Жартылай өткізгіш стабилитрондар


МАЗМҰНЫ
КІРІСПЕ
1 ТЕОРИЯЛЫҚ БӨЛІМІ
1. 1 Жартылай өткізгіш стабилитрондар
1. 2 Жартылай өткізгішті диодтардың белгілену жүйесі
4
5
7
КІРІСПЕ
Электр тізбектер теориясы ғылым ретінде электр тізбектерінің анализі және синтезін, схеманы және құрылғылардың маңызды аспабы болып табылады, ол электротехникада және радиотехникада көп қолданылады. Электр тізбектерге әр-түрлі техникалық аспаптар жатады. Электр тізбектердің құрылуының бастамасы Ом заңынан 1826 жылы және Киргофтан 1845 жылдан, 1876 жылы П. Н. Яблочковтың трансформаторды, 1895 жылы А. С. Поповтың радионы, 1906 Л. де Ворестомтың триоданы ойлап табуы. Электр тізбектерге әр-түрлі техникалық аспаптар жатады. Қай жерде болмасын әнгіме электр тогында немесе электр қысымында болса, онда ол жерде электр тізбектерінің қатысы болады. Эквиваленттті электр тізбек процесі интегро - дифференциалдық теңдеу арқылы көрсетеді, оның шешімі тізбектің анализінің кірістегі әрекетінің реакциясын көрсетеді, егер бастапқы шарты берілсе. Осылайша, электр тізбектер теориясының әдістеріне кіреді: Эквивалентті идеалдық тізбектің құрылуы, нақты құрылғыға лайықты; Тезбектің құрылуы және шешуі, алынған қорытындыны келтіру анализдік реалдық тізбекке сәйкес. Электр тізбектерінің бірінші қадамы: оның математикалық моделі идеалдық түрде болу керек. Бұл идеалдық ғылыми әдісте тізбектер теориясының мінездемесінің бірі болып саналады. Электр тізбектер теориясы ғылым ретінде электр тізбектерінің анализі және синтезін, схеманы және құрылғылардың маңызды аспабы болып табылады, ол электротехникада және радиотехникада көп қолданылады1924 жылы Р. Фостер және 1926 жылы В. Кауэр тапсырма тізбектер синтезі арқылы шешу методикасын құрастырған. Басты тапсырма, яғни электр тізбектерінің теориясын шешу, екі топқа бөлінген: анализ және синтез. Анализ тапсырмасы процестерді зерттеумен байланысты. Тізбектен өтіп, оның элементтерінің параметрлері бегілі құрылымы берілген. Электр тізбектерінің бірінші қадамы: оның математикалық моделі идеалдық түрде болу керек. Нақты электр тізбегі тізбектің эквивалентін көрсетеді, идеалдық элементтерден тұратын. Синтез тапсырмасы тізбек құрылымын және параметрлерін іздеуге болады, берілген заң бойынша бұл процес бағынадыМысалы: электр тізбегінің элементі минималді сан болса, немесе оның шекті төмен құнында.
Синтез тапсырмасы тізбек құрылымын және параметрлерін іздеуге болады, берілген заң бойынша бұл процес бағынады.
Синтез анализге қарағанда қиынырақ тапсырма болып есептеледі, өйткені ықшамдылық мақсат шешімін болжайды, берілген талаптар орындалады. Бұл идеалдық ғылыми әдісте тізбектер теориясының мінездемесінің бірі болып саналады. Қай жерде болмасын әнгіме электр тогында немесе электр қысымында болса, онда ол жерде электр тізбектерінің қатысы болады.
1 ТЕОРИЯЛЫҚ БӨЛІМІ
1. 1 Жартылай өткізгіш стабилитрондар
Кейде тіректі диодтар деп аталатын жартылай өткізгіш стабилитрондар кернеу стабилизациясы үшін арналған. Олардың жұмысы диодтың кері бағытында қосылуында рn -өтудің электрлік ойық көрінісінде негізделген.
Ойық механизмі туннельді, көшкінді немесе аралас болу мүмкін. Төмен вольтты стабилитрондарда (база кедергісі төмен) туннельді ойық болу ықтималдығы жоғары. Жоғары омды базасы бар стабилитрондар ойығы көшкін мінезді. Рn -өту стабилитрондар жасауында қолданылатын материалдардың қоспа концентрациясы жоғары. Сонымен қоса рn -өтуде электрлік алаңның кернеулілігі жай диодтарға қарағанда жоғары. Рn -өтуде қатыстық көп емес кері кернеулерде электрлік ойықтарды туғызатын қатты электрлік алаң пайда болады. Бүл тәртіпте диод ысуы көшкін мінездемелерін білдірмейді. Сондықтан электрлік ойықтар жылулыққа өтпейді.
