Топырақтан соғылған бөгет арқылы судың сүзіліп өту қабілетін есептеу тәсілдері

 
    
5-ші дәріс
Топырақтан соғылған бөгет арқылы судың сүзіліп өту қабілетін есептеу тәсілдері. Бөгеттің құлама беткейлерінің орнықтылығын есептеу. Бөгеттің төменгі құлама беткейінің орнықтылығын есептеу тәсілдері.
Сабақ жоспары:
- Топырақтан соғылған бөгет арқылы судың сүзіліп өту қабілетін есептеу тәсілдерімен таныстыру: эксперименталдық тәсілмен, гидромханикалық тәсілмен және гидравликалық тәсілмен
- Бөгет табаны арқылы сүзіліп өтетін су ағымын анықтау тәсілдерімен таныстыру
- Біртекті дренажсыз бөгет, немесе жапсырмалы дренажбен, табаны су өткізбейтін топырақтан тұратын бөгеттер арқылы су сүзіліп ағуын есептеу тәсілдерімен таныстыру
- Табаны су өткізбейтін өзекті бөгет арқылы су сүзіліп ағуын есептеу тәсілдерімен таныстыру
- Табаны су өткізбейтін қалқанды бөгет арқылы су сүзіліп ағуын есептеу тәсілдерімен таныстыру
- Бөгеттің төменгі құлама беткейінің орнықтылығын есептеу тәсілдері
мен таныстыру
Судың сүзіліп ағуын есептеу мына мақсаттарда жүргізіледі: а) депрессия- лық қисықтың биіктігін анықтау үшін; б) сүзіліп ағатын судың бағытын және жылдамдығын анықтау үшін; в) сүзіліп аққан судың ағымын анықтау үшін. Керек болған жағдайда осы аталған параметрлерді тек бөгет үшін емес, таба -нын және су қоймасының жағалауларын айналып сүзіліп өтетін су ағымын анықтау үшін де жүргізіледі.
Судың сүзіліп ағатын ағымын анықтау үшін бөгеттің көлденең кескінін анықтау қажет, дренаж түрін және орналастын жерін, бөгет денесінің негізгі элементтерінің және табанының сүзіліп ағу коэффициенттерін (к б , к т ) қабылдау қажет. Сүзіліп ағатын су ағымын анықтау қосымша, көмекші есептеулер болып табылады, бұл есептер бөгеттің төменгі құлама беткейінің орнықтылы ғын есептеуге қажет, бөгет денесінің топырағының сүзіліп аққан суға қарсы тұра алатынын анықтау үшін, бөгет табанының және жағалауының беріктігін анықтағанда және бөгет денесінің негізгі конструктивті элементтерінің тиімді өлшемдерін қабылдауға қажет (су сүзілуін азайту үшін қолданылатын қалқан, өзек, дренаж т. б. ) . Сонымен қатар сүзіліп ағатын су мөлшерін есептеп табу, су қоймасынан жерге сіңіп шығын болатын су мөлшерін анықтап, шығынды азайтуға қолданатын шараларды белгілеуге мүмкіндік береді.
Судың сүзіліп ағуын есептеу тәсілдерінің: эксперменталдық, гидромехани- калық, гидравликалық жолдары бар.
Эксперименталдық тәсілдің ең көп тараған түрі ЭГДА тәсілі. Бұл тәсілді бөгет табанының топырағының геологиялық құрамы және бөгет конструкция сы күрделі болған жағдайда және де кеңістік жағдайдағы есептерді шешуге пайдаланады.
Гидромханикалық тәсіл : бұл тәсіл белгілі шектеулі жағдайларда Лапласа
