Функциялардың жалпыланған Фабер-Шаудер жүйесі бойынша қатарларға жіктеулерінің қасиеттері


МАЗМҰНЫ
Кіріспе . . . 3
1 Жалпыланған Хаар және жалпыланған Фабер-Шаудер жүйелері . . . 10
1. 1 Хаар жүйесі . . . 10
1. 2 Жалпыланған Хаар жүйелері . . . 13
1. 3 Фабер-Шаудер жүйесі . . . 15
1. 4 Жалпыланған Фабер-Шаудер жүйелері . . . 24
2 Функциялардың жалпыланған Фабер-Шаудер жүйесі бойынша қатарларға жіктеулерінің қасиеттері . . . 29
2. 1 Жалпыланған Фабер-Шаудер функциялар жүйесінің базистік қасиеті . . . 29
2. 2 Функциялардың жалпыланған Фабер-Шаудер жүйесі бойынша қатарларға жіктеулерінің қасиеттері . . . 32
2. 3 Жалпыланған Фабер-Шаудер жүйесі бойынша қатарлар үшін жалғыздық жиыны . . . 37
2. 4 Жалпыланған Фабер-Шаудер жүйесі бойынша кемтікті қатарлар . . . 40
3 Фабер-Шаудер жүйесінің квазигриди базистілігі . . . 43
Қорытынды . . . 47
Пайдаланылған әдебиеттер тізімі . . . 48
Кіріспе
Тақырыптың өзектілігі. Техниканың, физиканың әр түрлі салаларында кездесетін ақпараттарды, сигналдарды т. с. өңдеп зерттеу үшін гармониялық талдау әдістері кеңінен қолданылады. Гармониялық талдау күрделі байланыстарды жақсы зерттелген ыңғайлы функциялар жүйесі бойынша жіктеуге негізделеді. Аталған жүйелер қатарында Фабер-Шаудер жүйесі үлкен орын алады. Зерттеу жалпыланған Фабер-Шаудер жүйесіне жіктеу қасиеттеріне арналған.
Диссертациялық жұмыстың мақсаты. Фабер-Шаудер жүйесін құрайтын Ф{p n } функциясының жаңа Ф класс жүйесінде функцияларды қатарларға жіктеулердің қасиеттерін қарастырып, дәлелдеу.
Диссертациялық жұмыстың міндеттері:
функционалдық кеңістікте жалпыланған Фабер-Шаудер жүйесі бойынша ең жақсы жуықтамдардың үзіліссіздік модулі арқылы бағалауын алу.
Жалпыланған Фабер-Шаудер жүйесі бойынша құрылған қатардың мүшелеп дифференциалдану шартын келтіру.
Зерттеу пәні. Функциялардың жалпыланған Фабер-Шаудер жүйесі бойынша қатарларға жіктеулерінің кейбір қасиеттері.
Зерттеу нысаны. Берілген жұмыста зерттеу объектісі ретінде жалпыланған Хаар мен жалпыланған Фабер-Шаудер жүйелері алынды.
Зерттеу жұмысының практикалық маңыздылығы. Жұмыстың теориялық сипаты және практикалық маңызы бар. кәзіргі замандағы көптеген техникалық, физикалық әр түрлі үрдістерді математикалық модельдеуде кездесетін ақпараттарды, сигналдарды т. с. өңдеп зерттеу үшін гармониялық талдау әдістері кеңінен қолданылады. Гармониялық талдау күрделі байланыстарды жақсы зерттелген ыңғайлы функциялар жүйесі бойынша жіктеуге негізделеді. Диссертациялық жұмыстың барлық қорытындылары дәлелденген, теоремалар және леммалар түрінде тұжырымдалған.
Зерттеудің ғылыми жаңалығы. Диссертациялық жұмыста келесі түрдегі жаңалық нәтижелері алынды:
Функциялардың жалпыланған Фабер-Шаудер жүйесі бойынша қатарларға жіктеулерінің кейбір қасиеттері,
функционалдық кеңістікте жалпыланған Фабер-Шаудер жүйесі бойынша ең жақсы жуықтамдардың үзіліссіздік модулі арқылы бағалауы алынған, жалпыланған Фабер-Шаудер жүйесі бойынша құрылған қатардың мүшелеп дифференциалдану шарты келтірілген.
