Су жібергіш және суды ақтарып құрғатқыш құрылымдар, олардың түрлері, конструкциялары


7-ші дәріс
Су жібергіш және суды ақтарып құрғатқыш құрылымдар,
олардың түрлері, конструкциялары.
Сабақ жоспары:
- Су жібергіш құрылымдар, олардың конструкциялық ерекшеліктері, түрлері
- Құбырлы-мұнаралы және құбырлы су жібергіш құрылымдар конструкциясымен таныстыру
- Жабық су жібергіш құрылымдар конструкциясымен таныстыру, орларды есептеу тәсілдері
- Тунельді су өткізгіш құрылымдар.
- Су қоймасының құрамындағы суды ақтарып-құрғатқыш құрылымдар.
Су қоймалары құрамындағы топырақтан соғылған бөгеттер бойына көпшілік жағдайда құбырлы су жібергіштер салынады. Құбырлы су жібергіштер мұнаралы және мұнарасыз болып келеді.
7. 1. сурет. Құбырлы-мұнаралы су жібергіш құрылым.
1. құбырдың кіре беріс басы; 2. су жібергіш құрылымның құбыры; 3. басқару мұнарасы; 4. су жібергіш құрылымның аяқ жағы;
7. 2. сурет. Құбырлы су жібергіш құрылым.
1. құбырдың кіре беріс басы; 2. су жібергіш құрылымның құбыры; 3. су бөлу камерасы; 4. су жібергіш құрылымның аяқ жағы;
Су жібергіштің негізгі атқаратын міндеті -төменгі бьефте орналасқан су тұтынушыларға - каналға, су құбырына, өзен арнасына су жіберу. Су жібергіш құрылымның су тасымалдайтын құбырының табанын орналастырғанда - су қоймасындағы судың деңгейі ең төменгі пайдаланбай- тын көлем деңгейіне жеткенде де (ПКД), су жібергіш құрылым арқылы тұтынушыларға су беретіндей етіп орналастырады, яғни су өткізгіш құбырдың табаны- ▼ПКД (▼УМО) деңгейінен төмен орналастырылады.
Мұнараның орналасуына байланысты оларды: а) мұнарасы алға жылжы- тылып салынған, жоғарғы құлама беткейдің бөгет табанымен қиылыс қан тұсына салынған; б) мұнарасы жоғары құлама беткейдің орта тұсына орналастырылған; в) мұнарасы бөгет төбесіне жақын орналасқан, немесе төменгі құлама беткейге орналасқан деп топтайды.
Құбырлы су жібергіштің галериясымен су өткізіледі, немесе галерияның ішімен құбыр жүргізіліп, су құбыр арқылы өткізіледі.
Мұнараға дейінгі құбыр көпшілік жағдайда тұрақты су қысымының астында тұрады, яғни арынды жағдайда жұмыс атқарады, ал мұнара қақпасынан кейінгі су тасымалдайтын құбыр арынды түрде де, немесе арын- сыз түрде де жұмыс атқара алады. Су жібергіш құрылымдарды ұзақ уақыт пайдалану тәжірибесі көрсеткені: 1) құрылымның құбырының орта бөлігінің тиімді жұмыс атқару режимі - арынсыз жағдай, яғни, судың қысымсыз, еркін ағу режимі. Бұл кезде құбыр ішінде ыңғайсыз, өтпелі режим орнамайды және де галерея қабырғалары мен құбырдың түйіскен жерінде қасым азаяды; 2) судың арынды жағдайда ағуы - су темір немесе темірбетон құбырлар арқылы аққанда тиімді. Бұл жағдайда темірбетоннан соғылған галерея құбырларды жөндеп, ремонттағанда пайдаланылады. Егер галереяда судың ағу режимі арынды, не жартылай арынды болса, онда галерея конструкциясы күрделеніп, бағасы өсіп кетеді; 3) мұнараны алға, жоғарғы бьефке жылжытып салған тиімді, бұл жағдайда құбырдың арынды, тұрақты су тұратын бөлігінің ұзындығы қысқарады.
