Трансцендентті теңдеулер мен теңсіздіктер


Мазмұны
- Көрсеткіштік теңсіздіктерТеориялық сұрақтарТест-тапсырмаларБақылау тапсырмаларыҰлттық бірыңғай тестілеуде берілген тапсырмаларЖауабы
- Логарифмдік теңсіздіктерТеориялық сұрақтарТест-тапсырмаларБақылау тапсырмаларыҰлттық бірыңғай тестілеуде берілген тапсырмаларЖауабы
- Тригонометриялық теңсіздіктерТеориялық сұрақтарТест-тапсырмаларБақылау тапсырмаларыҰлттық бірыңғай тестілеуде берілген тапсырмаларЖауабы
- Кері тригонометриялық функциялары бар теңсіздіктерТеориялық сұрақтарТест-тапсырмаларБақылау тапсырмаларыЖауабы
§1 Көрсеткіштік теңсіздіктер
Көрсеткіштік теңсіздіктің түрлері мен оларды шешу тәсілдерін қарастырудан бұрын ең алдымен көрсеткіштік функциялардың қасиеттерін, көрсеткіштік теңдеулердің қарапайым түрлерін шешу тәсілдерін білу қажет.
Көрсеткіштік теңсіздіктерді шешу тәсілдері негізінен көрсеткіштік теңдеулерді шешудің әдіс амалдарымен сабақтасып жатады.
тұжырымдамасына сүйеніп, көрсеткіштік теңсіздіктерде де негізін түсіріп жазуға болады, бірақ
1° егер
және
;
2° егер
және
болады, мұндағы ∨ белгісі >, <, ≥, ≤ төрт белгінің біреуі ретінде түсінеміз деп айтылған.
Ал ∧ белгісі берілген белгіге қарама-қарсы белгі деген сөз. Демек, көрсеткіштік теңсіздіктегі өрнектердің негіздері бірдей болса, негіздерін түсіріп жазуға болады, бірақ негізі бірден үлкен болса, теңсіздік мағынасы сақталынады.
Ал негізі бірден кіші болса, қарама-қарсыға өзгереді.
Мысалы.
1)
себебі негізі бірден үлкен
болады
2)
себебі негізі бірден
кіші сан.
Бұл тақырыпты талдауды көрсеткіштік теңсіздіктердің қарапайым дербес түрлерін шешуден бастайық:
І
(≥) түрлеріндегі теңсіздік,
мұнда
а
>0 және
а
≠1 (үлкен және кіші емес (≥) екі жағдайды бірдей қарастырамыз) :
1) Егер
немесе
болса, онда теңсіздіктің шешімі кез келген сан болады яғни
х
∈R;
2) Егер
болса, онда
b
-ның қабылдайтын мәндеріне байланысты және негізіне байланысты бірнеше дербес жағдайларына тоқталайық:
а)
және
болсын, онда
;
б)
және
болсын, онда
;
в)
және
b
кез келген сан, онда
;
г)
және
болсын, онда
;
д)
және
болса, онда
;
е)
және кез келген
b
саны үшін
болады.
Демек көрсеткіштік өрнектің негізі бірден үлкен болса, негізін түсіргенде теңсіздік мағынасы сақталынады, ал негізі бірден кіші болса, онда теңсіздік мағынасы қарама-қарсыға өзгеретіндігін үнемі есте ұстаған жөн.
Мысалдар. Теңсіздіктерді шешіңіз
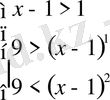
1)
Шығарылуы. а =3 негізі бірден үлкен b =1, демек х >0.
2)
Шығарылуы. b =-9 теріс сан, демек х ∈R .
3)
Шығарылуы.
а
=3,
b
=
бірақ, ол да 3-негізіне келтірімді
,
=>
.
4)
Шығарылуы.
а
=3,
b
=6 бірақ, 6 саны 3 негізіне келтірілмейді, демек
.
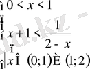
5)
Шығарылуы.
,
b
=1 негізі бірден кіші
х
<0.
6)
Шығарылуы.
,
, негіздерін бірдей түрге келтіріміз
, негіздері бірден кіші,
х
<-3.
7)
Шығарылуы.
Сандық шамалары ұқсас болғанымен бірдей негізге келтірілмейді, демек жауап логарифм арқылы өрнектеледі
.
8)
Шығарылуы.
Көрсеткіштік өрнектердің негіздері әртүрлі, бірақ
екенін ескерсек теңсіздіктің екі жағын да
бөлеміз.