Зерттеуді сынақтан өткізу. Негізгі нәтижелер келесі конференцияларда мақалалар мен тезистер түрінде жарияланды:
Халықаралық ғылыми-практикалық конференция «Шоқан тағылымы-13» (Көкшетау, 2008) ;
Международная научно-практическая конференция, Наука и ее роль в современном мире, (Караганда 2009) ;
Международная научная конференция студентов, магистрантов и молодых ученых, Ломоносов-2008, тезисы докладов, (Астана 2008) ;
Халықаралық ғылыми-практикалық конференция «Шоқан тағылымы-14» (Көкшетау, 2009) ;
Математика және ОӘ кафедрасының семинарларында баяндама жасалып, талқыланды.
Зерттеу әдістері: Функционалдық кеңістіктер қасиеттерін қолданып, гармониялық талдау әдістемелері негізінде зерттеулер жүргізілген.
Қорғауға ұсынылатын қағидалар:
Диссертациялық жұмыс функциялардың жалпыланған Фабер-Шаудер жүйесі бойынша қатарларға жіктеулерінің қасиеттерін зерттеуге арналған. Онда функциялардың кейбір класстары: Хаар жүйесі мен жалпыланған Хаар жүйелері, Фабер-Шаудер жүйесі мен Жалпыланған Фабер-Шаудер жүйелері, жалпыланған Фабер-Шаудер функциялар жүйесінің базистік қасиеті, функциялардың жалпыланған Фабер-Шаудер жүйесі бойынша қатарларға жіктеулерінің қасиеттері, қатарлар үшін жалғыздық жиыны, кемтікті қатарлар және Фабер-Шаудер жүйесінің квазигриди базистілігі қарастырылады.
1909 жылы Хаар құрған классикалық Хаар жүйесі ортогональ қатарлар теориясы мен оның есептеу техникаларында қолданылуында, ықтималдықтар теориясы мен басқаларда маңызды рөл атқарады. Уолш жүйесі мен тригонометриялық жүйелерден айырмашылығы Хаар жүйесі бойынша үзіліссіз функциялар Фурье-Хаар қатары [0, 1] кесіндісінде бірқалыпты жинақталады және Хаар жүйесі бойынша қосындылы функциялар Фурье-Хаар қатары [0, 1] кесіндісінің барлық жерінде
-ке жинақталады.
Фурье-Хаар қатарларының көптеген қасиеттері Г. Алексеич, С. Качмаж, Г. Штейнгауз, Б. С. Кашин, А. А. Саакян монографияларында және Б. И. Голубов шолу мақаласында [17] зерттелген. Фурье-Хаар қатарларының қасиеттерін зерттеуге И. Шаудер, П. Л. Ульянов, И. Марцинкевич, Б. И. Голубов, В. А. Скворцов, С. В. Бочкарев және тағы басқа авторлар жұмыстары арналған.
1958 жылы Н. Я. Виленкин [11] алғаш рет құрамында Хаар жүйесі бар ортогональ жүйелер кластарын қарастырды.
жүйесі
,
бүтін тізбегімен анықталды. және
,
болғанда Хаар жүйесімен сәйкес келеді. Осы класс жүйелерін жалпыланған Хаар жүйесі деп, ал
тізбегін
жүйесін жасаушы деп атайды.
жасаушы тізбегінің шенелген болған жағдайда
Хаар жүйесінен белгілі көптеген нәтижелер жалпыланған Хаар жүйелеріне де сақталады.
болған жағдайда басқа нәтижелер де орын алуы мүмкін.
Жалпыланған Хаар бойынша Фурье қатарларының әр түрлі қасиеттерін Б. И. Голубов пен А. И. Рубенштейн [19], (
жасаушы тізбегінің шенелген болу шарты орындалғанда, яғни
,
), Б. И. Голубов [16] (кез келген
жасаушы тізбектермен), Е. А. Власова [12], Е. С. Смаилов пен С. Тазабеков [29-31], Н. А. Бокаев [9], Г. А. Акишев [1, 2] және басқалар зерттеген.
