ЭЛЕКТРҚОЗҒАЛТҚЫШТЫ ТАҢДАУ ЖӘНЕ КИНЕМАТИКАЛЫҚ ЕСЕП


МАЗМҰНЫ
КІРІСПЕ
Таспалы транспортер жетек жобасы цилиндрлі бір сатылы редуктордан тұрады. Оның негізгі параметрлері (
), біліктер есебі, тісті дөңгелекті анықтау, жүктемеге байланысты мойынтіректерді таңдау, сыртын жобалау, қажетті қуаты мен айналу жиілігі мәніне қарай электрқозғалтқышты таңдау, сондай-ақ тегеріш тістері жұмсақ қосылуы үшін редуктор мен қозғалтқышты қосатын белдікті таңдау.
Жетек электрқозғалтқыштан сына тәрізді белдіктер берілісі арқылы жалғанған редуктордан тұрады.
Редукторды және онымен жалғанған қозғалтқышты негіздеу үшін рама жобаланады. Ол швеллер-прокат элементтерінен пісірілген. Бұйымдарды жинақтау, жұмыс істеу қабілетін білу үшін, барлық жалғану мөлшері кескінделген қозғалтқыш пен редукторды рамаға бекіту және раманың цех еденіне орналастыру әдісі көрсетілген, жетек сызбасы орындалады. Бұйымдар конструкциясына 4А132М6 сериалы электрқозғалтқыш қолданылады. Жетектің өзіне рамаға пісіріліп қондырған редуктор, қозғалтқыш жатады.
Электрқозғалтқыш білігі және редуктор сына тәрізді белдік берілісімен жалғанады. Редуктордың шығу білігі конвеер білігімен муфта және шынжыр берілісі арқылы жалғанады.
Редуктордың жұмысы жетекші білікпен салыстырғанда жетектегі біліктің айналу моментін жоғарлату мен бұрыштық жылдамдығын азайту және жеке агрегаттар түрінде орындалатын бұрыштық жылдамдықты жоғарлату механизмі үдеткіш немесе мультипликатор деп аталады.
Редуктор нақты машиналар жетектерін немесе берілген жүктемені орындау үшін жобаланады. Екіншіден редукторды сериялық өндіретін мамандырылған зауыттар үшін жобаланады.
1 ЭЛЕКТРҚОЗҒАЛТҚЫШТЫ ТАҢДАУ ЖӘНЕ КИНЕМАТИКАЛЫҚ ЕСЕП
1. 1 кесте [2, 5 бет] бойынша цилиндрлік дөңгелектер жұбының ПӘК-і η 1 ; тербелістегі шығынданған мойынтіректер жұбын ескергендегі коэфицтент η 2 ; сына тәрізді берілістің ПӘК-і η 3 ; білік тірегіндегі жетек барабанының шығындануын ескергендегі ПӘК-і η.
Жетектің жалпы ПӘК-і
.
Барабанның біліктегі қуаты
.
Электр қозғалтқышқа қажетті қуат
.
Барабанның бұрыштық жылдамдығы
Барабанның айналу жиілігі
.
Қосымша 3 [2, 328 бет] бойынша электр қозғалтқыштың қажетті қуаты арқылы үшфазалы қысқа тұйықталған 4А сериалы, жабық желдетілетін, білігі синхронды жиілік айналуы n, Р дв және сырғуы параметрімен электр қозғалтқышты таңдаймыз. Бұрыштық жылдамдығы
.
Жалпы беріліс қатынасын тексереміз
Оның пайдалы екенін ескеруге болады, өйткені ол 9 және 36 аралығында жатыр.
Дербес беріліс сандарды қабылдауға болады.
редуктор үшін,
.
Редуктор білігінің және жетек барабанының айналу жиілігі мен бұрыштық жылдамдығы
1-кесте






Айналу моменттері
тегеріш білігінде
;
доңғалақ білігінде
;
.
- РЕДУКТОРДЫҢ ТІСТІ ДӨҢГЕЛЕКТЕРІН ЕСЕПТЕУ
Материалды таңдау. Тапсырмада беріліс габариттеріне қатысты ерекше талаптар болмағандықтан, орташа механикалық сипаттамалары бар материалды таңдаймыз.