Аласа немесе орта тегеурінді су қысымына арналған бөгеттерге негізінде мұнарлы су жібергіштер салынады, галерея арқылы құбыр жүргізіліп - жүргізілмесе де. Мұндай су жібергіш құрылымдар конструкциясын пайдалану өте ыңғайлы және сенімді.
Жоғарғы тегеурінді бөгеттерге (биік бөгеттер) мұнаралы су жібергіш салу - техникалық қиындықтарғы әкеліп соғады. Қақпақты көтеріп-түсіретін білек темірдің өте ұзын болып, салмағы көп болуына байланысты және су қысымы түскен кезде қақпақта діріл пайда болуына, қақпақты жабу барысында қатты басқанда, білек темірдің майысу мүмкіндігіне байланысты. Егер жоғарғы тегеурінді бөгеттерге мұнаралы су жібергіш жобаланса, онда варианттардың техника - экономикалық көрсеткіштерін салыстырғанда биік мұнараның су тасымалдайтын құбырының қақпағы герметикалық түрде жабылатынын қарастырып және автоматты су көтергіштермен ашылып- жабылуын қарастыру қажет. Мұндай мүмкіндіктер болмаса, онда мұнарасыз, құбырлы су жібергіштер жобалануға тиісті.
Құбырлы су жібергіштердің құбыры үш қақпақпен жабылуы шарт:
1) ысырмалы қақпақ - құбыр бұзылған, апат жағдайында пайдаланады. 2) дискілі, дөңгелек қақпақтар, ремонт-жөндеу жұмыстарын орындағанда пайдаланылдады, бұлар ысырмалы қақпақтардан кейін орналасады: 3) конусты немесе инеге ұқсас қақпақтар - бұлар жұмыс қақпағы ретінде пайданылады.
Көп жылдық ағымды реттейтін су қоймаларында мұнаралы су жібергіштер салған тиімді және де оның төбесі су баспайтын белгіде болғаны жөн.
7. 3. Жабық су жібергіш құрылымдар.
а) қақпақтарды басқаратын мұнарасы бар, құбырлы су жібергіш құрылым б) құбыры конусты қақпақпен жабдықталған тунелді су жібергіш құрылым; в) құбыры конусты қақпақпен жабдықталған құбырлы су жібергіш құрылым; 1- қоқыс ұстағыш тор тұратын саңылау; 2- ауа қатынайтын тесік; 3- жалпақ темір; 4- нығыздағыш резина; 5- су қабылдағыш мұнара; 6- тығын; 7- дөңгелек қақпақ (жөндеу кезінде пайдаланатын) ; 8- темір, немесе темірбетон құбыр; 9- конусты, немесе ине тектес қақпақ; 10- ысырма; 11- конусты қақпақтың бәсеңдеткіш камерасы;
Мұнараның қабырғаларының, табанының қалыңдығын, құбырлы су жібергіш құрылымның қабырғаларының қалыңдығы динамикалық және статикалық күш-салмақтардың шамасына қарай есептеліп табылады, дегенмен 0, 2-0, 25 м аз болмауы керек, және қалыңдығы төменнен жоғары қарай азая береді. Мұнараның, галереяның сыртқы қабырғаларын су өткізбейтін бояумен сырлап, материалдармен қаптайды, сазды топырақпен қаптап көмкереді. Қақпақтан кейін вакуум қалыптаспасын деп, оны сырттан ауа келтіретін түтікпен жалғайды.
Құбырлы су жібергішке конусты немесе инелі қақпақ қойылғанда, шашыраған су тамшыларын ұстайтын камера қарастырылады.