Біз жоғарыдағы мысалдарда тек үлкен (>) жағдайын қарастырдық, дәл осы санды кіші емес (≥) жағдайы да есептелінеді.
Мысалы. Теңсіздікті шешіңіз
9)
Шығарылуы.
.
Демек
.
10)
Шығарылуы.
.
Демек
.
11)
Шығарылуы. Теңсіздіктің екі жағында 3-ке қысқартамыз.
, яғни
,
b
=0, бұдан шешім кез келген сан деген қортындыға келеміз.
Табылған теңсіздіктер шешімдерінің дұрыстығына көз жеткізу үшін, қарастырылып отырған аралықтан кез келген санды айнымалының орнына қойғанда, дұрыс мағыналы сандық теңсіздік алыныды.
Мысалы.
2-ден үлкен кез келген сан теңсіздікті қанағаттандырады
немесе
керісінше х =2 немесе одан кіші сан болса, онда теңсіздік мағынасы болмайды.
олай болуы мүмкін емес.
бұрыс теңсіздік.
II
(≤) түріндегі теңсіздік (
а
>0,
а
≠1)
Бұл түрдегі теңсіздік (I) түрдегімен қарама-қарсы мағынада болғандықтан, шешім де қарама-қарсы мағынада жазылады.
- Егерb<0 немесеb=0 болса, онда теңсіздіктің шешімі болмайды.
- Егерb>0, ал көрсеткіштік өрнектің негізі бірден үлкен болса, негіздері түсірілгенде теңсіздік мағынасы сақталынады, негізі бірден кіші болса, негіздері түсірілгенде таңба қарама-қарсыға өзгеруіне сүйенеміз.
11)
Шығарылуы. а =7, b =1 => х >0.
12)
Шығарылуы.
.
13)
Шығарылуы.
.
14)
Шығарылуы
.
III
немесе
түріндегі теңсіздіктер,
деп белгілеп жаңа айнымалы енгізу арқылы қарапайым стандартты түрдегі теңсіздіктерге келтіріледі.
Мысалы. Теңсіздіктерді шешіңіз
15)
деп белгілеп,
квадрат теңсіздігін аламыз.
D
=25,
онда оның шешімі
арқылы өрнектелінеді.
Бастапқы айнымалаға қайта көшсек,
. Бірінші теңсіздіктің шешімі жоқ, екіншіде
х
>1.
Жауап: (1; +∞) .
16)
Шығарылуы.
Көрсеткіштік өрнек 4, 25, 10 үш түрлі негізде берілген, сондықтан бір негізге келтіру үшін, теңсіздіктің екі жағын да
-бөлеміз. Нәтижесінде
теңсіздігінен
аламыз.
деп белгілесек,
болады.
,
.
Бөлшек бөлімі әрқашанда оң мәнді екенін ескеріп
теңсіздігін аламыз.
у
айнымалысын бастапқы өрнекпен қайта алмастырсақ
.
Жауап
.
17) Теңсіздікті шешіңіз
Шығарылуы.
деп белгілесек
теңсіздігін аламыз.
екенін ескеріп, теңсіздіктер жүйесін аламыз
Бастапқы айнымалыға қайта көшсек
.
Жауап
.
IV
түріндегі теңсіздік
,
мұндағы
кез келген рационал функция.
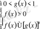
- Егернемесеболса, онда тесңсіздіктің шешіміфункциясының анықталу облысымен сәйкес келеді.
- Егерболса, көрсеткіштік өрнектің негізіне баса назар аударамыз
а)
б)
Мысалдар . Теңсіздіктерді шешіңіз
17)
Шығарылуы.
негізі бірден кіші, демек негіздерін түсіріп жазғанда теңсіздік таңбасы қарама-қарсыға өзгереді
.
Аралықтар тәсілі арқылы шешімін жазамыз. Жауап
.
18)
Шығарылуы.
2 мен 3 бірдей негізге келтірілмейді, демек 2 негізінде логарифмдейміз
.
19) а)
Шығарылуы.
Теңсіздіктің оң жағы теріс сан. Демек, шешім
функциясының анықталу облысымен сәйкес келеді.
б)
Шығарылуы.
функциясының анықталу облысы
.
в)
Шығарылуы.
функциясының анықталу облысы
.
Жауап
.
V
түріндегі теңсіздіктер
кез келген рационал функция.
