КВАДРАТ ТЕҢДЕУЛЕРДІ ШЕШУ ЖОЛДАРЫНЫҢ ӘР ТҮРЛІ ӘДІСТЕРІ ТУРАЛЫ


ӘОК 378. 6. 016. 02:51(574)
КВАДРАТ ТЕҢДЕУЛЕРДІ ШЕШУ ЖОЛДАРЫНЫҢ ӘР ТҮРЛІ ӘДІСТЕРІ
З. Е. Темірғали, Б. А. Қадырбаева
І. Жансүгіров атындағы Жетісу мемлекеттік университеті, Талдықорған қ.
Білім өркениеттіліктің әрі өлшемі, әрі тетігі болып табылатындықтан кез келген мемлекеттің рухани және әлеуметтік дәрежесі білім деңгейіне байланысты бағаланады.
Жан-жақты үйлесімді, өркениетті елдің ұрпағын тәрбиелеп шығу бүгінгі мектептің алдына қойылған мақсаттардың бірі. Бұл мақсат әрбір орта мектеп мұғалімінен бүгінгі заман талабына сай оқыту әдістемесін күннен күнге жетілдіре түсуін талап етеді. Осы талаптың орындалуы орта мектеп бағдарламасындағы әрбір пәннің әр тарауының әр тақырыбын оқушы санасына жететіндей етіп оқытқанда ғана орындалады. Олай болса, оқушыларды жеке тұлға етіп тәрбиелеуде математика пәнінің де алатын орны, салмағы зор.
Бұл мақала алгебра курсында қарастырылатын квадрат теңдеулерге және оларды шешу жолдарының әр түрлі әдістеріне негізделініп отыр.
«Квадрат теңдеулер» мектептегі алгебра курсының маңызды тақырыптарының бірі. Көптеген табиғи үдірістер мен құбылыстар, с. с. мазмұнды есептердің шығарылуы квадрат теңдеулерді шешуге келіп тіреледі. Теңсіздіктерді шешу, функцияларды зерттеу (функцияның нөлдерін, экстремум нүктелерін, өсу және кему аралықтарын табу), ең үлкен және ең кіші мәндерді табу есептерін шығару және т. б. жағдайларда квадрат теңдеулерді шеше білу қажеттігі туындайды. Сондай-ақ тригонометриялық, көрсеткіштік және логарифмдік теңдеулерді, физикада және техникада, геометрия курсының есептерін алмастыру тәсілімен шешкенде квадрат теңдеулерге келтіріледі.
Зерттеу барысында мектеп оқушыларына «квадрат теңдеулерді» шешу жолдарының тоғыз түрлі әдісімен таныстыруға мүмкіндік бар екендігін анықтадық. Атап айтқанда, олар төмендегідей болып табылады:
1-әдіс. Теңдеудің сол жақ бөлігін көбейткіштерге жіктеу
Мысал: х 2 +4х+3 =0 теңдеуін шешейік.
Теңдеудің сол жақ бөлігін көбейткіштерге жіктейміз:
х 2 +х+3х+3 =х(х+1) +3 (х+1) =(х+1) (х+3)
Демек, теңдеуді былай жазуға болады: (х+1) (х+3) =0
Көбейтінді нөлге тең болғандықтан, ең болмағанда көбейткіштердің біреуі нөлге тең болуы керек. Сондықтан теңдеулердің сол жақ бөлігіндегі х
=-1 және
сандары х
2
+4х+3=0 теңдеуінің түбірлері болып табылады.
2-әдіс. Толық квадратқа келтіру әдісі
Мысал: х 2 +8х-9=0 теңдеуін шешейік.
Сол жақ бөлігін толық квадратқа келтіреміз. Ол үшін х 2 +8х өрнегін төмендегідей жазып аламыз: х 2 + 8х=х 2 +2х4
Алынған өрнектің бірінші қосындысы х-тың квадраты, ал екінші қосындысы х пен 4-тің екі еселенгені. Толық квадрат алу үшін 4 2 -ын қосу керек. Сонда х 2 +2х4+4 2 =(х+4) 2
Енді теңдеудің сол жағын түрлендіреміз. Берілген теңдеуге 4
2
-ын қосып, алып тастаймыз. Сонда шығатыны: х
2
+8х-9=х
2
+2х4+4
2
-9-4
=(х+4)
2
-25
Сонымен, берілген теңдеуді былайша жазуға болады: (х+4) 2 -25=0, яғни (х+4) 2 =25.
