бухгалтерлік іс
- Валеология
- Ветеринария
- География
- Геология, Геофизика, Геодезия
- Дін
- Ет, сүт, шарап өнімдері
- Жалпы тарих
- Жер кадастрі, Жылжымайтын мүлік
- Журналистика
- Информатика
- Кеден ісі
- Маркетинг
- Математика, Геометрия
- Медицина
- Мемлекеттік басқару
- Менеджмент
- Мұнай, Газ
- Мұрағат ісі
- Мәдениеттану
- ОБЖ (Основы безопасности жизнедеятельности)
- Педагогика
- Полиграфия
- Психология
- Салық
- Саясаттану
- Сақтандыру
- Сертификаттау, стандарттау
- Социология, Демография
- Спорт
- Статистика
- Тілтану, Филология
- Тарихи тұлғалар
- Тау-кен ісі
- Транспорт
- Туризм
- Физика
- Философия
- Халықаралық қатынастар
- Химия
- Экология, Қоршаған ортаны қорғау
- Экономика
- Экономикалық география
- Электротехника
- Қазақстан тарихы
- Қаржы
- Құрылыс
- Құқық, Криминалистика
- Әдебиет
- Өнер, музыка
- Өнеркәсіп, Өндіріс
Қазақ тілінде жазылған рефераттар, курстық жұмыстар, дипломдық жұмыстар бойынша біздің қор #1 болып табылады.

Ақпарат
Қосымша
Email: info@stud.kz