1) Егер
немесе
болса, онда теңсіздіктің шешімі болмайды.
2) Егер
болса, көрсеткіштік өрнектің негізіне баса назар аударамыз.
а)
б)
Мысалдар. Теңсіздіктерді шешіңіздер
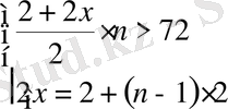
20)
Шығарылуы.
теңсіздіктің сол жағындағы қосынды арифметикалық прогрессияның мүшелерінің қосындысын береді.
.
Бұдан
жүйені аламыз.
Прогрессия мүшелерінің саны оң санмен өрнектелінетіндіктен жауап
.
21)
Шығарылуы.
. Жауап
.
VІ
түріндегі теңсіздіктер
және
мұндағы
- рационал функциялар.
1) а мен в сандары бірдей негізге келтірілетін болса, келтіріп, негіздерін түсіріп жазамыз
Мысал.
Теңсіздікті шешіңіз
22)
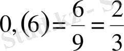
Шығарылуы. Негіздері әртүрлі, сондықтан түрлендіріп бірдей түрге келтіруге тырысамыз. Екіншіден 0, (4) және 0, (6) периодты ондық бөлшектер, демек
және
.
.
Өрнектердің негіздері бірдей және бірден кіші болғандықтан негіздерін түсіріп, теңсіздік таңбасын қарама-қарсыға өзгертіп жазамыз
.
Жауап
.
23)
Шығарылуы.
нәтижесінде
. Негізі бірден үлкен, демек негіздерін түсіріп жазғанда, теңсіздік мағынасы сақталынды
,
.
Жауап
.
VІІ
түріндегі теңсіздік,
мұндағы
,
кез келген элементар функциялар.
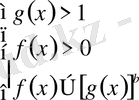
Бұл тұрғыдағы теңсіздіктерді шешу үшін көрсеткіштік функцияның қасиеттеріне сүйеніп, зерттеулер жүргіземіз.
1)
онда бастапқы теңсіздік шешімі
функциясының анықталу облысының қиылысуы болады.
2)
онда, көрсеткіштік өрнектің негізіне тәуелді теңсіздік аламыз және
теңдігімен алмастырамыз. Нәтижесінде
егер
егер
теңсіздіктер жүйесін шешеміз.
Мысалы . Теңсіздікті шешіңіз
24)
Шығарылуы.
1)
функциясының анықталу облысы
, демек
.
2)
болсын, онда
Жауап
.
2-тәсіл.
екенін ескерсек, берілген теңсіздік
теңсіздіктер жүйесінің шешімі
.
VІІІ
түріндегі теңсіздіктер.
Бұл жағдайда
болуы мүмкін емес, себебі шешім болмайды. Демек теңсіздік
теңсіздіктер жүйесіне келтіріледі.
Мысал . Теңсіздікті шешіңіз
25)
Шығарылуы.
ІХ
түріндегі теңсіздіктер,
мұнда
және
.
және
кез келген элементар функциялар. Бұл түрдегі теңсіздіктер төменгі екі системаға жіктелінеді.
1)
және 2)
осы жүйелердің шешімі бастапқы теңсіздіктің шешімі болады.
Мысалдар. Теңсіздіктерді шешіңіз
26)
Шығарылуы.
1)
және 2)
Әрбір жүйені жеке-жеке шешеміз:
1)
;
2)
.
Жауап
.
27)
Шығарылуы.
1)
және 2)
.
Әрбір жүйені жеке-жеке шешеміз
1)
;
2)
.
Жауап
.
Көрсеткіштік теңсіздіктерді шешуде оларды түрлендіріп, стнадартты түрге келтірумен қатар, басқа да әдіс-тәсілдерді қолдана білген тиімді:
а) аралықтар тәсілі:
Берілген трансценденттік өрнектерді теңсіздіктің бір жағына шығарып, көбейткіштерге жіктейміз.
Әрбір көбейткішті нольге теңестіру арқылы, берілген теңсіздіктің анықталу облысындағы нольдерін тауып, сол нүктелер арқылы анықталу облысын белгілі бір аралықтарға бөлеміз. Әрбір аралықта өрнектің таңбасын анықтаймыз. Таңбалар қисығын жүргіземіз. Тапсырма шартына сәйкес қажетті аралықты, штрихтау арқылы белгілеп, жауабын анықтаймыз.
Мысалы. Теңсіздікті шешіңіз
28)
Шығырылуы.
.
