Релятивистік Доплер эффекті


Жоспар:
І. Кіріспе.
ІІ. Негізгі бөлім.
1. Доплер эффектісі
2. Релятивистік Доплер эффекті
3. Доплер эффектін қалай күзетуге болады?
4. Медициналық-биологиялық зерттеулерде қолдану
ІІІ. Қорытынды.
IV. Пайдаланылған әдебиеттер.
Кіріспе.
Доплер эффектісі қазіргі күнде ғылымда, техникада, күнделікті күнде кеңінен қолданылады. Мысалы: Бүкiл әлемде ол жылдамдық артық жол қозғалыстарының ережелерiнiң бұзушыларын ұстап штраф төлетуге мүмкiндiк беретiн полицей радарларында қолданылады. Тапанша - радар сiздiң машинаңыздың металлдық шанағынан шағылысатын радио толқынды сигнал сәуле таратады. Сигнал радарға керi шамасы машинаның жылдамдығынан тәуелдi болатын жиiлiктiң доплер жылжуымен келеді. Құрал сiздiң машинаңыздың жылдамдығын шығу және кiретiн сигналдың жиiлiгi салыстыра автоматты есептейдi және ол пердеде шығарады. Бұл құбылысты алғаш рет 1842 жылы Кристиан Допплер анықтаған және пәнге кірітген. Яғни, Допплер эффектісі толқын жиілігі мен ұзындығының өзгеруіне негізделген.
Доплер эффектісі.
Доплер эффекті - толқын көзінің қозғалуы немесе қабылдағыштың қозғалуымен байланысты қабылдағыш тіркеген толқынның жилігі мен ұзындығының өзгеруі.
Толқын көзі сол жаққа қарай қозғалса, онда сол жақта толқын жиілігі өседі, ал оң жакта төмендейді.
Басқа сөзбен айтқанда, егер толқын көзі озі шығарған толқынды қуып жетсе - онда толқын ұзындығы азаяды, егер алыстаса - толқын ұзындығы өседі.
Доплер эффектісін қасымыздан сиренасы қосулы көлік өтіп бара жатқанда тәжрибеде күзету оңай. Сирена белгілі тонда өзгеріссіз үн таратып жатыр деп есептейік. Көлік күзетушіге қарасты қозғалмай тұрғанда ол дәл сирена таратып жатқан тондағы дыбысты естиді. Бірақ көлік күзетушіге қарап қозғала бастаса, онда дыбыс толқынының жиілігі өседі(ұзындығы азаяды), және естіп тұрған адам сирена таратып жатқан дыбыстан жоғары дыбысты естиді. Көлік күзетушінің қасынан өтіп бара жатқанда ол сиренаның оз тонындағы дыбысын естиді. Ал көлік алыстаған кезде естіп тұрған адам аз жиілігі(асқан ұзындығы) нәтижесінде төменрек дыбыс тонын естиді.
Қандайда бір ортада таралып жатқан толқын үшін(мысалы дыбыс) толқын көзінің қозғалуын да, бұл ортаға қарасты толқын қабылдағышқа да көңіл аудару қажет. Таралуы үшін ешқандай орта керек болмайтын электромагниттік толқындар үшін(мысалы жарық) вакуумда тек толқын көзі мен қабылдағыштың бір біріне тиісті қозғалысы мәнді.
Эффектті бірінші рет Кристиан Доплер 1842 жылы сипаттады.
Математик сипаты
Егер толқындардың көзi ортаға тиісті жылжыса, онда(толқын ұзындығы) толқындардың тарамдар арасындағы қашықтығы жылдамдық және қозғалыс бағытынан тәуелдi болады. Егер толқын көзі қабылдағышқа қарай қозғалса, яғни өзі таратқан толқынды қуып жетсе, толқын ұзындығы азаяды, егер алыстаса - толқын ұзындығы өседі:
,
- - толқын көзі таратып жатқан толқын жиілігі,
С - ортада толқынның таралу жылдамдығы,
- - ортада толқын көзінің жылдамдығы(егер толқын көзі қабыдағышқа жақындаса - оң, алыстаса - теріс) .
Қозғалмас қабылдағышпен тіркелген жиілік:
(1)
Соған ұқсас, егер қабылдағыш толқындарға қарап қозғалса, ол толқын тарамдарын жиі тіркейді. Қозғалмайтын таратқыш және қозғалып жатқан қабылдағыш үшін:
(2)
- - ортаға қарасты қабылдағыш жылдамдығы(егер толқын көзіне қарай қозғалса оң сан)
(2) формуладағы
орнына (1) формуладағы
жиілік мәнін қойып екі жағдай үшін де ортақ формуланы аламыз:
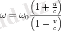
Релятивистік Доплер эффекті
Электромагниттік толқындардың вакуумда таралған жағдайда жиілік формуласын арнаулы салыстырма болжал теория(теория относительности) сынан аламыз.
