Комплекс айнымалы дифференциал функция


&4. Комплекс айнымалы дифференциал функция.
Коши - Риман шарты
функциясы
комплекс айнымалысының
облысының кейбір нүктесінде анықталған болсын.
және
нүктелері
облысына жататын болсын. Бұдан
.
Анықтама 1.
функциясы
нүктесінде дифференциалданған
деп аталады, егер
нүктесінде
қатынасының соңғы шегі шартты түрде нөлге ұмтылатын болса. Бұл шек
нүктесінде берілген
функцияның
туындысы
деп аталады және
(немесе
немесе
) өрнегі арқылы белгіленеді, сондықтан анықтама бойынша
. (1)
Егер
болса, онда әр нүктеде дифференциалданатын
функциясы орындайтын қатынастарды
(2)
Коши - Риман шарты деп атайды.
Керісінше, егер
кейбір нүктелерінде
және
функциялары
және
нақты айнымалылар сияқты дифференциалданатын, және сонымен қатар, (2) теңдікті қанағаттандыратын болса; онда
функциясы
нүктесінде комплекс
айнымалы функциясындай дифференциалданатын болады.
Анықтама 2.
функциясы
нүктесінде аналитикалық
деп аталады, егер
нүктесінде, сонымен қатар оның маңында дифференциалданатын болса.
функциясы
облысында
аналитикалық
деп аталады, егер ол осы облыстың әр нүктесінде дифференциалданатын болса. Кез келген аналитикалық
функциясы үшін
(3)
Мысал 1.
Комплекс жазықтығында
аналитикалық функция болатындығын көрсетіңіз.
Шешімі.
сондықтан да,
және
функциялары
және
тұрақты айнымалы функциялар сияқты кез келген
нүктесінде дифференциалданады (кез келген тәртіптегі үздіксіз жекеленген туындылары) және (2) шартты қанағаттанадырады.
Демек,
функциясы барлық жерде аналитикалық.
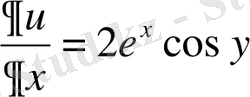
үшін (3) формуласына сәйкес мынаны аламыз:
Осылайша,
.
Мысал 2
.
функциясы ең болмаса бір нүктеде аналитикалық бола ма?
Шешімі.
сондықтан да,
Коши - Риман шарты бұл жағдайда мына түрге ие
және
нүктесінде ғана қанағаттандырады.
Демек,
функциясы тек қана
нүктесінде дифференциалданады және басқа еш жерде аналитикалық емес.
1 анықтаманы пайдаланып,
функциясы
нүктесінде көрсетеміз. Шын мәнінде,
, сондықтан
және
Осылайша,
туындысы бар және ол нөлге тең.
Мысал 3.
функциясы аналитикалық бола ма?
Шешімі.
Мұнда
функциясы
және
айнымалыларының барлық нүктесінде дифференциалданады. Әрі қарай,
Сондықтан
, яғни Коши - Риманның бірінші шарты комплекс жазықтығының бірде-біреуінде орындалмайды.
функциясы ешбір нүктеде дифференциалданбайды, демек, аналитикалық емес.
Коши - Риман шарттарын пайдаланып, келесі функциялардың қайсысы ең болмағанда бір нүктеде аналитикалық болатындығы, қайсысы болмайтындығын анықтау керек:
104.
а)
; б)
; в)
; г)
; д)
; е)
105.
а)
б)
в)
г)
106.
облысында
аналитикалық функция болатындығын көрсету керек.
107.
- натурал болғанда тікелей есептеуді көрсет:
.
108.
Егер
және
аналитикалық функциялар
шартын қанағаттандыратын болса, онда
болатындығын көрсету керек.
109.
декарттық координат жүйесінен
полярлыққа өту кезінде (2) Коши - Риман шарты мына түрге ие екенін көрсету керек:
(4)
110.
Егер
аналитикалық функциясы кейбір облыста анықталған болса, онда ол тұрақты болатынын көрсет.
111.
Егер
функциясы
облысында аналитикалық болса, онда осы облыста мына теңдік орындалытындығын көрсет:
.
112.
облысында
аналитикалық функция болсын.