теңдеуін шешуге негізделген. Бұл тәсіл қарастырылып отырған кеңістіктің кез келген нүктесіндегі сүзіліп ағатын судың параметрлерін анықтауға мүм- кіндік береді. Бұл тәсілдің кемшілігі: есептеуі өте күрделі және шешімдері тек біртекті бөгеттерге арналған, бөгет табанында жақын жерде орналасқан су өткізбейтін қыртыс бар және де оның табаны арқылы су сүзіліп ақпайды деп қарастырылған жағдайға арналған. Сондықтан бұл тәсілді практикалық жағдайда пайдалану мүмкіндігі өте шектеулі.
Судың сүзіліп ағуын есептегенде көп қолданылатын тәсіл: гидравликалық тәсіл. Бұл тәсілде сүзіліп ағатын су тұрақтанған және жазықтық жағдайда ағады деп қарастырылады. Гидравликалық теңдеулер депрессиялық қисықтың биіктігін анықтап, сүзіліп ағатын судың ағымын, жылдамдығын, бағытын анықтауға мүмкіндік береді. Бұл гидравликалық тәсілдің теңдеулерінің дәлдігі гидромеханикалық теңдеулерге қарағанда кемірек, бірақ бұл теңдеулерді шешу жеңілірек, сондықтан бұл теңдеулерді әртүрлі практикалық есептерді шешуге кеңінен қолдануға болады. Судың сүзіліп ағуын Н. Н. Павловский гидравликалық тәсілмен шешкенде, бөгетті бірнеше бөлікке бөліп, сүзілетін ағымның жеңілдетілген теңдеуін құрады. Әрі қарай бірнеше белгісізі бар жүйелі теңдеулерді шешеді (сүзілетін су ағымы, депрессиялық сызық тың координаталары мен биіктігін анықтау т. б. ) .
5. 1. Су сүзілуін есептеу тәсілдері.
Бөгет денесі арқылы су сүзілуін есептеу мақсаты: бөгеттің су сүзілуге тұрақтылығын, өзен жағасының және табанының топырағының беріктігін анықтау, бөгет салынатын тұс- тың ыңғайлы да тиімді түрін негіздеу, бөгет өлшемін және су өткізбейтін элементтердің конструкциясының: біртекті, қалқанды, не өзекті екенін және дренажды - құрғатқышты негіздеу үшін жүргізіледі.
Есептеу барысында депрессиялық қисықтың (иректің) деңгейі, сүзілме судың бөгет денесі және табаны арқылы өтетін мөлшері, сүзілме судың жылдамдығы анықталады. Өте маңызды құрылымдар үшін сүзіліп ағатын су мөлшерінің жағаны айналып сүзіліп өтетін шамасын анықтауды да қамтиды. Жағаны айналып сүзіліп ағатын су мөлшерін теориялық жолмен анықтау қиын болғандақтан, бұл шама негізінде лабораторияда эксперименталдық жолмен анықталады.
Бөгет денесі арқылы сүзіліп ағатын су мөлшерін есептеу тәсілі табаны су өткізгіш қабаттан тұратын бөгетерге үлкен сенімділікпен дайындалған. Есептеу екі жолмен жүргізіледі: бірінші вариантта бөгет денесі арқылы су сүзіліп өтеді де, табаны арқылы су өтпейді. Осы схемаға байланысты бөгет денесі арқылы сүзіліп өтетін су ағымын анықтап, депрессиялық қисықтың деңгейін анықтайды. Осыдан кейін, бөгет денесі су өткізбейді деп қабылданып, ал су бөгет табаны арқылы сүзіліп өтеді деп, бөгет табаны арқылы сүзіліп өтетін су ағымын мына формуламен анықтайды:
 