1910 жылы Г. Фабер ([43] ), 1927 жылы Д. Шаудермен ([48] ) қайта ашылған қазіргі әдебиеттерде «Фабер-Шаудер жүйесі» атауына ие функция жүйесін кұрды. ([23] қараңыз) . Үзіліссіз, құрама-сызықтық функциялардан құрылған бұл жүйе [0, 1] кесіндісінде үзіліссіз функциялар кеңістігінде қарапайым базистің бірі болып табылады. Кейіннен осы жүйе бойынша функцияларды қатарларға жіктеулерінің әр түрлі қасиеттерін бірқатар авторлар П. Л. Ульянов, В. А. Матвеев, С. В. Бочкарев, Т. Н. Сабурова, А. П. Горячев және З. Чисельский зерттеген.
Соңғы онжылдықта 1998-2007 жылдары Т. У. Аубакиров пен Н. А. Бокаев жалпыланған Фабер-Шаудер жүйесін енгізіп, функциялардың жалпыланған Фабер-Шаудер жүйесі бойынша қатарларға жіктеулерінің қасиеттерін зерттеген [6], [7] .
Осы жұмыстың нәтижелерін баяндаудан бұрын жалпыланған Хаар және Фабер-Шаудер жүйелерінің қысқаша анықтамасын және олардың арасындағы байланысты қарастыра кетейік. (толық мағлұмат бірінші бөлімде келтірілген) .
Әрбір жүйе p
0
=1, а
болатын
{p
n
}
натурал сандар тізбегімен анықталады.
,
деп алсақ, онда әрбір
\
Q
нүкте үшін
(0. 1)
жалғыз жіктеу бар болады, мұндағы
,
,
.
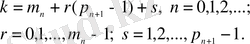
Әрбір бүтін
саны
(0. 2)
жалғыз түрде беріледі.
[0, 1] кесіндісінде
және
функциялар жүйесін келесі түрде анықтайық ([19] және [7] қараңыз) .
мұндағы
n, r, s
(0. 2) теңдіктен.
\Q жиыны
кесіндісінде тығыз орналасқанын қолдана отырып,
функциясын
оң жақ жартылай интервалында үзіліссіздік бойынша жалғастырайық, ал
x=1
нүктесінде
функциясын кесінді ішінде оның шектік мәніне тең деп аламыз.
Ескерту.
функциясының үзіліс нүктесінде оң және сол жақ шектерінің жартылай қосындысына тең болатын
жүйесіне келтірілген анықтама көпшілік мақұлдаған анықтамадан ерекшелінеді (мысалы, [19] қараңыз) .
[0, 1] кесіндісінде
функциясын үзіліссіздік бойынша жалғастырамыз.
Сол себептен,
және
жүйелері толығымен анықталды және
n
=1, 2, … жағдайда сәйкесінше Хаар (алдыңғы ескертуді ескерген жағдайда) және Фабер-Шаудер классикалық жүйелерімен сәйкес келеді. Анықтамалардан тікелей
және
жүйелері арасында байланыс шығады:
,
(0. 3)
жүйесі бойынша
(0. 4)
қатарын қарастырайық. Егер (0. 4) қатар
f(x)
ақырлы функциясына барлық
нүктесінде жинақталса, онда
болғанда
,
(0. 5)
.
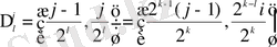
теңдеулер жүйесінен табылады.
Өз кезегінде
, (0. 6)
қатары, мұндағы
(0. 5) формуласы бойынша есептеледі, әрбір
функциясы үшін
f(x)
-ке [0, 1] аралығында бірқалыпты жинақталады. ([7] қараңыз) . (0, 6) қатардың
дербес қосындысын
деп белгілейміз.
және
f(x)
функция [0, 1] аралығында анықталған, ал
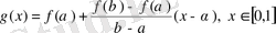
- [0, 1] кесіндісін бөліктеуі болсын. Анықтама бойынша ([32] қараңыз) :
, (0, 7)
мұндағы
арқылы
-ді белгілейік.
Айталық, егер
болса f функция
,
кеңістігінде жатады және егер
болса, онда
болады. Нормасы
болатын
және
кеңістіктері банах кеңістіктері болады.
және
арқылы сәйкесінше
және
жүйелері бойынша
метрикасындағы
n-
ші реттен үлкен емес көпмүшелері бар
функциясының ең жақсы жуықтамдарын белгілейміз.