Демек
Жауап
.
29) Теңсіздікті шешіңіз
Шығарылуы.
Әрбір көбейткішті нөлге теңестіру арқылы, өрнектің мәндерін табамыз. Олар
. Демек, сан өсі
аралықтарына бөлінеді. Әрбір аралықта өрнектің таңбасын анықтаймыз, яғни
Жауап
.
б) графиктік тәсіл:
Қайсыбір жағдайларда бұл тәсілдің тиімділігі айқын сезіледі. Ол үшін координаталар жазықтығына теңсіздіктегі қарапайым функциялардың графиктерін салып, олардың қисықтары бойындағы теңсіздік шартын қанағаттандыратын нүктелер жиынын, жауап ретінде көрсетеміз.
Мысалы. Теңсіздікті шешіңіз
30)
Шығарылуы.
Координаталар жазықтығына
және
функцияларының графиктерін саламыз
2 - сурет
Бұдан байқағанымыз
нүктесінен басқа абциссаның барлық мәндері үшін
функциясының графигі
функциясының графигінен жоғары орналасқан. Демек
нүктесінен басқа барлық нүктелер теңсіздік шешімі болады. Жауап
.
31) Теңсіздікті шешіңіз
.
Шығарылуы.
Көрсеткіштік теңдеулер тақырыбындағы бірінші суреттегі
және
функциялар графиктерінің орналасуына назар аударсақ,
аралығында ғана
функциясының графигі
түзуінен төмен орналасады. Демек жауап
.
1. 1 Қайталауға арналған сұрақтар
- Көрсеткіштік теңдеулер мен теңсіздіктерді шешуде қандай сабақтастық бар?
- Қарапайым түрдегі көрсеткіштік теңсіздіктер қалай шешіледі?
- Қандай жағдайларда көрсеткіштік теңсіздіктерге жаңа айнымалы енгізу керек?
- Негіздері бірдей түрге келтірілмесе көрсеткіштік теңсіздікті қалай шешуге болады?
- жәнетеңсіздіктерін шешу тәсілдерінде қандай айырмашылықтар бар?
- түріндегі теңсіздіктердегі- функциялары қандай шарттарды қанағаттандыруы керек.
- теңсіздігіндеболса теңсіздік шешімі қалай табылады?
- Көрсеткіштік теңсіздіктерді графиктік тәсілдер мен шешу алгоритімін еске түсіріңіз.
- Көрсеткіштік теңсіздіктердің шешімдерінің дұрыс, бұрыс табылғандығын қалай тексеруге болады?
- Біртекті көрсеткіштік теңсіздіктерді шешу тәсілдерін айтыңыз.
- а- параметрінің қандай шешіміинтервалы болады?
- теңсіздігінің кез келгенпсаны үшін орындалатынын дәлелдеңіз.
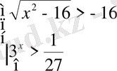
1. 2 Тест тапсырмалар
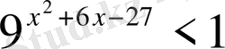
- Теңсіздікті шешіңіз
А)
В)
С)
D)
Е)
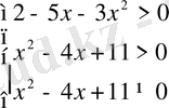
- Теңсіздікті шешіңіз
А)
В)
С)
D)
Е)
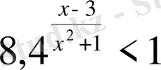
- Теңсіздікті шешіңіз
А)
В)
С)
D)
Е)
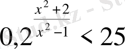
- Теңсіздікті шешіңіз
А)
В)
С)
D)
Е)
- Теңсіздікті шешіңіз
А)
В)
С)
D)
Е)
- Теңсіздікті шешіңіз
А)
В)
С)
D)
Е)
- Теңсіздікті шешіңіз
А)
В)
С)
D)
Е)
- Теңсіздікті шешіңіз
А)
В)
С)
D)
Е)
- Теңсіздікті шешіңіз
А)
В)
С)
D)
Е)
- теңсіздігін шешкенде төмендегі тәсілдердің қайсысын пайдаланған тиімді
А) графиктік В) аралықтар
С) жаңа айнымалы енгізіп, ықшамдаймыз
D)
өрнегіне теңсіздіктің екі жағын да бөлу арқылы
Е)
өрнегіне теңсіздіктің екі жағын да бөлу арқылы
- теңсіздігін шешкенде төмендегі тәсілдердің қайсысымен шығарған тиімді