- тегеріш үшін болат 45, термиялық өңдеуі - жақсартылған, қаттылығы HB230;
- доңғалақ үшін болат 45, HB200, (доңғалақтың қаттылығы тегеріш қаттылығынан 20-50 бірлікке төмен болуы керек)
Түйісу мүмкіндік кернеуі
мұнда
- түйіспе төзімділік циклдерінің негізгі санындағы шегі;
3. 2 кесте [2, 31 бет] бойынша тістер беттерінің қаттылығы НВ350-ден аспайтын және термиялық өңделген көміртекті болат үшін
мұнда
- шыдам мерзім коэфициенті; редуктордың ұзақ эксплуатация кезінде
=1,
- ал қауіпсіздік коэфициенті.
Қисықтісті дөңгелек үшін болатын түйісу кернеуі мынадай формула бойынша есептеледі
0, 45
.
тегергіштікі
доңғалақтікі
,
.
Түйіспе кернеудің есептеу дәлдік шегі
Талап ететін шарт
орындалады.
коэфициенті, доңғалақтардың симметриялы орналасуына қарамастан, жоғарыдағы ұсыныстарды қабылдаймыз, өйткені шынжыр беріліс жағынан күштер әсер етіп, тістерді нашарлататын білікке қосымша деформация береді. 3. 1 кестесі бойынша, дөңгелектердің симметриялы емес орналасу жағдайында К
Нβ
=1, 25 мәнін қабылдаймыз.
Қисықтісті дөңгелектер үшін остер аралығы бойынша таж енінің коэфициенті
.
Біліктердің ара қашықтығы мынадай формуламен есептеледі
мұнда, біздің редуктор үшін беріліс саны u = u p .
Біліктердің ара қашықтығы
деп қабылдаймыз.
Келесі ұсыныс бойынша іліністің нормаль модулін қабылдаймыз.
;
m n =3 мм деп қабылдаймыз.
Тістердің β=10 0 көлбеулік бұрышын алдын-ала қабылдап, тегеріш тістерінің саны
дөңгелетсек
.
Доңғалақтың тістерінің саны
.
Доңғалақ тісінің көлбеулік бұрышының нақты мәні
;
Доңғалақ пен тегеріштің негізгі өлшемдері
бөлгіш диаметрлері
тегеріштің
доңғалақтың
Тексеру
Жылжымай кесілген доңғалақтардың тістерінің ұшының диаметрлері
тегеріштің
доңғалақтың
Доңғалақтың ені
,
Тегеріш ені
,
Диаметр бойынша тегеріш енінің коэффициентін анықтаймыз
.
Доңғалақтың шеңберлік жылдамдығы мен берілістің дәлдік дәрежесі
Мұндай жылдамдықта қисық тісті доңғалақтар бойынша 8-ші дәрежелі дәлдікті қабылдаймыз.
Жүктеме коэффициенті
.
мәндері 3. 5 кестеде [2, 32 бет] берілген;
;
қаттылық кезінде және доңғалақтар тіректерге қатысты симметриялы орналасқан
=1, 08. 3. 4 кесте [2, 32 бет] бойынша
және 8-ші дәрежелі дәлдікте 1, 122. Кесте 3. 6 [2, 32 бет] бойынша
болғанда
1, 01.
3. 6 формуласы [2, 26 бет] бойынша контакты кернеуді тексереміз
Іліністе әсер ететін күштер
шеңберлік күш
;
радиалды күш
:
осьтік күш
.
3. 25 формуласы [2, 38 бет] бойынша доңғалақ тістерінің иілу беріктігін тексереміз
.
Жүктеу коэффициентін анықтаймыз
.
Кесте 3. 7 [2, 35 бет] бойынша
кезінде;
және тіректерге қатысты доңғалақтар симметриялы орналасқанда
=1, 17 кесте 3. 8 [2, 36 бет] бойынша
болғанда
=1, 4.
Тістің пішінін ескеретін коэффициент
тістердің эквивалент тік санына
қатысты анықталады.
тегеріште
доңғалақта
.
3, 68 және
3, 61.
3. 24 формуласы [2, 36 бет] бойынша мүмкіндік кернеуі
.
3. 9 кесте [2, 37 бет] бойынша болат үшін 45 жақсартылған қаттылықпен
;
. Тегерішке
; доңғалаққа
; осыдан
.
Мүмкіндік кернеулер
тегеріште
доңғалақта
қатынасын табамыз.
Әрі қарай есепті табылған қатынасы аз болатын доңғалақ тіс үшін жүргізіледі.
және
тісті доңғалақты ескеретін коэффициентерді анықтаймыз.
.
орташа мәні үшін дөңгелек арқалық
1, 5 және 8-ші дәрежелі дәлдікпен
.
3. 25 формуласы [2, 38 бет] бойынша тісті доңғалақтың иілу беріктігін тексеру
.