Мысал ретінде 1. 1, а - суретте КС510А әртүрлі температура кезінде вольт-амперлік сипаттамалары келтірілген. 1. 1 б - суретте стабилитронның шартты белгісі мен оның кернеу стабилизация сұлбасына қосылуы бейнеленген.
Жүкте кернеу стабилизациясы келесі түрде өтеді.
Егер, мысалы, кірістік кернеу өсті, онда кедергі стабилитронда кемиді, ондағы ток өседі, ал кернеу жүкте кері стабилитрон тармағы өзіндік сипаттамасына орай өзгермейді. Артық кернеу балласты R б резисторда өшеді.
Стабилитрон стабилизация кернеуі салыстырмалы база кедергісіне тәуелді (қоспа концентрациясымен анықталатын) . База салыстырмалы кедергісі көп болған сайын, стабилизация кернеуі соншалық көп болады. Өндірісте стабилизациясы 3, 3-180 В кернеуі бар стабилитрондар шығарылады.
а ) б )
Сурет 1. 1 Стабилитронның вольт-амперлі сипаттамасы және жартылай өткізгіш стабилитронның жүкте кернеу стабилизация сұлбасына қосу ( б )
Стабилитрондардың негізгі параметрлері:
1. Стабилизация кернеуі U ст.
2. Стабилизация максималды тогы I ст, mах.
3. Стабилизация минималды тогы I ст, min.
4. Ойық аумағында сияқты берілген мән бойынша анықталатын rдиф дифференциалды кедергі.
5. Стабилизация кернеу температуралық коэффициенті ст.
Ойық режимі негізгі емес тасымалдағыштар инжекциясымен байланысты емес. Сондықтан, тасымалдағыш жиналуы мен таралуымен байланысты стабилитрондағы инерционды құбылыстар ойық ауданынан жабылатын ауданға және керісінше де болмайды. Бұл оларды импульстық сұлбаларда деңгей фиксаторы және шектегіш ретінде қолдануға мүмкіндік береді.
Стабилизация сұлбасын есептеу мақсаты ол номиналды кірістік кернеуде U вх жүк кедергісі R Н арқылы керек ток өтеді, мұнда кернеу жүкте және стабилитронда стабилизация U CT кернеуіне тең болуы қажет, ал стабилитрон арқылы өтетін ток I ст ср тең болу керек. Тармақ кернеу стабилизация параметрлерін астыңғы теңдеу қанағаттандырылатын түрде таңдайды:


Мұндағы U и max және U и min - қоректену көзінің максималды және минималды кернеуі.
I н max және I н min жүктің максималды және минималды токтары, әрине R н max мен R н min сәйкес келеді.
Егер (1. 1), (1. 1) теңсіздіктер қанағаттандырылмаса, онда берілген параметрлері бар параметрлік стабилизаторды жүзеге асыруға болмайды және одан күрделі техникалық шешімдер қабылдау қажет.
Кернеу стабилизация коэффициентінің температурасын кішірейту үшін стабилитронмен дәйекті түрде қосымша диод қосады (1. 2, а- сурет) . Бұнымен қоса вольт-амперлік сипаттама көрінісі (1. 1, а -сурет) тікелей кернеуде U өзгереді және бұл аумақ кері тармақ диод VD1 сипаттамаларын көрсетеді. Жоғары көрсетілгеннен айырмашылығы, осындай компенсацияланған стабилитрон кернеу параметрлерін өзгертпейді, оның полярлығы стабилизацияланатынға қарсы, бұл құралдар қатарын салуға ыңғайлы. Осы стабилитрондар прецизионды аттарын алды және өнеркәсіптерден біткен компоненттер ретінде шығарылады, мысалы, 2С191, КС211, КС520 және т. б. Оларда қосымша тағы уақытша кернеу стабилизация тұрақсыздығы нормаланады (мыңдық пайыз бөліктері - пайыз бөлігі) және берілген уақытша тұрақсыздық режиміне өтетін уақыт (минут ондықтары) .
Прецизионды кернеу стабилизаторларда R б резистор орнына ток стабилизаторын орнатады. Оның қажеттілігі: стабилитрон арқасында ток өзгерісі I ст мәніне кернеу құлауында U ст өзгереді ( U ст = I ст r диф) . Сондықтан, I ст кіші болған сайын талап етілетін кернеу мәні көпке дейін тұрады.