Су жібергіш құрылым құбыры ішінде тұрақты арынсыз режим орнату үшін де, қақпақ артына ауа беріп отырады. Құбырдың кіре барыс басының сұлбасы, қақпақ жүретін саңлауларда, су тасымалдайтын бөлік сұлбасын кавитациялық процестер болмайтындай етіп қабылдайды.
Құбырлы су жібергіштің галереясының саны техника-экономикалық және гидравликалық есептеулер негізінде қабылданады, бірақ пайдалану тәжірибесі көрсеткендей, екі галереядан кем қабылданбайды.
Су жібергіш құрылымның бас жағына қоқыстарды, анжыр мен мұз ұстайтын тор орнатады, оған тазалағыш құрылғылар қарастырады. Су жібергіш құрылымның галереясын деформациялық (шөгетін) бөлікке бөлгенде, құбыр түйіскен жерден су шықпауын қамтамасыз ету қажет. Бұл шаралар өте мұқият орындалуы шарт.
Егер су қоймасы ауыз су беруге де пайдаланылса, онда таза суды алу үшін, мұнара қабырғасында бірнеше биіктікте су алатын тесіктер қарастырылып, олар құбырмен жалғастырылып, су тазалағыш құрылымдар- ға, не сорғы станцияларына жеткізіледі.
Су жібергішті жобалап, құрылысын соққанда, оның конструктивті өлшемдерін қабылдағанда, құрылысты салу кезінде және құрылымдарды тұтынып- пайдаланғанда қойылатын талаптар ескеріледі, яғни құрылымды бүкіл пайдалану мерзімінде галерия арқылы ыңғайлы жүріп-тұру мүмкіндігі қарастырылуы шарт, яғни оның биіктігі 1, 5 метрден, ені 1, 0 м кем болмауы керек, бұл жағдай құбырды және гидромеханикалық құрал-жабдықтарды монтаждап, бұзып-жөндеу жұмыстарын атқару үшін қажет. Галерея табанына құрылысты салу кезіндегі тасқын суды арынсыз режимде өткізетіндей және галереядағы су қақпақты жапқанда, құбыр жарылғанда тұрып қалмай, ағып кететіндей еңістік берілуі қажет.
Су жібергіш құрылымда кіре беріс табалдырығының сұлбасына байланысты жабық құбыр екі режимде жұмыс атқаруы мүмкін: судың кең табалдырықты су ағардан немесе практикалық сұлбадағы су ағардан аққандай.
Су жібергіш құрылым 2 жағдайға есептеледі: 1) су қоймасындағы су - дың деңгейі ▼ПКД (▼УМО), құбыр қақпағы толық ашық, конструктивті түрде қабылданған құбыр өлшемдері есепті өтімді жібере ме, соны анықтайды; 2) су қоймасындағы судың деңгейі ▼ҚТД (▼НПУ), есепті өтімді жібері үшін құбыр қақпағын қанша биіктікке көтеретінін анықтайды.
Егер су жібергіштен су кең табалдырықты су ағардан ағатын болса, онда оның су өткізгіштік қабілетін мына формула арқылы табады:
; (7. 1. )
судың бүйірінен қысылуын ескеретін ағын коэффициенті;
b- су жібергіш құрылымның құбырының кіре берісі басының аяқ жағына таман ені, м; Құбыр ені пайдалану талабына сәйкес бір метрден кем болмауға тиісті.
-
суға бату коэффициенті, бірге тең.
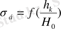
h k - cу секіртпесінің қысылған тұстағы тереңдігі, м;
H
0
=
-
судың келу жылдамдығын ескере отырып, су жібергіш құрылымның табалдырығындағы су арыны;
Н 1 = ▼ҚТД -▼cу жібергіш құрылымның табалдырығының белгісі, яғни су жібергіш құрылым алдындағы су арыны, м;
v 0 = 1, 2 - 1, 5 м/с - судың құрылымға келу жылдамдығы.
