Зарядталған ауыр бөлшектердің заттарда жұтылуы


Қазақстан Республикасы Білім және ғылым министрлігі
Семей қаласының Шәкәрім атындағы мемлекеттік университеті
СӨЖ
Орындаған: Мурзекенова М
Тексерген: Рахимжанов Б. А.
Тобы: ВС-603
Семей 2016 жыл
Жоспар:
Кіріспе
Негізгі бөлім
- Иондаушы бөлшектердің түрлері
- Зарядталған ауыр бөлшектердің заттарда жұтылуы.
- β - бөлшектердің заттармен өзара әсерлесуі.
- γ - сәулеленудің заттардан өтуі.
Қорытынды
Пайдаланған әдебиеттер
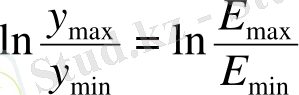
Иондаушы бөлшектердің заттармен өзара әсерлесуі.
Иондаушы сәулелер деп электрон, протон, нейтрон, α - бөлшек, мезон, фотон және т. б. қарапайым бөлшектер ағынын айтамыз. Бөлшекетердің заттың атомындағы электрон немесе ядромен өзара әсерлесуі кулондық, электромагниттік, ядролық күштер арқылы жүзеге асады.
Бұл әсерлесулер нәтижесінде болатын серпімді және серпімсіз соқтығысулар нәтижесінде өте көп процестер туындайды. Сол көп процстердің ішінен энергия шығыны үлкен болатын процестерді ғана қарастырамыз. Осы тұрғыда иондаушы бөлшектердің заттармен өзара әсерлесуін төрт топқа - зарядталған ауыр бөлшектерден зарядталған жеңіл бөлшектермен, фотондармен және нейтрондармен - деп бөлуге болады.
Иондаушы бөлшектердің заттарда бірлік ұзындыққа жүргенде шығындалған энергиясы тежелу қабілеті деп аталады. Егер бөлшектің затта жүру жолының ұзындығын г/см 2 - бірлікте өлшейтін болсақ тежелу қабілеті заттың агрегаттық күйіне тәуелді болмайды. Заттарда жұтылған энергия сол ортада әртүрлі физикалық құбылыстар тудырады. Сол туындаған құбылыстарды иондаушы бөлшектерді тіркеу үшін пайдалануға болады. Жұтылған энергияның ортада миграциясы және оның нәтижесінде туындайтын әртүрлі құбылыстардың болуы заттың агрегаттық күйіне тәуелді болады. Мысалы, газдарға зарядталған бөлшектер енгенде еркін электрон және иондар туындайды. Соның нәтижесінде газдың электрлік кедергісі өзгереді. Кейбір кристалдарға иондаушы бөлшектер түскен кезде жарық фотондарын шығарады. Иондаушы бөлшектердің заттармен өзара әсерлесуі нәтижесінде туындайтын осындай әртүрлі процестерді бақылау арқылы оларды тіркеуге болады.
Зарядталған ауыр бөлшектердің заттарда жұтылуы.
Зарядтары аз болған (Z = 1, 2) ауыр бөлшектер заттармен өзара әсерлескенде олардың энергия шығыны, негізінен, заттың атомдарымен серпімсіз кулондық соқтығысуы нәтижесінде туындайды. Серпімсіз соқтығысу нәтижесінде заттың атомы иондалады немесе қозған күйге өтеді. Бұл процесс үздіксіз болатындықтан зарядталған бөлшектің энергиясы да үздіксіз кемиді.
Зарядталған бөлшектердің атом ядросымен серпімді соқтығысуы нәтижесіндегі энергия шығыны иондауға кеткен энергиямен салыстырғанда өте аз болады. Егер иондаушы бөлшек энергиясы ядроның потенциялдық тосқауылынан үлкен болса бөлшектің энергия шығыны да үлкен болады. Мысалы, протон графитпен өзара әсерлескенде оның энергиясы 30 МэВ - тен, ал α - бөлшек үшін 100 МэВ - тен жоғары болғанда атом ядросымен соқтығысу кезіндегі энергия шығыны ескеретіндей шамаға ие болады.