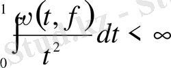
кеңістігі
үзіліссіз функциялар кеңістігімен тепе-тең. 1< p <
болғанда
енгізу орындалады.
функциясының үзіліссіздік модулі
.
теңдігімен анықталады.
Бірінші бөлімде Хаар жүйесі мен жалпыланған Хаар жүйелері және Фабер-Шаудер жүйесі мен жалпыланған Фабер-Шаудер жүйелерінің анықтамалары келтіріледі.
Енді екінші бөлімнің нәтижелеріне тоқтала кетейік.
Осы бөлімде функциялардың жалпыланған Фабер-Шаудер жүйесі бойынша қатарларға жіктелулерінің қасиеттері қарастырылады.
2. 1 параграфта жалпыланған Фабер-Шаудер функциялар жүйесінің базистік қасиеті қарастырылады. Келесі теорема дәлелденеді
Теорема 2. 1
болатын
жүйесі
кеңістігінде базис болып табылады. Сонымен қатар, егер де
,
болса, онда келесі бағалар орындалады.
.
2. 2 параграфта функциялардың жалпыланған Фабер-Шаудер жүйесі бойынша қатарларға жіктелулерінің қасиеттері туралы айтылады.
Мүшелеп дифференциалданған қатардың жинақтылығы
Теорема 2. 3
болсын және
шарт орындалсын. Онда мүшелеп дифференциалданған (0, 6) қатар [0, 1] кесіндісінің барлығында
-ке жинақталады.
,
кеңістігінің функцияларын
және
жүйелері бойынша құралған көпмүшелермен жуықтау
Теорема 2. 4
және
болсын. Онда келесі теңсіздіктер орындалады:
Мұндағы
және
арқылы сәйкесінше
және
жүйелері бойынша
метрикасындағы
n-
ші реттен үлкен емес көпмүшеліктері бар
функциясының ең жақсы жуықтамдарын белгілейміз.
2. 3 параграфта жалпыланған Фабер-Шаудер жүйесі бойынша қатарлар үшін жалғыздық жиыны қарастырылады.
Анықтама 2. 2
Егер (3) қатарының
\Е -де нөлге жинақтылығынан
,
болса, онда
жиыны
U
жиыны немесе
қатары үшін жалғыздық жиыны деп аталады
Теорема 2. 5.
Е
жиыны Ф{p
n
} қатарлар үшін жалғыздық жиыны болуы үшін
\Q болуы қажетті және жеткілікті.
Теорема 2. 6 Егер Ф{p n } жүйесі бойынша қатарлар
,
,
шартын қанағаттандырса, мұндағы
- тұғырлары х қамтитын барлық
функцияларының өспелі тізбек нөмерлері, онда
болатын
жиыны осындай қатарлар үшін жалғыздық жиыны болады.
Теорема 2. 7
,
шарт орындалатын Ф{p
n
} жүйесі бойынша қатарлар үшін саналымды жиын жалғыздық жиын болады.
2. 4 параграфта жалпыланған Фабер-Шаудер жүйесі бойынша кемтікті қатарлар туралы айтылады.
А. А. Саакян
C[0, 1]
кеңістігінен алынған әрбір
f(x)
функция үшін
λ(х)
айнымалыны ауыстыруды
f(λ(х) )
функциясының Фабер-Шаудер бойынша кемтіктік қатар болатындай таңдап алуға болатынын көрсетті [27] (сонымен қатар [23] қараңыз) . Баяндамада
шенелген натурал сандар тізбегінен құрылған
функциялар жүйесінде де осындай қасиеттер орындалатыны көрсетілген.
Теорема
2. 8
f(x)
C[0, 1], f(0) =f(1) =0
және
1<n
0
<n
1
< . . .
- натурал сандар тізбегі болсын. Онда
функциялар жүйесі бойынша
F(x) =f(λ(х) )
суперпозициясын жіктеу
болатындай
r
k
,
,
k=0, 1, . . .
нақты сандар және [0, 1] кесіндісінді үзіліссіз 0<x<y<1 болғанда 0=λ(0) <λ(x) <λ(y) <λ(1) =1 шарты орындалатын
λ(x)
функциясы бар болады.