және
сызықтар жүйесі ортогоналды болатындығын көрсету керек.
113. Аналитикалық функциясының модуль мен аргументі
арақатынасымен байланысты
Коши - Риман шарттарын пайдаланп,
аналитикалық функциясын қалпына келтіруге болады, егер оның
нақты бөлігі немесе
саналы бөлігі белгілі болса.
Сонымен қатар,
нүктесінің маңында аналитикалық
функциясын келесі формулалардың бірімен қалпына келтіруге болады:
(5)
(6)
мұндағы:
нүктесінде
үшін
- біріктірілген сан.
Мысал 4.
Берілгені бойынша нақты
бөлігі және қосымша шарты
болатын
аналитикалық функциясын табу керек.
Шешімі:
Бірінші тәсіл.
болсын. Коши - Риманның бірінші шарты бойынша
болуы керек, сондықтан
Бұдан
мұнда
функциясы белгісіз.
бойынша
функциясын Коши - Риманның екінші шартын пайдаланып, дифференциалдасақ, мынаған келеміз
мұндағы
демек,
, мұндағы
.
Осылайша,
және бұдан
шартынан
тұрақтысын табамыз, яғни
бұдан
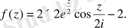
Жауабы:
Екінші тәсіл. (5) формуланы қолданамыз. Бұл мысалда
Демек, (5) формуласы бойынша
екендігін ескеріп, анық
екендігін аламыз.
Мысал 5.
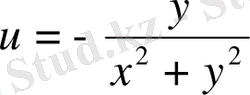
Шарт бойынша
болғандағы саналы
бөлігі арқылы
аналитикалық функциясын табу керек.
Шешімі: (6) формуланы пайдаланамыз. Бұл мысалда
болғандықтан
Белгілі
нақты бөлігі немесе саналы
бөлігін және
мағынасы арқылы
нүктесінің маңында
аналитикалық функциясын қалпына келтіру керек:
114.
a)
б)
в)
115.
а)
б)
в)
116.
а)
б)
Анықтама 3.
функциясы
облысында гармоникалық
деп аталады, егер ол осы облыста үздіксіз жеке туындылары екінші ретке дейін қамтылатын және қанағаттандырылатын осы облыстағы Лаплас теңдеуі мына түрде ие болса
.
Егер
функциясы
облысының кейбір бөлігінде аналитикалық болса, онда оның
нақты бөлігі және
саналы бөлігі осы облыста гармоникалық функция болады.
Бірақ, егер
және
кез келген екі гармоникалық функция болса, онда
функциясы аналитикалық функция болуы міндетті емес:
аналитикалық үшін
және
функциялары қосымша Коши - Риман шартын қанағаттандыру керек.
Гармоникалық екі функция (2) шартты қанағаттандырса, гармоникалық функцияның жіктелген жұбы (жұп функцияның реті сақталған) деп аталады.
117. Келесі функциялардың гармоникалық болатынын көрсету керек:
a)
;
б)
;
в)
;
г)
;
д)
;
е)
.
118.
аналитикалық функциясының нақты және саналы бөлігі келесі функциялар бола ала ма:
a)
;
б)
;
в)
;
г)
.
119.
үшмүшесі қандай жағдайда гармоникалық функция болады?
Келесі мысалдарда берілген
жұптары гармоникалық функциялар. Осылардың ішінен гармоникалық функцияның жіктелген жұбын тап.
120.
а)
;
б)
;
в)
;
г)
.
121.
-
облысында гармоникалық функция болсын, оның үзіліссіз жеке туындысы кез келген ретте болсын.
облысында соңғылары да гармоникалық функция болатындығын көрсету керек.
122.
облысында
функциясы гармоникалық болсын.
облысында
функциясы гармоникалық болатын барлық
функциясын табу керек.
123.
облысында
аналитикалық функция болсын.
облысында
а)
; б)
; в)
қай функция гармоникалық болады?
124.
облысында гармоникалық көбейтіндінің жіктелуі
функцияларының
облысында гармоникалық болатынын дәлелдеу керек.
125.
жіктелген жұп
облысында гармоникалық болсын.