Егер су жібергіш құрылымның құбырының еңістігі 0<i<i kp болғанда h c ≥1, 25h kp жағдайы орын алса, онда құбырдың суға батыңқы болғаны; ал h c ≤1, 25h kp жағдайы орын алса, құбыр суға батпаған болады.
h c - төменгі бьефтегі су деңгейі мен құбырдың шыға берістегі табанының белгісінің айырмасы.
h
kp
=
судың шекті мәніндегі тереңдігі;
q-
үлестік ағын мәні, м
2
/с;
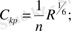
Мұнда
төрт бұрышты құбырлар үшін;
n= 0, 015 - кедір -бұдырлық коэффициенті;
R
kp
=
- шекті гидравликалық радиус,
- төрт бұрышты құбырлар үшін;
Егер су жібергіш құрылымның құбырының табанының еңістігі i>i kp болса, онда құбырдың ұзындығы оның өтіміне әсер етпейді.
Су жібергіш құрылым арқылы су практикалық сұлбадағы су ағардан аққанда, су тек суға батпаған режимде ағады. Бұл жағдайда су жібергіш құрылымның су өткізгіштік қабілетін мына формула арқылы анықтаймыз:
(7. 2. )
Су жібергіш құрылымның құбыры арынсыз режимде жұмыс атқарғанда, құбырдың кіре беріс басы суға батып тұрса, оның су өткізгіштік қабілетін мына формула арқылы анықтаймыз:
(7. 3. )
Мұнда:
жылдамдық коэффициенті;
0, 97-егер құбырға кіре беріс тесік алдында қақпақ кіретін саңылау болмаса;
0, 94 егер құбырға кіре беріс тесік алдында қақпақ кіретін саңылау болса;
судың бүйірден қысылу коэффициенті;
су жібергіш құрылымның құбырының көлденең қимасының ауданы және шаға берісіндегі биіктігі.
Су қоймасындағы су ▼ҚТД тұрғанда, су қақпақ астынан жіберіледі, бұл жағдайда судың құбыр арқылы өтімін мына формула арқылы анықтайды:
(7. 4. )
Мұнда:
ағын коэффициенті,
h k - қақпақты ашу биіктігі, м;
H 0 - судың келу жылдамдығын қоса есептегендегі арын, м;
судың қақпақ астынан өткенде, тігінен сығылу коэффициенті;
- Іс жүргізу
- Автоматтандыру, Техника
- Алғашқы әскери дайындық
- Астрономия
- Ауыл шаруашылығы
- Банк ісі
- Бизнесті бағалау
- Биология
- Бухгалтерлік іс
- Валеология
- Ветеринария
- География
- Геология, Геофизика, Геодезия
- Дін
- Ет, сүт, шарап өнімдері
- Жалпы тарих
- Жер кадастрі, Жылжымайтын мүлік
- Журналистика
- Информатика
- Кеден ісі
- Маркетинг
- Математика, Геометрия
- Медицина
- Мемлекеттік басқару
- Менеджмент
- Мұнай, Газ
- Мұрағат ісі
- Мәдениеттану
- ОБЖ (Основы безопасности жизнедеятельности)
- Педагогика
- Полиграфия
- Психология
- Салық
- Саясаттану
- Сақтандыру
- Сертификаттау, стандарттау
- Социология, Демография
- Спорт
- Статистика
- Тілтану, Филология
- Тарихи тұлғалар
- Тау-кен ісі
- Транспорт
- Туризм
- Физика
- Философия
- Халықаралық қатынастар
- Химия
- Экология, Қоршаған ортаны қорғау
- Экономика
- Экономикалық география
- Электротехника
- Қазақстан тарихы
- Қаржы
- Құрылыс
- Құқық, Криминалистика
- Әдебиет
- Өнер, музыка
- Өнеркәсіп, Өндіріс
Қазақ тілінде жазылған рефераттар, курстық жұмыстар, дипломдық жұмыстар бойынша біздің қор #1 болып табылады.

Ақпарат
Қосымша
Email: info@stud.kz