 , (5. 1. )
 , (5. 1. )
Мұнда: Т- су өткігіш қабаттың қалыңдығы, тереңдігі,
В бөг - бөгет табанының ені, м.
- коэффициент, мына төмендегі кестеде келтірілген қатынас шамасына байланысты қабылданады:
Бөгет табаны бірнеше топырақ құрамынан тұратын болса, онда сүзілу коэффициентінің орташа шамасы қабылданады:
 (5. 2. )
 (5. 2. )
Сүзіліп ағатын судың толық ағымы бөгет денесі және табаны арқылы сүзіліп ағатын судың ағымының қосындысына тең:
 (5. 3. )
 (5. 3. )
Дренажы бар бөгеттердің табанының ені В бөг жоғарғы құлама беткейдің бөгет табаны мен қиылысқан нүктеден дренаждың жоғарғы құлама беткейінің бөгет табанымен қиылыс қан нүктесіне дейінгі аралығы алынады.
Бөгет арқылы сүзіліп ағатын судың ағымын есептеу тәсілі бөгет конструкцияларының негізгі пайдаланылатын түрлеріне эквиваленттік қима үшін келтірілген. Бұл тәсілде бөгет тің нағыз қимасы эквиваленттік сүзілме қимаға ауыстырылады, бұз кезде жоғарғы құлама беткей тік жар деп қабылданады.
5 . 2. Біртекті дренажсыз бөгет, немесе жапсырмалы дренажбен, табаны су өткізбейтін топырақтан тұратын бөгеттер.
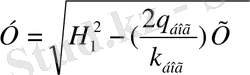
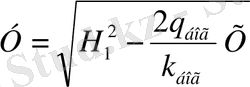
Төменгі бьефте, бөгеттің төменгі құлама беткейіне депрессиялық қисықтың шығатын биіктігін мына формула арқылы табады:
 (5. 4. )
 (5. 4. )
Мұнда Н 1 , Н 2 - жоғарғы және төменгі бьефтегі судың тереңдігі, м.
L p -бөгеттің эквиваленттік қимасының табанының ені, м.
 (5. 5. )
 (5. 5. )
 (5. 6. )
 (5. 6. )
 (5. 7. )
 (5. 7. )
Мұнда β- жоғарғы құлама беткейдің еңістігіне байланысты қабылданатын коэффициент, Г. К. Михайловтың формуласымен табылады:
 (5. 8. )
 (5. 8. )
Егер m 1 ≥ 2 болса, β ≈ 0, 4 ге тең болады деп қабылдайды.
Бөгет денесі арқылы сүзіліп ағатын судың шасасын мына формуламен табады:
 , (5. 9. )
 , (5. 9. )
Мұнда k бог - бөгет денесінің топырағының сүзілу коэффициенті.
Депрессиялық қисықтың биіктігін (ординатасын) мына теңдеу арқылы табады:
 , (5. 10. )
 , (5. 10. )
Х- ты 6-ты реттен кем емес қабылдайды, Х =∆L - ден Х= L p - m 2 h 1 - ге дейінгі аралықта қабылдайды.
Сүзілме судың төменгі құлама беткейге, немесе дренажға шығатын жылдамдығы мына формуламен табылады:
 , (5. 11. )
 , (5. 11. )
 - депрессиялық қисықтың төменгі құлама беткейге шығардағы еңістігі,
 - депрессиялық қисықтың төменгі құлама беткейге шығардағы еңістігі,
 , (5. 12. )
 , (5. 12. )
Мұнда ∆У депрессиялық қисықтың ∆Х аралығындығы еңістігі.
Егер төменгі бьефте су болмаса, сүзілме судың төменгі құлама беткейге шығатын биікті гін табу үшін (7. 4. ) формуласын пайдалана береді, тек Н 2 =0 деп қабылдайды.
5 . 3. Табанымен су сүзілетін, дренажы бар біртекті бөгет.
Бұл жағдайда бөгет денесі арқылы сүзіліп ағатын су мөлшері мына теңдеуі арқылы табылады:
 , (5. 13. )
 , (5. 13. )
Мұнда: L р = ∆L+L=βH 1 +m 1 d+В бог +m 2 (H 1 +d-h д ) -m 3 h д , (5. 14. )
Депрессиялық қисық сызықтың дренаж бойындағы ұзындығын мына формула арқылы табады:
 , (5. 15. ) немесе
 , (5. 15. ) немесе
  , (5. 16. )
 , (5. 16. )
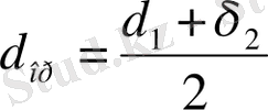
Депрессиялық қисық сызықтың дренаж призмасына кірер жердегі биіктігі мынаған тең:
 , (5. 17. )
 , (5. 17. )
Депрессиялық қисық сызықтың биіктігін мына теңдеу арқылы табады:
 , (5. 18. )
 , (5. 18. )
Біртекті бөгетті есептеу схемасы 5. 1. сызбада келтірілген.
 