Сурет 1. 2 Стабилитронның температуралық стабилизациясы ( а ) ; екіполярлы кернеу стабилизациясы үшін стабилитрон қосуы ( б ) ; үшкомпенсацияланған стабилитрондар көмегімен екіполярлы стабилизация ( в ) ; екіполярлы кернеу стабилизациясы бар стабилитрон ( г )
Қажет жағдайда екіполярлы кернеулердің стабилизациясын қамтамасыз ету үшін стабилитрондарды дәйекті түрде қосады (1. 2, б - сурет), ал прецизионды (қосымша компенсацияландыратын диодтармен) - параллельді (1. 2, в - сурет) .
Бұдан басқа, өнеркәсіптер екіанодты деп аталатын стабилитрондар шығарады, мысалы, 2С170А, 2С182А және т. б., олар стабилизация мен екіполярлы кернеу шектеуін қамтамасыз етеді (1. 2, г - сурет) . Оларға қосымша кернеу стабилизация симметриялық сыздықтың мәнін нормаландырады.
Керек кезде кернеудің қысқа импульстерін (ұзақтығы оншақты не жүз мкс) стабилизациялау мен шектеу үшін, бұл мақсаттарға арналған стабилитрондар қолдануға болады, мысалы, 2С175Е, КС182Е, 2С211Е және басқа. Олар төмендетілген бөгет сыйымдылығына ие, солай ортақ сыйымдылық екі оншақты пФ құрайды және өтпелі үрдістің аз ұзақтығына ие (нс бөліктері - бірнеше нс) .
1. 2 Жартылай өткізгішті диодтардың белгілену жүйесі
Жартылай өткізгішті диодтардың белгіленуі алты элементтерден тұрады. Бірінші элемент - әріп, диод қандай жартылай өткізгішті материал негізінде орындалғанын көрсетеді. Г әрпімен германий немесе оның қоспаларын белгілейді, кремний және оның қоспалары - К, галлий қосындылары - А. Арнайы тағайындалуы бар аспаптарда әріптер сәйкес келетін сандармен ауыстырылады: германий - 1, кремний - 2, галлий қоспалары - 3.
Екінші элемент - диод класс тармақтарын білдіретін әріп: түзеткіш, импульсті, универсалды - Д, варикаптар - В, туннельді және бағытталған диодтар - И, стабилитрондар - С, жоғары жиілікті - А.
Үшінші элемент - диод тағайындалуын анықтайтын сан (101-ден 399-ға дейін түзеткіш, 401-ден 499-ға дейін - универсалды, 501-ден 599-ға дейін - импульсті) . Стабилитрондарда бұл сан таралу қуатын анықтайды.
Төртінші және бесінші элемент - технологиялық типтің параметрлік топтарға бөлінуін анықтайтын сандар (стабилитрондарда бұл сандар стабилизация номиналды кернеуін көрсетеді) .
Алтыншы элемент - технологиялық типті параметрлік топтарға бөлінуін көрсететін әріп (бір типті аспаптарды тағайындалуына сәйкес топтарға бөледі) . Стабилитрондарда әріптер құру бірізділігін анықтайды, мысалға: КД215А, ГД412А, 2Д504А, KB101А, КС168А және т. б.
Мысал: ГД412А. Г - германийлік; Д диод; 4 универсалды; 12 құрастырма нөмірі; А топ.
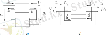
1. 3 Төртұштық жайында қысқаша теория
Электр тізбектеріндегі режимдерді зерттеу кезінде көбінесе екі ұштықтар және төртұштықтар пайдаланылады. Төртұштық деп кірістік екі ұшы және шығыстық екі ұшы бар электр сұлбасын немесе электр қондырғысын айтады. Төртұштықтарға электр тарату жүйелері, трансформаторлар, электр сүзгілері, күшейткіштер және т. б. қондырғыларды жатқызуға болады. Төртұштықты қоректендіру көзі мен жүктеме арасындағы беріліс буыны ретінде қарастыруға болады. Төртұштықтар шартты түрде тік төртбұрыштар түрінде белгіленеді, олар тиісті қысқыштар көмегімен тізбектің басқа бөліктерімен жалғанады. Әдетте кірістік қысқыштарға
қоректендіру көзін, ал шығыстық қысқыштарға
жүктемені жалғайды, кейде керісінше жалғануы да мүмкін (1. 3а-сурет) .
Сурет. 1. 3
Төртұштықтарды қарастырғанда, барлық сұлбалар сияқты кернеулердің және токтардың оң бағыттарын шарт бойынша келісіп, таңдап алу керек. Келтірілген 1ә және 1б суреттерде аса көп таралған баламалы Т- тәрізді және П- тәрізді сұлбалар келтірілген.