С - жарық жылдамдығы
- - қабылдағышқа қарасты таратушы жылдамдығы
- - толқын көзіне бағыт және қабылдағыш санақ тізіміндегі жылдамдық векторы арасындағы бұрыш. Егер таратқыш күзетушіден радиальды алыстап жатса, онда, егер жақындаса.
Доплер эффектін қалай күзетуге болады?
Құбылыс кез келген толқындар және бөлшектердiң ағындары үшiн тән болғандықтан, оны дыбыс үшін бақылай өте оңай. Дыбыс тербелiстерiнiң жиiлiгi сыбысқа дыбыс ырғағы сияқты қабылданады. Жылдам қозғалатын автокөлiк немесе пойыз бiздiң қасымыздан мысалы сирена немесе жай дыбыстық сигнал сыңқылдап өтіп бара жатқан уақытты тосу қажет. Біз көлік бізге қарап жақындап бара жатқанда дыбыс жоғары болағанын естиміз, көлік қасымызға келгенде дыбыс кенеттен төмендейді. Кейін көлік алыстағанда дыбыс төмендеп барады.
Орналасқан орнын өзгертпейтін микрофон солға қарай жылжып бара жатқан екі көліктің сирена дыбысын жазып отыр. Төменде екі дыбыстың да жиілігін көру мүмкін.
Қолданылуы
Доплерлік радар - нысанадан шағылысқан сигнал жиілігінің өзгеруін өлшейтін радар. Жиіліктің өзгеруі бойынша нысана жылдамдығының радиальдік құрамдас бөлігі есептеледі(Нысана және радар арқылы өтетін түзуге тусірілген жылдамдық проекциясы) . Доплерлік радарлар әр түрлі салада қолданылуы мүмкін:
- Ұшатын аппараттар жылдамдығын анықтауда;
- Кемелер жылдамдығын анықтауда;
- Көліктер жылдамдығын анықтауда;
- Гидрометеорлар(яғни бұлттар) жылдамдығын анықтауда;
- Теңіз және өзендер ағымының жылдамдығын анықтауда;
- Тағыда басқа нысаналар;
- АстрономияСпектр сызықтарының орын ауысуы бойынша жұлдыздар, галактикалар, т. б. сәулелік жылдамдығын өлшеуде. Жарық тербелістерінің толқын ұзындығының өзгеруі - егер оның сәулелік жылдамдығы күзетушіден бағытталған болса(қызыл көшу), спектр көзіндегі барлық спектральдік сызықтардың ұзын толқындар жағына көшуіне алып келеді; егер сәулелік жылдамдық бағыты күзетушіге қараған болса(күлгін көшу), қысқа толқындар жаққа көшуіне алып келеді. Егер толқын көзінің жылдамдығы жарық жылдамдығы мен салыстырғанда аз болса, онда сәулелік жылдамдық жарық жылдамдығын кез келген спектральдік сызық толқынының ұзындығының өзгеруіне көбейтіп дәл сол толқынның қозғалмас толқын көзіндегі ұзындығына бөлгендегі мәнге тең. Спектр сызығының енінің өсуіне қарап жұлдыздадың температурасы анықталады.
- Инвазивтік емес ағым жылдамдығын анықтауда қолданылады. Доплер эффекті көмегімен сұйықтық және газдар ағымының жылдамдығы анықталады. Бұл әдістің тиімділігі ағым ішіне еш қандай өлшегіш заттар қоюдың керек болмауында;
- Күзет дабылдары;
- Қозғалатын нысаналарды анықтауда;
- Координатаны анытауда. Коспас - Сарсат спутник жүйесінде жердегі апаттық хабарлағыштың координатасын спутник Доплер эффектін қолдап анықтайды.
Доплер эффекті көмегімен жердің күн айналасында айналуын дәлелдеу
Медициналық-биологиялық зерттеулерде қолдану.
Бұл эффект акушерлік жұмыста кең қолданылады, өйткені жатырдан келе жатқан дыбыстарды тіркеу өте оңай. Плацентаның орналасуы, одан ағып жатқан қан ағымының дыбысынан анықталады, ал тұқым құралғаннан 9-10 аптадан кейін тұқымның жүрек соғуын есту мүмкін. Ультрадыбыс қондырғыларының көмегімен тұқым санын, немесе тұқымның өлгені анықталады.
- Сол тәсілмен әр қандай тамырдағы қан ағуын зерттеуге болады. Бұл жүрек қан тамыр жүйесінің патологиясын анықтауға және емдеуді басқаруға өте маңызды.
