Лежандр түрлендіруі


Енді
f
(
α
) функциясы мен τ(
q
) функциясы арасындағы байланысты табайық. Ол үшін
Z
(
q, δ
) статистикалық қосындыны есептеуіміз керек
.
(26) теңдікке ықтималдылық мәнін
қойып, және
i
бойынша қосындыны, (42) ықтималдық тығыздығы
α
бойынша интегралдап есептесек, келесі өрнекті аламыз
. (46)
δ өлшемі өте кішкене болғандықтан, бұл интегралға дәрежелік көрсеткіштері qα - f ( α ) минималды болатын (интеграл астындағы функция максимал болады) α ( q ) мәндері басты үлес қосады. Бұл қосылған үлес, интеграл астындағы функцияның максимум нүктесіндегі мәніне пропорционал болатындығы айқын. Ал α ( q ) мәні төмендегі шарттан анықталады
. (47)
Минимум шартынан
(48)
Нәтижесінде α ( q ) тәуелділігі келесі теңдіктен айқын емес түрде анықталады:
(49)
және f ( α ) функциясы барлық жерде дөңес болып келеді
(50)
Бұл α ( q ) мәнін (46) интегралға қойып, статистикалық қосындының өрнегін аламыз.
. (51)
Бұл f ( α ( q ) ) өлшемі, q дәрежелік көрсеткіштің берілген мәндерінде (46) статистикалық қосындыға басым үлес қосатын, ℒ α ( q ) ішкі жиынның фракталдық өлшемділігін анықтайды.
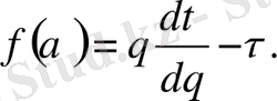
(51) және (26) теңдіктерді салыстыра отырып, біз келесі тұжырымға келеміз
. (52)
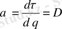
Осыдан (24) теңдік көмегімен D q функциясын табуға болады
(53)
Осылайша, егер біз f ( α ) мультифракталдық спектр функциясын білсек, (49) және (53) теңсіздіктері арқылы D q функциясын таба аламыз. Және керсінше, D q біле отырып келесі теңдеудің көмегімен α ( q ) тәуелділігін таба аламыз
(54)
және содан кейін (53) формуладан f ( α ( q ) ) тәуелділігі табылады. Бұл екі теңдеу параметрлік күйде f ( α ) функциясын анықтайды.
(54) қатынасын дәлелдеу үшін (52) теңдеуді α бойынша диференциалдайық
(55)
Егер
екенін ескерсек, және бұл теңдікті
қысқартсақ, (54) теңдеуге эквивалентті келесі қатынасты аламыз
(56)
(52) және (56) теңдіктері,
және
айнымалылары арасындағы
Лежандр түрлендіруін
береді.
(57)
Лежандрдың кері түрлендіруі (49) және (51) формулаларымен анықталады
(58)
α
әртүрлі мәндері үшін
f
(
α
) функциясын зерттейік. (52) теңдік бойынша
, ал
q
= 0 болған жағдайда
f
(
α
) функциясының туындысы нөлге айналады. Осыған сәйкес,
f
(
α
) функциясы кейбір
нүктесінде өзінің максимуміне ие болады (
f
(
α
) функциясы барлық жерде дөңес болады) . Біртекті фрактал үшін
D
q
= D = const
. Сондықтан
және
Бұл жағдайда (
α, f
(
α
) ) жазықтығындағы
f
(
α
) функциясы тек бір ғана (
D, D
) нүктесінен ғана тұрады.
Мысал үшін, D q жалпыланған фракталдық өлшемділіктің спектрін және f ( α ) функциясын бізге таныс логикалық бейнелу үшін есептейік (12 а сурет) . Төменде осы есептеулерге арналған бағдарлама келтірілген.
- Іс жүргізу
- Автоматтандыру, Техника
- Алғашқы әскери дайындық
- Астрономия
- Ауыл шаруашылығы
- Банк ісі
- Бизнесті бағалау
- Биология
- Бухгалтерлік іс
- Валеология
- Ветеринария
- География
- Геология, Геофизика, Геодезия
- Дін
- Ет, сүт, шарап өнімдері
- Жалпы тарих
- Жер кадастрі, Жылжымайтын мүлік
- Журналистика
- Информатика
- Кеден ісі
- Маркетинг
- Математика, Геометрия
- Медицина
- Мемлекеттік басқару
- Менеджмент
- Мұнай, Газ
- Мұрағат ісі
- Мәдениеттану
- ОБЖ (Основы безопасности жизнедеятельности)
- Педагогика
- Полиграфия
- Психология
- Салық
- Саясаттану
- Сақтандыру
- Сертификаттау, стандарттау
- Социология, Демография
- Спорт
- Статистика
- Тілтану, Филология
- Тарихи тұлғалар
- Тау-кен ісі
- Транспорт
- Туризм
- Физика
- Философия
- Халықаралық қатынастар
- Химия
- Экология, Қоршаған ортаны қорғау
- Экономика
- Экономикалық география
- Электротехника
- Қазақстан тарихы
- Қаржы
- Құрылыс
- Құқық, Криминалистика
- Әдебиет
- Өнер, музыка
- Өнеркәсіп, Өндіріс
Қазақ тілінде жазылған рефераттар, курстық жұмыстар, дипломдық жұмыстар бойынша біздің қор #1 болып табылады.

Ақпарат
Қосымша
Email: info@stud.kz