А) негіздерін түсіріп, сызықты теңсіздікке келтіру нәтижесінде
В) ұқсас мүшелерін біріктіріп, стандартты түрге келтіру
С) жаңа айнымалы енгізу арқылы квадрат теңсіздікке келтіреміз
D) 2-ге бөліп жібереміз
Е) 2 - негізде логарифмдейміз
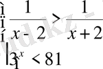
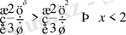
- Теңсіздікті шешіңіз
А)
В)
С)
D)
Е)
- Теңсіздікті шешіңіз
А)
В)
С)
D)
Е)
- Теңсіздікті шешіңіз
А)
В)
С)
D)
Е)
- Теңсіздікті шешіңіз
А)
В)
С)
D)
Е)
- Теңсіздікті шешіңіз
А)
В)
С)
D)
Е)
- Теңсіздікті шешіңіз
А)
В)
С)
D)
Е)
- теңсіздігін төмендегі сандардың қайсысы қанағаттандырады
А) 1 В)
С) 2 D) 0 Е) -1
- теңсіздігін төмендегі тәсілдердің қайсысымен шығарған тиімді
А) х -дәрежеге шығарамыз да түбір деп құтыламыз
В) теңсіздіктің екі жағын да көрсеткіштік өрнектердің біреуіне бөлеміз
С) бір негізге оңай келтіріледі
D) квадтаттаймыз
Е) әрбір қосылғышты нольге теңестіреміз
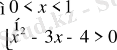
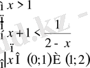
- теңсіздігінің қанша бүтін шешімі бар?
А) шексіз көп В) екі С) төрт
D) сегіз Е) бүтін шешімі жоқ
- Теңсіздікті шешіңіз
А)
В)
С)
D)
Е)
- Теңсіздікті шешіңіз
À)
В)
С)
D)
Е)
- Теңсіздікті шешіңіз
À)
В)
С)
D)
Е)
- теңсіздігін тәсілдердің қайсысымен шығарған тиімді
А) ортақ бөлгішке келтіріп, ықшамдап, көбейткішке жіктеу
В) жаңа айнымалы енгізу арқылы
С) аралықтар тәсілімен
D) теңсіздіктің оң, сол жақтарын жеке-жеке шығарып, ортақ шешімін табу
Е) графиктік тәсіл
- Теңсіздікті шешіңіз
А)
В)
С)
D)
Е)
1. 3 Бақылау тапсырмалары
Теңсіздіктерді шешіңіз:
- ;
- ;
- ;
- ;
- ;
- теңсіздігінің жалғыз ғана шешімі болатынапараметрінің барлық мәндерін табыңыз.
- теңсіздігінің тек қана екі шешімі болатынапараметрінің барлық мәндерін табыңыз. Ол шешімдерді табыңыз.
- теңсіздіктер жүйесінің шешімдер жиынынүктесіне қарағанда симметриялы болатынbпараметрінің барлық мәндерін табыңыз.
- Теңсіздіктерді шешіңіз
- а- параметрінің әрбір мәні үшінтеңсіздігін қанағаттандыратынх-тің барлық мәндерін табыңыз.
1. 4 Ұлттық бірыңғай тестілеуде қолданылған тапсырмалар
Теңсіздіктерді шешіңіз:
,
х
ең үлкен бүтін шешімін тап
,
х
ең үлкен бүтін шешімін тап
Теңсіздіктер жүйелерін шешіңіз:
Жауабы
1. 2 Тест тапсырмалары
1. 3 Бақылау тапсырмалары
1) 2; 2) -2; 3)
; 4)
; 5)
; 6) 3; 7)
; 8)
; 9) 1, 5; 10)
; 11)
; 12)
; 13)
; 14) 3; 15) 1; 16)
және
мәндерінде берілген теңдеудің бір түбірі екіншісінен 3 есе үлкен болады; 17)
, теңдеуінің жалғыз ғана шешімі болады; 18) егер
үшін немесе
үшін теңдеудің шешімі болмайды.
§ 2 Логарифмдік теңсіздіктер
Айнымалы таңба логарифм таңбасы астында немесе негізінде болып келетін теңсіздікті логарифмдік теңсіздік деп айтамыз.
Мысалы.
т. с. с.
Логарифмдік теңсіздіктерді шешу логарифмдік функциялардың қасиеттері мен логарифмдік теңдеулерді шешу тәсілдерімен сабақтасып жатады.