.
.
Төзімділік шарты орындалды.
- РЕДУКТОР БІЛІКТЕРІН АЛДЫН - АЛА ЕСЕПТЕУ
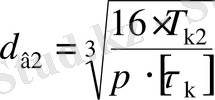
Жетекші білік. Шығатын ұштың диаметрі білік бұралуының есебінен анықталады
,
;
;
.
Мұнда 35, 40, 45 маркалы көміртекті болаттан жасалған біліктер үшін кернеу дәлдік шегі
.
Жетектегі білік Біліктің бүгілуін ескере отырып
деп қабылдаймыз. Шығатын ұшының диаметрі
.
Стандартты қатардан жуық мәнін қабылдаймыз
деп аламыз. Мойынтірек кертпектің диаметрі
.
Тісті доңғалақ астындағы диаметр
.
4 ДОҢҒАЛАҚТЫҢ КОНСТРУКТИВТІ ӨЛШЕМДЕРІ
Тісті доңғалақ білікпен бірге бүтін орындалған деп оның өлшемдері жоғарыда анықталған
;
;
.
Доңғалақ шындалған
;
;
.
Күпшектің диаметрі
;
Күпшектің ұзындығы
,
деп аламыз.
Құрсау қалыңдығы
,
деп аламыз.
Диск қалыңдығы
;
деп аламыз.
5 РЕДУКТОРДЫҢ КОРПУСЫ МЕН ҚАҚПАҒЫНЫҢ КОНСТРУКТИВТІ ӨЛШЕМДЕРІ
Корпус қабырғасының
және қақпағының қалыңдығы
.
;
деп аламыз.
;
деп аламыз.
Корпус фланецінің белдуі мен қақпағының қалыңдығы
жоғарғы
;
деп аламыз;
төменгі
;
деп аламыз.
Болттар диаметрі
іргетас
; М20 болтты қабылдаймыз.
қақпақты корпуспен бекітетін мойынтіректерде
;
М14 бұрандасымен болтты қабылдаймыз.
қақпақ пен корпусты қосатын
;
М12 бұрандасымен болтты аламыз.
6 СЫНА ТӘРІЗДІ БЕЛДІК БЕРІЛІСІНІҢ ЕСЕПТЕУІ
Жетекші біліктің қуаты
; біліктің айналу жиілігі
; жетектегі біліктің айналу жиілігі
; беріліс ленталы транспортерді қозғалту үшін қажетті; жүктемесі тұрақты.
5. 6 кестесі [2, 69 бет] бойынша сына тәрізді белдіктің қимасын таңдаймыз; жетекші біліктің алдын ала бұрыштық жылдамдығы және айналу моменті анықталған.
;
.
мынадай мәніндегі 5. 6 кестесінен қимасы
Б
белдікті
көлденең қима ауданымен таңдаймыз.
Жетекші шкивтің
диаметрін таңдаймыз. 5. 6 кестеде [2, 69 бет] минималды мәні
деп көрсетілген. Бірақ белдік ұзақ мерзімді болу үшін
ескермей, 1-2 номер артық шкивті таңдаймыз.
деп қабылдаймыз.
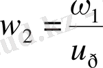
Сырғанауды ескермей, беріліс қатынасы мынадай мәніне тең.
.
сырғанауды ескеріп, жетектегі шкивтің
диаметрін табамыз.
.
Стандартты мәніне жақын
деп қабылдаймыз.
осьтер ара қашықтығын анықтаймыз. Оны мынадай интервалда
Орта мәніне жақын мәнді қабылдаймыз
.
5. 6 формуласы [2, 64 бет] бойынша белдіктің есептік ұзындығы анықталады
.
Стандарт ұзындығына жақын
.
Есептейміз
;
және
стандартты ұзындықты ескеріп,
жаңа мәнін мына формуламен
.
Белдіктерді шкивке кигізуді жеңілдету үшін берілісті құрастырғанда
-ны
-ге келтіреміз. Белдіктердің керілуін арттыру үшін
-ны
-ге арттырамыз. Берілген жағдайда
кіші жағына,
артық жағына жылжуын құрайды.
Кіші шкивтің іліп алу бұрышы
.
Жылдамдығы
.
болғандағы
Б
қимадағы бір белдіктің берілісі 5. 7 кестеде [2, 71 бет] бойынша
шеңберлік күш шамасын табамыз.
.
Бір белдікке түсетін мүмкіндік шеңберлік күш
.
Мұндағы
.
Белдік ұзындығының әсерін ескеретін коэффициент
.