- Медицинада қолданылатын ультрадыбысты екіге бөлу қажет: төмен қарқынды және жоғары қарқынды. Төмен қарқынды ультрадыбыс(0, 125 - 3, 0 Вт/см2) - көбінесе физиотерапияда қолданады, жоғары қарқынды(> 5 Вт/см2) - ультрадыбыстық хирургияда. Фокусталған ультрадыбысты хирургия
Физиотерапияда
- Ұлпа регенерациясын тездетуде
- Трофикалық ойылымдарды(язва) емдеуде
- Iсiктердiң тарауын тездетуде
Физикалық табиғаты бойынша механикалық құбылыстарға жататын дыбыс пен ультрадыбысты, Доплер құбылысын және импульстің сақталу заңын медициналық құралдарда 2 бағытта қолданады: оның бірі - диагностика болса, екінші бағыты - терапия.
- а) Адамның кей ішкі мүшелері (жүрек, тыныс алу кезіндегі өкпе, асқазан, ішек, атырдағы ұрық жүрегінің соғысын, т. б. ) жұмыс істеу барысында тербеліп, дыбыс толқындарын шығарады. Осы құбылысты диагностикада, адам мүшелерінің физиологиялық күйілерін анықтауда қолданады және оны аускультатция деп атайды.
- б) 1894 жылы В. Эйнтховен, адам ішкі мүшелерінің шығаратын дыбыстарын жазуды жүзеге асыру арқылы фонография әдісінің негізін қалады. Қазіргі кезеңде жүректің жұмысы кезінде шығатын дыбыстарды жазу арқылы оның физиологиялық күйін анықтау әдісі - фонокардиография (ФКГ) осы әдіс негізінде пайда болды. ФКГ арқылы жүректің клапандарын жұмысын бағалауда, қарыншаларының жиырлуын сипаттауда және соларға сәйкес патологиялық өзгерістерді анықтауда қолданылатын негізгі әдіс болып саналады.
- в) Анатомиялық денелерге механикалық жолмен тоқылдату арқылы әсер ету нәтижесінеде оның тербеліп дыбыс шығаруына негізделген диагностикалық әдісті перкуссия деп атайды. Бұл әдісті Ауэнбруггер 1761 жылы ұсынған болатын, бірақ бұл әдіс ешқандай медициналық құралсыз орындалатындықтан оны қарастырмаймыз.
- г) Медицинада адамның есту аппараты құлақтың физиологиялық күйін 20-2 Гц аралығындағы дыбысты сезу және есту дәрежесі арқылы зерттеуді аудиометрия деп атайды.
- е) Ультрадыбысты (УД) диагностикалық мақсатта медицинада қолдану оның денелермен әсерлесу нәтижесінде: денелерде жұтылуы, шағылуы, жылдамдығының өзгеруі, шақылысқан толқын жиілігіінң өзгеруі, энергиясының кемуі және т. б. физикалық, химиялық құбылыстарға негізделген.
- Орталардың ультрадыбыстық кедергілерінің айырмасы көп болған сайын шекарадан шағылысатын УД шамасы да артады. УД диагностикада қолданудың бір сыры осында жатыр, яғни «ұлпа-сүйек», «бауырдың тығыздығы әр түрлі қабаттары», «ішкі мүше - оны қоршаған орта» және т. б. шекаралардан УД шағылысады, оларды өңдеу арқылы шекаралық аймақтың немесе мүшенің шарты түрдегі көрнісін монитор бетінде кескіндейді.
- Іс жүргізу
- Автоматтандыру, Техника
- Алғашқы әскери дайындық
- Астрономия
- Ауыл шаруашылығы
- Банк ісі
- Бизнесті бағалау
- Биология
- Бухгалтерлік іс
- Валеология
- Ветеринария
- География
- Геология, Геофизика, Геодезия
- Дін
- Ет, сүт, шарап өнімдері
- Жалпы тарих
- Жер кадастрі, Жылжымайтын мүлік
- Журналистика
- Информатика
- Кеден ісі
- Маркетинг
- Математика, Геометрия
- Медицина
- Мемлекеттік басқару
- Менеджмент
- Мұнай, Газ
- Мұрағат ісі
- Мәдениеттану
- ОБЖ (Основы безопасности жизнедеятельности)
- Педагогика
- Полиграфия
- Психология
- Салық
- Саясаттану
- Сақтандыру
- Сертификаттау, стандарттау
- Социология, Демография
- Спорт
- Статистика
- Тілтану, Филология
- Тарихи тұлғалар
- Тау-кен ісі
- Транспорт
- Туризм
- Физика
- Философия
- Халықаралық қатынастар
- Химия
- Экология, Қоршаған ортаны қорғау
- Экономика
- Экономикалық география
- Электротехника
- Қазақстан тарихы
- Қаржы
- Құрылыс
- Құқық, Криминалистика
- Әдебиет
- Өнер, музыка
- Өнеркәсіп, Өндіріс
Қазақ тілінде жазылған рефераттар, курстық жұмыстар, дипломдық жұмыстар бойынша біздің қор #1 болып табылады.

Ақпарат
Қосымша
Email: info@stud.kz