Үшінші бөлімде Гриди алгоритмін енгізіп, Фабер-Шаудер жүйесінің квазигриди базистілігі қарастырылады.
Банах кеңістіктері үшін Гриди алгоритмдерін нормаланған базиске қатысты Конягин, Темляков [45], ДеВор [41], Войтащик [49], Григорян [21, 42] және басқалар зерттеген ([15, 40] қараңыз) .
Қорытындыда ғылыми болжамды дәлелдейтін зерттеудің нәтижелері мазмұндалады.
Жұмыс тақырыбы бойынша басылымдар:
Аубакиров Т. У., Рахимжанова Ф. К. Приближение функций ограниченной вариации полиномами по обобщенной системе Фабера-Шаудера. // «Шоқан тағылымы-13» Т. 6, Көкшетау, 2008, 156-158 бет;
Аубакиров Т. У., Рахимжанова Ф. К. О рядах по обобщенной системе Фабера-Шаудера. //Материалы межд. научо-практической конференции, т. 4, Караганда 2009, 279-282бет;
Рахимжанова Ф. К., Аубакиров Т. У. О лакунарных рядах по обобщенной системе Фабера Шаудера//Ломоносов-2008, тезисы докладов, І часть, Астана, 44-45бет;
Аубакиров Т. У., Рахимжанова Ф. К. Разложения функций в ряд по обобщенной системе Фабера-Шаудера. // «Шоқан тағылымы-14» Т. 9, Көкшетау, 2009, 178-181 бет.
Диссертация құрылымы және көлемі. Диссертация кіріспеден, 3 бөлімнен, қорытынды мен пайдаланылған әдебиеттер тізімінен тұрады. Теоремалар мен формуларды нөмірлеу екіорынды саннан тұрады, бірінші сан- бөлім нөмірі, екіншісі - теорема мен формулалардың бөлім ішіндегі өз нөмері.
1. Фабер-Шаудер жүйесі мен жалпыланған Фабер-Шаудер жүйелері және Хаар жүйесі мен жалпыланған Хаар жүйелері
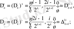
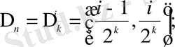
- Хаар жүйесі
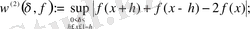
Хаар жүйесін анықтаудан бұрын кейін барлық жерде қолданылатын стандартты екілік интервалдарды белгілеу енгізейік. Екілік интервал деп
, мұндағы
түріндегі интервалдарды айтады.
,
үшін
(1. 1)
Егер
- қандай болса да интервал, онда
және
арқылы сәйкесінше
интервалының оң және сол жақ жартылары белгіленеді (орташа нүктені қоспағанда) . Дербес жағдайда, (
),
(1. 2)
интервалдарын біз k-ші бума интервалдары деп атайтын боламыз,
. Екілік интервалдардың қарапайым қасиеттерін белгілейік:
1)
болғанда
Ø
2) Егер
мен
- екілік интервалдар және
Ø болса, онда не
, не
болады.
1) қасиет айқын, 2) қасиет
,
болғанда
теңдігіне қарағанда не
(егер
), не
Ø (егер
, не
) шығады.
Анықтама 1. 1
Хаар жүйесі -
болатын
,
функциялар жүйесі, ал
,
функциясы былай анықталады:
(1. 3)
мәні үзіліс нүктесінде және [0, 1] кесіндісінің ұштарында
болатындай таңдап алынады, яғни келесі теңдіктер орындалатындай:
(1. 4)
,
функциялар тобын к-ші бума деп атаймыз. Жиі Хаар жүйесінің нөмерлерінің орнына берілген функция қандай бумаға жататынын көрсететін нөмерлеуді қолданған ыңғайлы, дәлірек айтқанда,
,
,
болғанда
(1. 5)
Сонда, Хаар жүйесі
,
, және
функциясының бумаларының бірігуінен тұратыны түсінікті.
Екілік интегралдардың 1) және 2) қасиеттерінен тікелей Хаар жүйесі - ортонормаланған жүйе екені шығады. Оның толықтығын дәлелдеу үшін келесілерін белгілейік:
Тұжырым 1. 1
,
, үшін
функцияларының қабықшасы
-мен сәйкес келеді, яғни
,
, болғанда:
(1. 6)
Шынында да, Хаар функциялары сызықтық тәуелсіз (өйткені Хаар жүйесі - ортонормаланған жүйе), сондықтан (1. 6) теңдік
және
- N - өлшемді сызықтық кеңістіктер фактісінен шығады, сонымен бірге
((1. 4) қараңыз) .