Бұдан х+4=5, х
=1 немесе х+4=-5, х
= -9. Жауабы: 1; -9
3-әдіс. Квадраттық теңдеулерді формула арқылы шешу
ах 2 +вх+с=0, а≠0 теңдеудің екі жағын да 4а-ға көбейтеміз де, төмендегі өрнекті аламыз:
4а 2 х 2 +4ахв+4ас=0
((2ах) 2 +4ахв+в 2 ) -в 2 +4ас=0, (2ах+в) 2 =в 2 -4ас
2ах+в=
Equation. 3
, 2ах = -в
![]()
![]()
х
=
(1)
Оған келесідегідей мысалдар келтіруге болады:
1) 3 х 2 - 7 х+ 4=0 теңдеуін шешейік.
а=3, в=-7, с=4. Д=в 2 -4ас=(-7) 2 -4·4·3=49-48=1.
Д>0 болғандықтан, екі әр түрлі түбір болады: х
1
=1, х
2
=
Сонымен, дискриминант оң болғанда, яғни в 2 -4ас>0, ах 2 +вх+с=0 теңдеуінің екі түрлі түбірі болады.
2) 9х 2 +6х+1=0 теңдеуін шешейік.
а=9, в=6, с=1. Д=в 2 -4ас=6 2 -4·9·1=0.
Д=0 болғандықтан, бір ғана түбір бар болады: х=
, х=
Сонымен, егер дискриминант нөлге тең болса, яғни в 2 -4ас=0, ах 2 +вх+с=0 теңдеуінің жалғыз
түбірі бар болады: х=
3) х 2 +2х+3=0 теңдеуін шешейік.
а=1, в=2, с=3. Д=в 2 -4ас=4-4·3·1= -8.
Д<0 болғандықтан, теңдеудің нақты сандар өрісінде түбірі болмайды.
Сонымен, егер дискриминант теріс болса, яғни в 2 -4ас<0, онда ах 2 +вх+с=0 теңдеуінің түбірі болмайды.
4-әдіс. Виет теоремасын пайдаланып теңдеулерді шешу
Келтірілген түбірлері Виет теоремасын қанағаттандырады.
Ол былай беріледі: а=1 болғанда,
Бұдан келесі тұжырымдарды шығаруға болады:
а) Егер q (1) теңдеудің бос мүшесі оң болса (q
0) онда теңдеудің екі бірдей таңбалы түбірі болады. Егер р>0, онда екі түбірі де теріс болады, егер р<0, онда түбірлері оң болады.
Мысал, 1) х 2 -9х+20=0, х 1 =4, х 2 =5, мұнда q=20 >0, р=-9 <0;
2) х 2 +5х+6 =0, х 1 =-2, х 2 =-3, мұнда q =6 >0, р =5 >0.
б) Егер q (1) теңдеудің бос мүшесі теріс болса (q <0), онда теңдеудің екі түрлі, таңбалы екі түбірі болады, түбірдің модулі бойынша үлкені оң болады, егер р <0 болса, теріс болады, егер р >0. Мысал, 1) х 2 +3х-4 =0; х 1 =-4, х 2 =1 мұнда q =-4 <0, р=-3 >0
2) х 2 -7х-8 =0; х 1 =8, х 2 =-1 мұнда q =-8 <0, р =-7 <0
5-әдіс. Теңдеуді «асыра лақтыру» әдісімен шешу
ах
2
+вх+с =0, а ≠0 квадрат теңдеуін қарастырамыз. Теңдеудің екі жағын да а-ға көбейтіп, мынаны аламыз: а
2
х
2
+авх+ас=0. ах =у деп белгілесек, х =
. Олай болса у
2
+ву+ас =0 теңдеуіне келеміз. Бұл бастапқы теңдеумен тең. Теңдеудің түбірлерін у
1
, у
2
-ні Виет теоремасы арқылы табамыз. Соңында х
1
=
, х
2
=
-ны аламыз. Бұл жағдайда
а коэффициентін бос мүшеге көбейтеді. Сондықтан да бұл әдісті «асыра лақтыру» әдісі деп атайды [1, 13бет] . Бұл әдісті көбінесе Виет теоремасын пайдаланып түбірді оңай табуда және дискриминант дәл квадрат болғанда қолданады.
Мысал: 2х 2 -9х+9=0 теңдеуін шешейік.