5. 1. сызба. Біртекті бөгетті есептеу схемасы
а) дренажсыз бөгет, б) жапсырмалы дренажбен, в) дренажды банкетпен, г) құбырлы дренажбен.
Мұнда Х мәнін Х= ∆L -ден Х =L р -ге дейін бере отырып, депрессиялық қисықтың биікті гін анықтайды, сызбада пайда болған нүктелерді қосып, қисық сызықты қолмен дұрыстап жөндейді.
5 . 4. Табаны су өткізбейтін өзекті бөгет
Мұндай өзекті бөгет арқылы сүзіліп аққан судың мөлшерін анықтау үшін виртуалдық тәсіл қолданады. Бұл кезде, өзек келтірілген призма тәріздес сұлбаға ауыстырылып, өзектің сүзілу коэффициенті k оз бөгет денесінің сүзілу коэффициентіне k бог тең сұлбаға ауыстырылады. Осылай, өзекті бөгет су сүзілу қасиеті біртекті бөгетке сай бөгетке ауыстырылады.
Есептеу реті мынандай:
- Өзектің орташа қалыңдығын есептеп табады:
, (5. 19. )

Мұнда :
- өзектің бас жағының және төменгі жағының қалыңдығы.
- Өзектің келтірілген біртекті қалыңдығын анықтаймыз:
, (5. 20. )
- Бөгеттің төбесінің келтірілген енін табамыз:
В бог. келтір = В бог + L кел. озек - δ ор , (5. 21. )
- Әрі қарай бөгет денесі арқылы судың сүзілуін есептеу, біртекті бөгеттерді есептеу тәсілімен жүргізіледі, тек қана дренажы бар не жоқ деп, қабылданған бөгет конструкция сына байланысты және (14) формулада келтірілген Вбог-ті Вбог. келтір. -ке ауыстыру қажет.
Депрессиялық қисық сызықты бөгеттің өзегіне дейін және өзектен кейінгісін сызады. Ол үшін Х тың мәнін Х= ∆L -ден Х = ∆L +Х в дейін және Х = ∆L +Х в + L келт. озек -ге дейінгі аралықта қабылдайды. Х = L р .
Мұнда Х в - судың ▼ҚТД дің жоғарғы құлама беткеймен қиылысқан жерінен, өзектің жоғарғы бетіне дейінгі ара қашықтық.
Өзекті бөгетті есептеу схемасы 7. 2. сызбада келтірілген
 
5. 2. сызба. Өзекті бөгетті есептеу схемасы.
5. 5. Табаны су өткізбейтін қалқанды бөгет.
Виртуалдық тәсілді қолданғанда, су өткізгіштік коэффициенті k кал қалқан су өткізгіштік коэффициенті k бог -тең біртекті призмаға ауыстырылады. Есептеу тәсілі өзекті бөгетке ұқсас:
- қалқанның орташа қалыңдығын табамыз:
- Іс жүргізу
- Автоматтандыру, Техника
- Алғашқы әскери дайындық
- Астрономия
- Ауыл шаруашылығы
- Банк ісі
- Бизнесті бағалау
- Биология
- Бухгалтерлік іс
- Валеология
- Ветеринария
- География
- Геология, Геофизика, Геодезия
- Дін
- Ет, сүт, шарап өнімдері
- Жалпы тарих
- Жер кадастрі, Жылжымайтын мүлік
- Журналистика
- Информатика
- Кеден ісі
- Маркетинг
- Математика, Геометрия
- Медицина
- Мемлекеттік басқару
- Менеджмент
- Мұнай, Газ
- Мұрағат ісі
- Мәдениеттану
- ОБЖ (Основы безопасности жизнедеятельности)
- Педагогика
- Полиграфия
- Психология
- Салық
- Саясаттану
- Сақтандыру
- Сертификаттау, стандарттау
- Социология, Демография
- Спорт
- Статистика
- Тілтану, Филология
- Тарихи тұлғалар
- Тау-кен ісі
- Транспорт
- Туризм
- Физика
- Философия
- Халықаралық қатынастар
- Химия
- Экология, Қоршаған ортаны қорғау
- Экономика
- Экономикалық география
- Электротехника
- Қазақстан тарихы
- Қаржы
- Құрылыс
- Құқық, Криминалистика
- Әдебиет
- Өнер, музыка
- Өнеркәсіп, Өндіріс
Қазақ тілінде жазылған рефераттар, курстық жұмыстар, дипломдық жұмыстар бойынша біздің қор #1 болып табылады.
 
            
                Ақпарат
Қосымша
Email: info@stud.kz