функциялар жиыны
,
кеңістіктерінде барлық жерде тығыз, тұжырым 1-ден
,
кеңістіктерінде Хаар жүйесінің толықтығы шығады.
функциясының Фурье-Хаар қатарының
дербес қосындылары үшін:
өрнегін табамыз, мұндағы
-
функциясының Фурье-Хаар коэффициенттері, сонымен бірге Хаар функциясының анықтамасы бойынша
(1. 7)
,
, болғанда
; (1. 8)
, (1. 8
/
)
,
.
болатынын дәлелдейік.
үшін
,
(1. 9)
деп алып,
функциясын анықтайық (
функциясының мәндері үшін
нүктелерінде (1. 9) теңдігімен және
шартымен бірмәнді анықталатыны айқын) .
болатын
функциялары және
функциясы
барлық интервалда тұрақты болатынын ескерсек,
болғанда
аламыз.
Осыдан
,
.
Бірақ
және (6) -ға сәйкес, , сондықтан
,
,
. (1. 10)
Осыдан (1. 8) және (1. 8 / ) теңдіктер шығады.
,
түрдегі
N
нөмерлі
дербес қосындылары үшін, екілік интервалдардың 1) қасиетін ескеріп, келесі өрнекті аламыз:
(1. 11)
Соңында
болғанда (1. 11) және (1. 8) өрнектерінен:
(1. 11
/
)
теңдігі шығады.
- Жалпыланған Хаар жүйелері
1909 жылы
функциясының ортогональ жүйесін Хаар енгізді [39], ол келесі түрде анықталады:
,
деп аламыз. әрбір
санын
,
,
түрде ұсынып,
аламыз.
Үзіліс нүктелерінде Хаар функциялары оң жақты және сол жақты шектерінің жартылай қосындысына тең болады, яғни
Хаар жүйесі ортогональ қатарлар теориясында маңызды рөл атқарады.
Хаар үзіліссіз функциялар Фурье-Хаар қатары [0, 1] кесіндісінде бірқалыпты жинақталатынын [39],
қосындылы функциялар Фурье-Хаар қатары [0, 1] кесіндісінің барлық жерінде
-ке жинақталады. Тригонометриялық жүйе осындай қасиеттерге ие емес екендігі белгілі [8] .
Фурье-Хаар қатарларының көптеген қасиеттері [3], [18], [22], [23] монографияларында және Б. И. Голубов шолу мақаласында [17] зерттелген. Фурье-Хаар қатарларының қасиеттерін зерттеуге И. Шаудер, П. Л. Ульянов, И. Марцинкевич, Б. И. Голубов, В. А. Скворцов, С. В. Бочкарев және тағы басқа авторлар жұмыстары арналған.
1958 жылы Н. Я. Виленкин [11] алғаш рет құрамында Хаар жүйесі бар ортогональ жүйелер кластарын қарастырды. Жалпыланған Хаар жүйелері анықтамаларын келтірейік ([22] қараңыз) .
,
болатын кез келген
бүтін сандар тізбегі берілген.
тізбегінің көмегімен келесі түрде бүтін сандар тізбегін анықтайық
;
,
(1. 12)
[0, 1] кесіндісінде
жалпыланған Хаар жүйесін анықтайық. [0, 1] кесіндісінде
деп аламыз. Әрбір
бүтін саны
(1. 13)
;
;
түрде жалғыз беріледі.
-
,
,
түрдегі нүктелер жиыны болсын, яғни
рационал нүктелер. Сонда
әрбір санының
, мұндағы
-бүтін,
(1. 14)
түрде жалғыз жіктеуі болады.
(1. 14) теңдікте берілген
және (1. 13) теңдікте берілген
үшін
Әрі қарай
жиыны [0, 1] кесіндісінде барлық жерде тығыз болатынын пайдаланып,
функциясын үзіліссіздік бойынша
интервалында жалғастырамыз. Осыдан кейін үзіліс нүктелерінде
функциясын оның оң жақты және сол жақты шектік мәндерінің жартылай қосындысына тең деп, ал [0, 1] кесіндінің ұштарында - кесіндінің ішінен шектік мәндерге тең деп аламыз.