Сонымен қатар логарифмдік теңсіздіктердің шешімі көрсеткіштік теңсіздіктер секілді, логарифмнің негізіне тәуелді. Егер логаримдік өрнектің негізі бірден кіші болса, логаримді түсіріп жазғанда теңсіздік таңбасы қарама-қарсыға өзгереді, ал негізі бірден үлкен болса таңба сақталынады.
функциясының негізі бірден үлкен болса, ол - өспелі, ал бірден кіші болса - кемімелі болатындығынан:
егер
;
егер
.
Логарифмдік теңсіздіктерге қатысты тұжырымдамалар аламыз.
Енді логаримдік теңсіздіктерді шешуді оның ең қарапайым түрлерінен бастайық:
І
- түріндегі теңсіздік,
мұнда
,
b
- кез келген нақты сан.
Негізіне қатысты екі жағдайда қарастырамыз:
егер
болса, онда
;
егер
болса, онда шешім
теңсіздіктері арқылы өрнектелінеді.
Мысалы. Теңсіздіктерді шешіңіз.
1)
. Шығарылуы.
- бірден үлкен, демек
.
2)
. Шығарылуы.
.
3)
. Шығарылуы.
- бірден кіші, олай болса шешім
.
4)
.
Шығарылуы.
.
5)
. Шығарылуы.
.
ІІ
- түріндегі теңсіздік
шешімі (І) түрдегі теңсіздіктің қарама-қарсы жағдайы, яғни:
егер
болса, онда
;
егер
болса, онда
.
Мысалы. Теңсіздіктерді шешіңіз:
6)
. Шығарылуы.
, демек
.
7)
. Шығарылуы.
, демек таңба қарам-қарсыға өзгереді, яғни
.
ІІІ
- түріндегі теңсіздік.
Мұнда
.
Айнымалы логаримнің негізінде болғандықтан, оның шешімі
және
жағдайларға тәуелді. Демек логаримдік теңдік, теңсіздіктер жүйесіне келтіріледі:
1)
және 2)
Міне осы жүйелердің шешімі бастапқы теңсіздіктің шешімі болмақ.
Ескерту.
- теңсіздіктің төрт белгісінің бірі, ал
- теңсіздік мағынасының қарама-қарсыға өзгергендігін көрсетеді.
Мысалы. Теңсіздіктерді шешіңіз:
8)
.
Шығарылуы. 1)
және 2)
.
Әрбір жүйені жеке-жеке шешеміз.
1)
;
2)
.
Жауап:
.
9)
.
Шығарылуы. 1)
және 2)
.
Теңсіздіктер жүйелерін шешеміз.
1)
, ортақ жауап
;
2)
ортақ жауап
.
Сонда берілген теңсіздік шешімі
болады.
ІV
немесе
түріндегі теңсіздіктер
жаңа айнымалы еңгізу арқылы, қарапайым стандартты түрдегі теңсіздіктерге келтіріледі.
Мысалы. Теңсіздіктерді шешіңіз:
10)
. Шығарылуы.
деп белгілейміз. Сонда
. Бұдан
немесе
.
х айнымалысына қайта көшсек
.
Жауап:
.
11)
.
Шығарылуы.
- белгілейміз. Бұдан
.
тағы белгілеу енгіземіз. Сонда
.
болғандықтан, квадрат теңсіздікке келтіріледі.
. Бұдан
. Бірінші теңсіздіктің шешімі жоқ, екіншісінен
аламыз.
у
-те көмекші белгісіз, оны да
х
айнымалысына тәуелді өрнекпен қайта алмастырсақ
логарифмдік теңсіздіктер жиынтығын аламыз. Жауап
.
V а)
- түріндегі теңсіздік.
Егер
;
Егер
.
б)
- түріндегі теңсіздік.
Егер
;
Егер
.
Бұл түрдегі логарифмдік теңсіздіктерді шешу барысында логарифм таңбасы ішіндегі
функциясының оң мәнді болуын ескерген жөн.
Мысалы. Теңсіздіктерді шешіңіз:
12)
.
Шығарылуы.
-тен түсінеміз. Бұдан
.
13)
. Шығарылуы.
,
. Бірінші квадрат теңсіздік шешімі бүкіл сан осі, екіншісінікі
аралығы.
Жауап
VІ
- түріндегі теңсіздік.
Мұнда
және
. Айнымалы шама логарифмнің негізінде болғандықтан екі түрлі жағдай қарастырылады:
1)
және 2)
.
Осы теңсіздіктер жүйелерінің шешімдері бастапқы теңсіздіктің шешімі болады.
Мысалы. Теңсіздікті шешіңіз:
14)
.