облысында келесі жұп функциялардың қайсысы жіктелген гармоникалық функция:
a)
;
б)
;
в)
?
Мысал 6.
түріндегі тұрақты емес барлық гармоникалық функцияны табу керек.
Шешімі. Ізделінді функция гармоникалық болуы қажет, өйткені олар мына Лаплас теңдеуін қанағаттандыруы тиіс
(7)
Берілген функцияны (7) теңдеумен ауыстырамыз. Бұл үшін оның екінші ретті туындысын табу қажет.
болсын. Онда
болады, мұндағы
. Шарт бойынша күрделі функцияларды дифференциалдап, мынаған келеміз
Соңғы екі теңдеуді қосу арқылы мынаған келеміз
немесе
.
функциясын табу үшін Эйлер теңдеуін аламыз
жалпы шешім мына функция
Осылайша, ізделінді гармоникалық функция мына түрге ие
.
Келесі тапсырмаларда барлық көрсетілген түрлердің гармоникалық функцияларын табу керек:
126.
тұрақтылар.
127.
128.
.
129.
.
130.
.
131.
.
Модульдің геометриялық мағынасы және туындының дәлелдері
нүктесінде
функциясы аналитикалық болсын және
. Бұдан
жазықтығынан
жазықтығына
функциясын бейнелегенде
нүктесінде
созылу коэффициентіне тең; дәлірек айтқанда:
кезінде созылу,
- қысылу болады.
геометриялық туындының дәлелдері бұрышқа тең,
нүктесін,
кез келген тегіс қисыққа қатысты бұру қажет, нүктеге
нүктесі арқылы өтетін
тәуелді бағыт алу үшін
бейнелеген кезде бұл қисықтың кескініне
. Егер
болса, онда бұрылу сағат тіліне қарама-қарсы өтетінін ескерсек,
сағат тілімен бағыттас.
Мысал 7.
нүктесінде
бейнелеуінде созылу коэффициентін және бұрылу бұрышын табу қажет.
Шешімі.
болса, онда
.
Күрделі санның алгебралық формасынан
тригонометриялық түрге өтуінен мынаған келеміз
.
Бұдан,
,
демек созылу коэффициенті
, ал бұрылу бұрышы
.
Берілген нүктеде берілген
кескіндері үшін
созылу коэффициенті мен
бұрылу бұрышын табу қажет:
132.
a)
және
нүктелерінде
;
б)
және
нүктелерінде
;
в)
және
нүктелерінде
.
- Іс жүргізу
- Автоматтандыру, Техника
- Алғашқы әскери дайындық
- Астрономия
- Ауыл шаруашылығы
- Банк ісі
- Бизнесті бағалау
- Биология
- Бухгалтерлік іс
- Валеология
- Ветеринария
- География
- Геология, Геофизика, Геодезия
- Дін
- Ет, сүт, шарап өнімдері
- Жалпы тарих
- Жер кадастрі, Жылжымайтын мүлік
- Журналистика
- Информатика
- Кеден ісі
- Маркетинг
- Математика, Геометрия
- Медицина
- Мемлекеттік басқару
- Менеджмент
- Мұнай, Газ
- Мұрағат ісі
- Мәдениеттану
- ОБЖ (Основы безопасности жизнедеятельности)
- Педагогика
- Полиграфия
- Психология
- Салық
- Саясаттану
- Сақтандыру
- Сертификаттау, стандарттау
- Социология, Демография
- Спорт
- Статистика
- Тілтану, Филология
- Тарихи тұлғалар
- Тау-кен ісі
- Транспорт
- Туризм
- Физика
- Философия
- Халықаралық қатынастар
- Химия
- Экология, Қоршаған ортаны қорғау
- Экономика
- Экономикалық география
- Электротехника
- Қазақстан тарихы
- Қаржы
- Құрылыс
- Құқық, Криминалистика
- Әдебиет
- Өнер, музыка
- Өнеркәсіп, Өндіріс
Қазақ тілінде жазылған рефераттар, курстық жұмыстар, дипломдық жұмыстар бойынша біздің қор #1 болып табылады.

Ақпарат
Қосымша
Email: info@stud.kz