Сол себептен,
класының
жүйесі анықталды.
класы
барлық жүйелерінің жиынтығы.
тізбегін
жүйесін жасаушы деп, ал
жүйесін жалпыланған Хаар жүйесі деп атаймыз.
Егер барлық
, (
) болса, онда
жүйесі Хаар жүйесімен сәйкес келеді ([35] ) .
Н. Я. Виленкин ([11], 476 бет)
класының
жүйесі толық және ортонормаланған болатынын көрсетті.
функциясы
функциясынан кейін шығады деп есептейміз, мұндағы
,
, келесі жағдайларда: 1)
не 2)
,
, не 3)
,
, ал
.
жүйесінің анықтамасынан
,
интервалдарында
,
, болғанда
функциясы
,
-ге тең мән қабылдайтыны шығады, яғни
функциялар жүйесі комплекс мәнді сатылы функциялар болып табылады.
Жалпыланған Хаар жүйелері бойынша Фурье қатарларының әр түрлі қасиеттерін Б. И. Голубов пен А. И. Рубенштейн [19], (
жасаушы тізбегінің шенелген болу шарты орындалғанда, яғни
,
), Б. И. Голубов [17] (кез келген
жасаушы тізбектермен), Е. А. Власова [16], Е. С. Смаилов пен С. Тазабеков [29-31], Н. А. Бокаев [9], Г. А. Акишев [1, 2] және басқалар зерттеген.
- Фабер-Шаудер жүйесі
Анықтама 1. 2
функциялар жүйесі Фабер-Шаудер жүйесі деп аталады. Ондағы
және
болғанда
(1. 15)
Фабер-Шаудер жүйесін Хаар функциясын интегралдау арқылы да анықтауға болады. Нақтырақ айтқанда
(1. 16)
теңдіктер орындалады.
Қатарды Фабер-Шаудер жүйесі бойынша қарастырайық:
(1. 17)
және ол [0, 1] кесіндісінің әрбір нүктесінде
шектік функциясына жинақталады деп алайық. Онда
коэффициенттері бір мәнді
функциясымен анықталатынын дәлелдейік, атап айтқанда егер
болғанда
(1. 18)
болады.
теңдіктерін пайдалана отырып ((1. 15) қараңыз), біз
екенін табамыз. Егер де
болса, онда (1. 15) сәйкес
(1. 19)
мұндағы
- (1. 17) қатардың дербес қосындысы:
Егер
болғанда (1. 15) -ші жүйеден
функциялары
нүктелерінде нөлге тең болатынын көреміз. Сондықтан
,
әрбір кесіндісінде сызықты болатынын ескерсек, онда (1. 19) қатынастан
шығады.
Дәлелденген (1. 18) формуласынан, дербес жағдайда
болғанда [0, 1] аралығының барлық жерінде
,
, мұндағы
болғанда ғана орындалады, яғни
функциялары сызықтық тәуелсіз.
функция анықтамасынан ((1. 15) қараңыз) және оның сызықтық тәуелсіздігінен келесі тұжырым шығады:
(А)
болғанда
түрдегі Фабер-Шаудер жүйесі бойынша
көпмүшелер кеңістігі
өлшемді болады және төмендегідей анықталатын
кеңістігімен сәйкес келеді:
(1. 20)
Сонымен қатар Фабер-Шаудер жүйесінің мынадай қасиетін берейік.
(В) Кез келген
функция және
үшін коэффициенттері (1. 18) теңдігімен анықталатын,
жиынында:
(1. 21)
-ке сәйкес келетін қосынды
болады.
функция
болғанда
болсын. Сонда (А) бойынша
-
жүйесі бойынша көпмүше:
және жоғарыда көрсетілгендей
,
болады.
Бірақ
болғанда
, сондықтан ((1. 18) қараңыз)
,
яғни
болғанда
және
.
(А) және (В) тұжырымдарынан кез келген
үзіліссіз функция үшін тікелей
қатардың бірқалыпты жинақтылығы шығады.
-ке жинақталатын қатардың жалғыздығы алдында тексерілген ((1. 17), (1. 18) қараңыз) . Осылайша келесі теореманы аламыз.