Шешуі: 2 коэффициенті теңдеудің бос мүшесіне асыра лақтырамыз, нәтижесінде
у 2 -9у+18=0 теңдеуін аламыз. Виет теоремасы бойынша
Жауабы: 3; 1, 5.
6-әдіс. Квадрат теңдеулердің коэффициенттерінің қасиеттерін қолдану
ах 2 +вх+с=0, а≠0 квадрат теңдеуі берілген.
Егер а+в+с=0 (яғни коэффициенттер қосындысы 0-ге тең) болса, онда х
1
=1, х
2
=
Мысал: 7+2-9=0 қосындысы 0-ге тең. Осы үш сан үшін квадрат теңдеу құрастырып, оны шешейік:
7-әдіс. Квадрат теңдеуді циркуль және сызғыш көмегімен шешу
ах
2
+вх+с=0 квадраттық теңдеуін циркуль және сызғыш көмегімен шешу әдісін ұсынамыз (1-сурет) . Ізделінді шеңбер абцисса өсінде В(х
; 0) және Д (х
2
; 0) нүктелерінде қиылыссын делік. Мұндағы х
1
, х
2
- ах
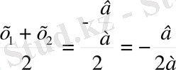
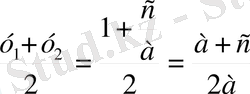
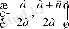
2
+ вх + с=0 теңдеуінің түбірлері және ординат осінен А(0; 1) және С(0;
) нүктелері арқылы өтеді делік. Олай болса, қима туралы теорема бойынша мынаны аламыз:
ОВ·ОД=ОА·ОС,
бұдан ОС=
1-сурет
Шеңбер центрі АС және ВД хорда ортасында орналасқан перпендикуляр SF пен SК-ның
қиылысу нүктелері болып табылады, сондықтан
SК=
;
SF =
Сонымен,
1) S
(шеңбер центрі) және А (0; 1) нүктелерін тұрғызамыз;
2) SА радиусты шеңбер жүргіземіз;
3) Осы шеңбердің Ох осі арқылы өтетін қиылысу нүктелері бастапқы квадрат теңдеудің түбірі болады.
Сонымен үш түрлі жағдай болуы мүмкін:
1-ші жағдай. Шеңбер радиусы ордината центрінен артық (АS > SК, немесе,
шеңбер Ох осін екі нүктеде (2а-сурет) В (х
; 0) және Д (х
2
; 0) нүктелерде қияды. Мұндағы х
1
және х
2
-ах
2
+вх+с =0 квадрат теңдеуінің түбірлері) .
2-ші жағдай. Шеңбер радиусы ордината центрінде (АS= SК; немесе
тең, шеңбер Ох осін В (х
1
; 0) нүктесінде (2б) -сурет) жанап өтеді, мұндағы х
1
- квадрат теңдеудің түбірі) .
- Іс жүргізу
- Автоматтандыру, Техника
- Алғашқы әскери дайындық
- Астрономия
- Ауыл шаруашылығы
- Банк ісі
- Бизнесті бағалау
- Биология
- Бухгалтерлік іс
- Валеология
- Ветеринария
- География
- Геология, Геофизика, Геодезия
- Дін
- Ет, сүт, шарап өнімдері
- Жалпы тарих
- Жер кадастрі, Жылжымайтын мүлік
- Журналистика
- Информатика
- Кеден ісі
- Маркетинг
- Математика, Геометрия
- Медицина
- Мемлекеттік басқару
- Менеджмент
- Мұнай, Газ
- Мұрағат ісі
- Мәдениеттану
- ОБЖ (Основы безопасности жизнедеятельности)
- Педагогика
- Полиграфия
- Психология
- Салық
- Саясаттану
- Сақтандыру
- Сертификаттау, стандарттау
- Социология, Демография
- Спорт
- Статистика
- Тілтану, Филология
- Тарихи тұлғалар
- Тау-кен ісі
- Транспорт
- Туризм
- Физика
- Философия
- Халықаралық қатынастар
- Химия
- Экология, Қоршаған ортаны қорғау
- Экономика
- Экономикалық география
- Электротехника
- Қазақстан тарихы
- Қаржы
- Құрылыс
- Құқық, Криминалистика
- Әдебиет
- Өнер, музыка
- Өнеркәсіп, Өндіріс
Қазақ тілінде жазылған рефераттар, курстық жұмыстар, дипломдық жұмыстар бойынша біздің қор #1 болып табылады.

Ақпарат
Қосымша
Email: info@stud.kz