Сонымен, энергиясы 50 МэВ - тен төмен болған зарядталған ауыр бөлшектердің заттармен өзара әсерлесуі кезіндегі энергия шығынын, негізінен иондау процесімен байланысты деп қарастыруға болады.
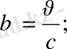
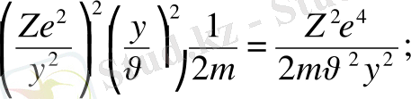
Н. Бор зарядталған бөлшектердің атом электрондарымен соқтығысуын классикалық тұрғыдан қарастырып, меншікті энергия шығынын есептеп шықты. х өсінің бағытымен қозғалыстағы зарядталған бөлшек тыныштық күйдегі электроннан у қашықтықтан өтсін. Өзара әсерлесу нәтижесінде электронның алған импульсі олардың арасындағы кулондық күш (Ze² / y²) - пен өзара әсерлесу уақыты (~у / υ) - ың көбейтіндісіне тең болады. Олай болса соқтығысу нәтижесінде электронның алған энергиясы:
Егер ортадағы электронның тығыздығы NZ болса, зарядталған бөлшектің, заттың қалыңдығы уdу қабатындағы электрондармен өзара әсерлесуі нәтижесінде, бірлік жол ұзындығындағы энергия шығыны:
- ке тең болады.
Олай болса зарядталған бөлшектің барлық электрондармен әсерлесуі нәтижесінде бірлік жол ұзындығындағы толық энергия шығыны:
-
Мұндағы нысана параметрі y-тің шекті мәндерін төмендегідей тұжырым арқылы анықтауға болады. Бөлшек энергиясының шығыны у-ке кері пропорцонал болғандықтан:
Энергияның сақталу заңына сәйкес:
β - бөлшектердің заттармен өзара әсерлесуі.
Төмен энергиялы электрондар (2 - МэВ) заттардан өткен кезде, ауыр зарядталған бөлшектер секілді, зат атомдарының электрондарын ионизациялайды немесе қозған күйге келтіреді. Бірақ ауыр зарядталған бөлшектерден ерекшелігі электрондар бір рет атомен соқтығысуы нәтижесінде энергиясының көп мөлшерін жоғалтып, үлкен бұрышқа ауытқиды. Сондықтан электрондардың заттардағы жүру жолының ұзындығы мен оның бағыты әртүрлі болады. Егер электрон энергиясы үлен болатын болса, оның атом ядросының өрісінде тежелуі нәтижесінде қосымша радиациялық сәулеленуі үшін энергия шығыны туындайды. Сонымен электрондардың заттармен әсерлесуі кезінде оның энергиясының шығыны ионизациялауға және радиациялық сәулеленуге жұмсалады.
а) Энергияның ионизациялық шығыны.
Электрондардың бірлік ұзындық жол жүргендегі энергия шығыны Бете анықтаған өрнек бойынша есептеледі:
Мұндағы Е - электронның кинетикалық энергиясы:
Баяу электрондар үшін:
Ауадағы электрондар үшін dЕ / dх - тың орташа мәндері 1 - суретте келтірілген. Ауыр зарядталған бөлшектермен салыстырғанда электрондар үшін
энергия шығынының флуктуациясы үлкен болады.
2 - сурет.
2 - суретте әртүрлі қалыңдықтағы графиттен өткен электрондардың энергия бойынша таралуы келтірілген.
б) Энергияның радиациялық шығыны.
Зарядталған бөлшектер үдемелі қозғалыс кезінде электромагниттік сәуле шығарады. Сондықтан электрон заттың атомдындағы өріс әсерінен тежелгенде радиациялық энергия шығыны туындайды. Оны тежелу сәулеленуі деп атайды. Тежелу сәулеленуінің квантының спектрі тұтас болып оның жоғарғы шекарасы электрон энергиасымен шектеледі.