Теорема 1. 1
Фабер-Шаудер жүйесі -
кеңістігіндегі базис. Сонымен
жіктеу коэффициенттері (4) формуласымен анықталады, ал осы жіктеудің
дербес қосындылары
кеңістігінде жатады және
болғанда
(1. 22)
қатынасты қанағаттандырады.
Ескерту.
Әрбір
кеңістігіндегі ортонормаланған базис
- кеңістігінде де базис болады. Фабер-Шаудер жүйесінің мысалы көрсеткендей ортогональдық емес базистер үшін жағдай өзгеше болуы мүмкін. Фабер-Шаудер жүйесі
болғанда
кеңістігінде тіпті ең кіші (минималды) емес. Шынында да, әрбір
үшін
болғанда
және
болғанда
болатын
көпмүшені оңай құруға болады, демек
болады.
Салдар 1. 1
болсын. Келесі бағалар орын алады
а)
мұндағы
ә)
.
Дәлелдеу.
а) баға (1. 18) формуласынан тікелей шығады. Осыдан кейін
жиынының нүктелері [0, 1] кесіндісін интервал ұзындығы < 2/N-ге бөледі. Сондықтан ә) баға егер біз
интервалының әрқайсысы үшін
,
мұндағы
екенін тексерсек дәлелденеді.
болсын.
екенін ескеріп,
болатын
нүктесін табамыз.
Жалпылықты шектемей,
деп есептейміз. Сонда
, және
.
Бірақ
функция сызықты, сондықтан
, және
екенін ескерсек,
аламыз.
Салдар 1. 1 дәлелденді.
Салдар 1. 1 а) теңсіздігінен
болғанда
болатын әрбір
функция үшін оның қатары Фабер-Шаудер жүйесі бойынша
норма кеңістігі үшін абсолютті жинақталады. Сонымен бірге әрбір
үзіліссіз функция үшін
қатары бірқалыпты жинақталады. Соңғысы келесі жалпы нәтижеден шығады.
Теорема 1. 2
кеңістігінде шартсыз базис болмайды.
Дәлелдеу.
кеңістігінде базис болсын және
- оның түйіндес жүйесі (
-ге түйіндес кеңістік
шектелген варияциялар функциялары кеңістігі болады, сондықтан
,
сонымен қатар салдар1. 1 қараңыз) .
нүктені осы нүктеде
,
барлық функциялары үзіліссіз болатындай белгілейміз.
-
болатын натурал сан болсын.
үшін
(1. 23)
қоямыз.
(1. 24)
- Іс жүргізу
- Автоматтандыру, Техника
- Алғашқы әскери дайындық
- Астрономия
- Ауыл шаруашылығы
- Банк ісі
- Бизнесті бағалау
- Биология
- Бухгалтерлік іс
- Валеология
- Ветеринария
- География
- Геология, Геофизика, Геодезия
- Дін
- Ет, сүт, шарап өнімдері
- Жалпы тарих
- Жер кадастрі, Жылжымайтын мүлік
- Журналистика
- Информатика
- Кеден ісі
- Маркетинг
- Математика, Геометрия
- Медицина
- Мемлекеттік басқару
- Менеджмент
- Мұнай, Газ
- Мұрағат ісі
- Мәдениеттану
- ОБЖ (Основы безопасности жизнедеятельности)
- Педагогика
- Полиграфия
- Психология
- Салық
- Саясаттану
- Сақтандыру
- Сертификаттау, стандарттау
- Социология, Демография
- Спорт
- Статистика
- Тілтану, Филология
- Тарихи тұлғалар
- Тау-кен ісі
- Транспорт
- Туризм
- Физика
- Философия
- Халықаралық қатынастар
- Химия
- Экология, Қоршаған ортаны қорғау
- Экономика
- Экономикалық география
- Электротехника
- Қазақстан тарихы
- Қаржы
- Құрылыс
- Құқық, Криминалистика
- Әдебиет
- Өнер, музыка
- Өнеркәсіп, Өндіріс
Қазақ тілінде жазылған рефераттар, курстық жұмыстар, дипломдық жұмыстар бойынша біздің қор #1 болып табылады.

Ақпарат
Қосымша
Email: info@stud.kz