Шығарылуы. 1)
және 2)
.
Әрбір теңсіздіктер жүйсін жеке шешеміз.
1)
, себебі екінші теңсіздіктің мағынасы жоқ;
2)
.
Жауап
.
15)
. Шығарылуы.
және
.
қарастырылып отырған түрдегі теңсіздіктер жүйесіне келтірдік. Бұдан 1)
және 2)
.
Әрбір жүйені жеке шешеміз.
1)
;
2)
.
Жауап
.
VІІ
- түріндегі теңсіздік.
Мұнда
және
. Бұл тұрғыдағы теңсіздіктердің шешімі де теңсіздіктер жүйесіне келтіру арқылы шешіледі:
1)
және 2)
.
Осы теңсіздіктер жүйелерінің шешімдері бастапқы теңсіздіктің шешімі болады.
Мысалы. Теңсіздікті шешіңіз:
16)
. Шығарылуы.
. Ережеге сүйенсек:
1)
және 2)
.
Енді бұл теңсіздіктер жүйелерінің логарифмдерге қатысы жоқ. Әрқайсысын жеке шешеміз.
1)
. Бұл жүйенің шешімі
;
2)
.
Еікінші теңсіздіктер жүйесінің шешімі
Жауап
.
VІІІ
- түріндегі теңсіздік.
Егер
Егер
Мысалы. Теңсіздікті шешіңіз:
17)
.
Шығарылуы.
. Логарифмнің мағынасы болуы үшін бұл функциялар оң болуы қажет. Демек
. Негізі бірден кіші болғандықтан теңсіздіктің мағынасы, негіздерін түсіргенде қарама қарсы өзгереді
.
18)
.
Шығарылуы. Сыртқы логарифмдердің негіздерін бірдей түрге келтіреміз
, яғни негіздерін бірдей түрге келтіреміз. Үшінші теңсіздікті жеке қарастырайық
деп белгілесек
у
айнымалысын қайта алмастырсақ
теңсіздіктер жүйесін аламыз. Тапсырманы аяқтау оқырманға міндеттелінеді. Жауап
.
Ескерту.
екендігін ескеріп бірінші теңсіздікті қарастырмаса да болады.
ІХ
- түріндегі теңсіздік.
Мұнда
және
кез келген функциялар.
1)
және 2)
.
Осы теңсіздіктер жүйелерінің шешімі берілген теңсіздіктің шешімі болады.
Мысалы. Теңсіздікті шешіңіз:
19)
.
Шығарылуы.
.
Бұл теңсіздікті шешпес бұрын, берілген теңсіздіктің анықтау облысын (мүмкін мәндер облысын) табайық, ол теңсіздікті шешу жолын жеңілдетеді
.
Демек теңсіздік шешімі
аралығында ғана жатуы керек. Сонымен
1)
және 2)
.
Тапсырманы аяқтау оқырманға міндеттелінеді.
Жауап
.
20) Қайсыбір жағдайларда теңсіздіктерді жалпыға ортақ тәсілдермен шығару мүмкін бола бермейді. Есеп шартына байланысты ой қорытылып, жауабы анықталынады.
Мысал. Теңсіздікті шешіңіз:
.
Шығарылуы. Бөлшек оң мән қабылдайды. Егер оның алымындағы және бөліміндегі өрнектердің таңбалары бірдей болса, ал берілген өрнектің бөлімі
болса, әрқашанда оң мәнді болады. Демек теңсіздіктің анықталу облысы
теңсіздіктер жүйесінің ортақ шешімі
болады.
Бұдан қарастырып отырған облыста
шешімін тапсақ жеткілікті. Бірақ бұл теңсіздікті бір негізге келтіріп, ережеге сәйкес шығару көп уақытты, ұзақ есептеулерді қажет етеді. Сондықтан қосындыдағы әрбір өрнектің теңсіздіктің анықталу облысындағы таңбаларын анықтайық, яғни
теңсіздігінің шешімі қандай аралықта жататынын қарастырайық.
Онда
. Демек
аралығында қарастырып отырған өрнек теріс мән қабылдайды. Ал
жиыншасы болып келеді. Яғни
. Енді
болатынын көрсетсек, жеткілікті
, бұдан
, кез келген
х
үшін, оң мәнді.
Бұдан бастапқы теңсіздіктің шешімі
аралығы деген қорытындыға келеміз.