Есептеу ұзындығы
болғандықтан
.
Жұмыс тәртібінің коэффициенті жоғарыда берілген шартпен
. Сонымен
.
Шеңберлік күшті анықтаймыз
.
Есептік белдіктер саны
.
Алдын ала керілу
деп, кернеуді қабылдап белдік берілістегі күшті анықтаймыз.
Белдіктің әрбір саласының алдын ала керілуі
.
Жетекші саласының жұмыс керілуі
;
сондай-ақ жетектегі саланың
.
Біліктерге түсетін күш
.
Сына тәрізді белдіктер берілісінің шкивтері
Шкивтер материалы - шойын СЧ15-32, болат 25Л.
Жұмыс бетінің кедір-бұдырлығы
.
- РЕДУКТОР КОМПАНОВКАСЫНЫҢ БІРІНШІ САТЫСЫ
Компоновканы әдетте екі сатымен жүргізеді. Бірінші этап тісті дөңгелек және тірекке қатысты біліктер ұзындық өлшемдерін жуықтап анықтау үшін жүргізіледі. Есептеу мәндері бойынша 1:1 масштабымен тісті беріліс сызбасын жасаймыз. Білік осьтерінің қимасының бір жобасы жеткілікті.
Содан кейін редуктор қабырғасының контурын сызамыз.
а) Тегеріш қапталмен корпустың ішкі қабырғасының арасында саңылау аламыз А
1
=1, 2
; күпшек болған жағдайда саңылау күпшек қақталмен алынады.
б) Дөңгелек тістерінің биіктігінің шеңберінен А=
пішіннің ішкі қабырғасына дейін саңылауды қабылдаймыз.
в) Жетекші біліктің сыртқы сақинасының мойынтірегі және А=
пішіннің ішкі қабырғасынан арақашықтығын қабылдаймыз, егер сыртқы мойынтіректің диаметрі тісті доңғалақтың шеңберінің диаметрінен үлкен болса, онда А арақашықтығын тісті доңғалақтан бастап алу керек. Тарамдалған шариктік мойынтіректің орташа сериясын алдын-ала белгілеңіз; Мойынтіректің габаритін біліктің диаметрін мойынтіректің
және
орналасу орнына байланысты таңдаймыз.
Мойынтіректі майлауын қарастырайық. Мойынтірекке жұмсақ майланатын материал қолданамыз. Пішіннің ішіне майдың ағыуын және ілініс маңайында майды жібермейтін сақина орналастырып, жұмсақ майланатын материалды сұйық маймен жуамыз. Оның ені
өлшеммен анықталады.
жетекші біліктің және жетектегі білікте
аралығын өлшеммен анықтаймыз.
біржолата қабылдаймыз.
Мойынтіректің ұясының тереңдігі
. 214 мойынтірек үшін
;
;
қабылдаймыз.
- Іс жүргізу
- Автоматтандыру, Техника
- Алғашқы әскери дайындық
- Астрономия
- Ауыл шаруашылығы
- Банк ісі
- Бизнесті бағалау
- Биология
- Бухгалтерлік іс
- Валеология
- Ветеринария
- География
- Геология, Геофизика, Геодезия
- Дін
- Ет, сүт, шарап өнімдері
- Жалпы тарих
- Жер кадастрі, Жылжымайтын мүлік
- Журналистика
- Информатика
- Кеден ісі
- Маркетинг
- Математика, Геометрия
- Медицина
- Мемлекеттік басқару
- Менеджмент
- Мұнай, Газ
- Мұрағат ісі
- Мәдениеттану
- ОБЖ (Основы безопасности жизнедеятельности)
- Педагогика
- Полиграфия
- Психология
- Салық
- Саясаттану
- Сақтандыру
- Сертификаттау, стандарттау
- Социология, Демография
- Спорт
- Статистика
- Тілтану, Филология
- Тарихи тұлғалар
- Тау-кен ісі
- Транспорт
- Туризм
- Физика
- Философия
- Халықаралық қатынастар
- Химия
- Экология, Қоршаған ортаны қорғау
- Экономика
- Экономикалық география
- Электротехника
- Қазақстан тарихы
- Қаржы
- Құрылыс
- Құқық, Криминалистика
- Әдебиет
- Өнер, музыка
- Өнеркәсіп, Өндіріс
Қазақ тілінде жазылған рефераттар, курстық жұмыстар, дипломдық жұмыстар бойынша біздің қор #1 болып табылады.

Ақпарат
Қосымша
Email: info@stud.kz