Төртұштықтардың ішкі тармақтарында энергия көздерін болмаса, онда оларды пассивті дейміз. Тікбұрыш ішіне «П» әрпі жазылады немесе оның іші бос болады (1а-сурет) . Егер төртұштықтың ішкі тармақтарында энергия көзі болса, онда оны активті дейміз. Тікбұрыш ішіне «А» әрпі жазылады.
Жұмыс кезінде төртұштықтың ішкі сұлбасы және оның кедергілері өзгермейді деп есептелінеді. Төртұштықтардың қасиеттері оның параметрлері және теңдеулері арқылы сипатталынады.
Кез келген төртұштықтың кірістік кернеуі мен кірістік тогының оның шығыстық кернеуі мен шығыстық тогының арасындағы байланысты өрнектейтін мынадай екі теңдеу бар:
А - пішіндегі бұл теңдеулерді матрицалық түрде жазуға болады.
мұндағы
және
- кірістік кернеу мен кірістік ток;
,
-шығыстық кернеу мен шығыстық ток;
,
,
,
- комплекстік коэффициенттер, мәндері ішкі сұлбаға, ішкі кедергілерге және жиілікке тәуелді.
Коэффициенттерді есептік немесе тәжірибелік жолмен анықтауға болады.
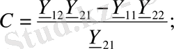
Төртұштықтың теңдеулерінің алты жазылу түрлері бар, біз үш түрін қарастырамыз:
.
Z-параметрлі кедергі түріндегі төртұштықтың беріліс теңдеулері:
Матрицалық түрінде:
Төртұштықтың беріліс теңдеулерінің коэффициенттері төртұштықтың параметрлері деп аталады.
параметрлері өткізгіштік түріндегі төртұштықтың беріліс теңдеулері:
Матрицалықтүрде:
А параметрлерді анықтау үшін бұл теңдеулерден
және
анықтап аламыз:
Мұндағы
Төртұштықтардың өзара жалғануы. Екі және одан көп төртұштықтарды бірізді жалғаған кезде, яғни кірістік қысқыштары тізбектей жалғанған және шығыстық қысқыштары да тізбектей жалғанған (1. 4 а-сурет) :
Төртұштықтар параллель жалғанған кезде, ягни кірістік қысқыштар шығыстық қысқыштармен параллель жалғанған(1. 4ә-сурет) :
Сурет 1. 4
Саны көп төртұштықтардың каскадты жалғануы жиі қолданылады (1. 5-сурет) .
Сурет 1. 5
Төртұштықтың коэффициенттерін анықтау.
Жоғарғы формулалардан А, В, С, D коффициенттерінің мәндері үш әртүрлі тұрақты шамалармен байланысты екендігі көрінеді анықталады. Егер бір мезгілде кірістік қысқыштардағы
, сондай-ақ шығыстық қысқыштардағы
кернеуді және токты өлшеуге мұмкіндік болса, онда А, В, С, D коэффициенттерін анықтау үшін екі тәжірибенің нәтижелері жеткілікті болар еді, олар бос жүріс және қысқа тұйықталу тәжірибелерінің нәтижелері.
1. Шығыстық қысқыштарды қысқа тұйықталған кезде, яғни
.
Шығыстық қысқыштар қысқа тұйықталған кезінде кірістік қысқыштар жағынан кірістік кедергі
.
2. Шығыстық қысқыштар тұйықталмаған кезде, яғни бос жүріс режимінде
болғанда
,
Бұдан бос жүріс режіміндегі кірістік қысқыштар жағынан кірістік кедергі
3. Қоректендіргішті шығыс жағынан қосамыз да, кіріс жағын қысқа тұйықтаймыз (
) :
.
Шығыстық ұштар жағынан кірістік кедергі
.
Сонымен белгісіз төрт А, В, С, D коэффициенттерін анықтау үшін төрт теңдеуден тұратын жүйені құрамыз:
.
Жүйені шешеміз де коэффициентттерді табамыз:
,
және
.
Төртұштықтың жұмыс режімін сипаттау үшін
жүктеме кедергісі кезінде 1-1
1
кірістік қысқыштар жағынан кірістік кедергісі жайында түсінік, ал жүктеме кедергісі
кезіндегі шығыстық қысқыштары 2-2
1
жағынан кірістік кедергісі жайында түсінік жиі пайдаланылады.
Сурет 1. 6
1-1 1 қысқыштар жағынан кірістік кедергісі:
.