Аралас типтегі өрнектерден тұратын теңсіздіктерді шешу барысында аралықтар (интервалдар) тәсілін қалданған да тиімді.
Ол үшін берілген өрнектің анықталу облысында берілген өрнектің алымы мен бөлімінің таңбаларын анықтап қажетті аралықты, іріктеп аламыз.
Мысал. Теңсіздікті шешіңіз:
21)
.
Шығарылуы. Теңсіздіктің анықталу облысы
,
.
Міне осы облыста өрнектің таңбасын анықтайық. Ол үшін бөлшектің алымы мен бөлімінің ноль нүктелері арқылы әрбір аралықтағы таңбаларын зерттейміз.
Бізге қажетті бөлшектің теріс болатын мәндері, демек бөлшектің алымы мен бөліміндегі өрнектердің таңбалары әртүрлі болуы керек.
Жауап
.
2. 1. Қайталауға арналған сұрақтар
- Ең қарапайым логаримдік теңсіздіктердің шешімі қалай жазылады?
- Белгісіз шама логаримдік өрнектің негізінде болған жағдайда теңсіздік қалай шешіледі?
- Логаримдік теңсіздіктерге қандай жағдайларда жаңа айнымалы енгіземіз.
- болған жағдайда, теңсіздік шешімін қалай табамыз?
- Логарифмдік теңсіздіктерді шешуге аралықтар тәсілін қолдануға бола ма? Болатын болса, негізгі қағида не болып есептелінеді?
2. 2 Тестік тапсырмалар
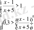
1. Төмендегі сандарды қайсысы теңсіздікті қанағаттандырады
А) 3 В) 9 С) 10 D) 1 Е)
2. Төмендегі сандардың қайсысы теңсіздіктің шешімі бола алады?
А) 0 В)
С) 4 D) 3 Е) -2
3. Сандық өрнектерің ең үлкенін көрсетіңіз
А)
В)
С)
D)
Е)
4. Теңсіздікті шешіңіз
А)
В)
С)
D)
Е)
5. Теңсіздікті шешіңіз
А)
В)
С)
D)
Е)
6. Теңсіздікті шешіңіз
А)
В)
С)
D)
Е)
7. Теңсіздікті шешіңіз
А)
В)
С)
D)
Е)
8. Теңсіздікті шешіңіз x>9
А)
В)
С)
D)
Е)
9. Теңсіздікті шешіңіз
А)
В)
С)
D)
Е)
10. Теңсіздікті шешіңіз
А)
В)
С)
D)
Е)
11. Теңсіздікті шешіңіз
А)
В)
С)
D)
Е)
12. Теңсіздікті шешіңіз
А)
В)
С)
D)
Е)
13. Теңсіздікті шешіңіз
А)
В)
С)
D)
Е)
14. Теңсіздікті шешіңіз
- Іс жүргізу
- Автоматтандыру, Техника
- Алғашқы әскери дайындық
- Астрономия
- Ауыл шаруашылығы
- Банк ісі
- Бизнесті бағалау
- Биология
- Бухгалтерлік іс
- Валеология
- Ветеринария
- География
- Геология, Геофизика, Геодезия
- Дін
- Ет, сүт, шарап өнімдері
- Жалпы тарих
- Жер кадастрі, Жылжымайтын мүлік
- Журналистика
- Информатика
- Кеден ісі
- Маркетинг
- Математика, Геометрия
- Медицина
- Мемлекеттік басқару
- Менеджмент
- Мұнай, Газ
- Мұрағат ісі
- Мәдениеттану
- ОБЖ (Основы безопасности жизнедеятельности)
- Педагогика
- Полиграфия
- Психология
- Салық
- Саясаттану
- Сақтандыру
- Сертификаттау, стандарттау
- Социология, Демография
- Спорт
- Статистика
- Тілтану, Филология
- Тарихи тұлғалар
- Тау-кен ісі
- Транспорт
- Туризм
- Физика
- Философия
- Халықаралық қатынастар
- Химия
- Экология, Қоршаған ортаны қорғау
- Экономика
- Экономикалық география
- Электротехника
- Қазақстан тарихы
- Қаржы
- Құрылыс
- Құқық, Криминалистика
- Әдебиет
- Өнер, музыка
- Өнеркәсіп, Өндіріс
Қазақ тілінде жазылған рефераттар, курстық жұмыстар, дипломдық жұмыстар бойынша біздің қор #1 болып табылады.

Ақпарат
Қосымша
Email: info@stud.kz