2-2
1
қысқыштары жағынан кірістік кедергісі:
.
Іс жүзінде
және
үшін басқа да өрнектерді жиі пайдалануға болады. Мысалы,
2. ЕСЕПТІК БӨЛІМ
2. 1. Төртұштықтың А - параметрін анықтау
Төртұштықтың бастапқы схемасы берілсін (Сурет 2. 1) және оның элементтерінің параметрлері (кесте 2) .
Кесте 2
Сурет 2. 1 Төртұштықтың бастапқы схемасы
Берілген төртұштықтың А - параметрінің формуласын анықтаймыз. Бұл үшін бастапқы төртұштықтың схемасын қысқартамыз (Сурет 2. 1) .
Параллель жалғанған С сыйымдылық пен R 1 кедергісін комплексті Z 5 кедергіге алмастырамыз. Ал, параллель жалғанған R 2 және R 4 кедергілерін R 6 кедергісіне алмастырамыз (Сурет 2. 1)
Сурет 2. 2.
Z 1 =
А 11 және А 21 параметрлерін бос жүріс ( I 2 = 0) тәжірибесіненаламыз.
және А 22 (Сурет 30) тәжірибесінентабамыз ( U 2 = 0) .
Сурет 2. 3. Қысқа тұйықталу кезіндегі төртұштықтың шығысындағы қысқартылған схемасы
Төртұштықтың қысқа тұйықталу кезіндегі шығысы берілген схема үшін кіріс және шығыс токтары өзара тең( I 1 = I 2 ) .
Тексеру. Егер формулдан А - параметрлері дұрыст абылса, онда келесі шарт орындалуы керек
Шарт орындалды, сондықтан, А-параметрінің формуласы дұрыс табылды.
Екінші параметрлерді табу мысалы жүргізілмейді, өйткені ол жәй комплексті сандармен есептелінеді.
(АЖС) жәнефазалыжиілікті (ФЖС) .
Сурет 2. 4 Төртұштықтың бастапқы схемасы
Кернеу бойынша беріліс функция формулаларын шығару
Кернеу бойынша беріліс функциясы деп төртұштықтың бос жүріс (I 2 =0) шығысындағы шығыс кернеуінің U 2 (j) кіріс кернеуіне U 1 (j) қатынасын айтамыз.
=
=
Жазбаны жеңілдету үшін комплекстік форма белгіленуін қолданамыз.
=
;
- Схеманы жеңілдетеміз
Схеманы қысқартамыз. Параллель жалғанған С сыйымдылық пен R 1 кедергісін комплексті Z 4 кедергіге алмастырамыз. Ал, параллель жалғанған R 3 және R 4 кедергілерін R 5 кедергісіне алмастырамыз. Схемада кернеу мен токты көрсетеміз (Сурет 2. 5) .
Сурет 2. 5. Төртұштықтың қысқартылған схемасы
... жалғасы- Іс жүргізу
- Автоматтандыру, Техника
- Алғашқы әскери дайындық
- Астрономия
- Ауыл шаруашылығы
- Банк ісі
- Бизнесті бағалау
- Биология
- Бухгалтерлік іс
- Валеология
- Ветеринария
- География
- Геология, Геофизика, Геодезия
- Дін
- Ет, сүт, шарап өнімдері
- Жалпы тарих
- Жер кадастрі, Жылжымайтын мүлік
- Журналистика
- Информатика
- Кеден ісі
- Маркетинг
- Математика, Геометрия
- Медицина
- Мемлекеттік басқару
- Менеджмент
- Мұнай, Газ
- Мұрағат ісі
- Мәдениеттану
- ОБЖ (Основы безопасности жизнедеятельности)
- Педагогика
- Полиграфия
- Психология
- Салық
- Саясаттану
- Сақтандыру
- Сертификаттау, стандарттау
- Социология, Демография
- Спорт
- Статистика
- Тілтану, Филология
- Тарихи тұлғалар
- Тау-кен ісі
- Транспорт
- Туризм
- Физика
- Философия
- Халықаралық қатынастар
- Химия
- Экология, Қоршаған ортаны қорғау
- Экономика
- Экономикалық география
- Электротехника
- Қазақстан тарихы
- Қаржы
- Құрылыс
- Құқық, Криминалистика
- Әдебиет
- Өнер, музыка
- Өнеркәсіп, Өндіріс
Қазақ тілінде жазылған рефераттар, курстық жұмыстар, дипломдық жұмыстар бойынша біздің қор #1 болып табылады.

Ақпарат
Қосымша
Email: info@stud.kz