Егер энергиясы Е - ге тең болған электрондық тежелу кезінде шығарған сәулесінің жиілігі ν - ге тең болған жағдайда, электронның заттың атомымен әсерлесу қимасы σ (Е, ν) см²*сек / атом болса, оның меншікті радиациялық шығыны:
Мұндағы N - ортаның бірлік көлеиіндегі атомдар саны; ν мах = Е / h;
Тежелу сәулеленуі кезінде фотонның туындау ықтималдығы оның жиілілігіне кері пропорционал болғандықтан радиациялық шығын энергиясы электрон энергиасына пропорционал болады.
Радиациялық шығынды эффектифті қима σ
рад
арқылы сипаттау ыңғайлы. Эффектифті қима σрад энергияға тәуелді емес. Радиациялық шығынның орташа мәні:
Мұндағы σ
рад
=
;
Радиациялық шығынның орташа қимасы. Егер Е >> 137 m c ² / Z 1/3 болса эффективті қима энергияға тәуелді болмастатан оның шамасы шамамен:
Электрон энергиясы кіші болған жағдайда σ рад энергияға тәуелді болады:
Сонымен электронның затпен әсерлесуі нәтижесінде оның энергия шығыны ионизацияға және радиациялық сәулеленуге жұмсалады екен. Олардың арақатынасы электрон энергиясына сәйкес әртүрлі болады: ионизациялық шығын Z - ке және энергияның логарифмне, ал радиацялық
шығын Z² - қа және энергияға сызықты тәуелді. Сондықтан үлкен энергиялы электрондар үшін радиациялық шығын ионизациалық шығыннан үлкен болады. Радиациялық шығын мен ионизациялық шығын тең болатын кездегі электрон энергиясын кризистік энергия деп алайық. Егер электрон энергиясы кризистік энергиядан кем болса ионизациялық шығын радиациялық шығыннан жоғары, ал кризистік энергиядан жоғары болса керісінше болады. Бете мен Гайтлер осы шығындардың қатынасының жуық шамасын төмендегіше анықтады:
Бұл өрнектен кризистік энергия Е кр = 800 / Z, МэВ. Мысалы ауыр элемент қорғасында радиациялық шығын электрон энергиясы 10 МэВ - тен жоғары болған кезде ионизациялық шығыннан басым болады.
γ - сәулеленудің заттардан өтуі.
Сәулелер заттан өтуі кезінде γ - кванттардың энергиясы, бөлшектердегі сияқты үздіксіз кеміп отырмастан, бір соқтығысу кезінде толығымен (жұтылу процесі) немесе оның көп бөлігі (шашырау процесі) шығындалады.
Шашырау процесінде γ - квант энергиясы өзгерумен қатар оның бағыты да өзгереді.
Осы процестердің нәтижесінде γ - кванттардың параллель ағыны қалыңдығы h болған заттан өткенде экспонента бойынша кемиді:
Мұндағы n 0 - затқа түскен γ - кванттар саны, n - қалыңдығы h - болған заттан бастапқы бағытта өткен γ - кванттар саны, μ - заттың жұтылу коэфиценті.
γ - сәулесінің заттан өткендегі ағынының кемуі экспонента бойынша болғандықтан γ - кванттардың қалыңдығы өте үлкен заттардан өту ықтималдылығы нөлден өзгеше болады. Сондықтан жеке γ - кванттардың жүру жолы олардың орташа мәнінен әлдеқайда өзгеше болуы мүмкін. Заттың жұтылу коэфицентінің физикалық мағынасы: γ - квант ағыны 1 / μ жол жүргенде оның интенсивтілігіне е есе кемиді. Сонымен 1/μ шама γ - кванттың заттағы орташа еркін жүру жолын сипаттайды. Егер γ - кванттың ортаның бір атомы мен әсерлесуінің толық қимасын σ деп белгілесек: μ = σ N
болады. Мұндағы N заттың 1 см 2 көлеміндегі атомдар саны.
γ - кванттың заттан өтуі кезінде негізінен үш процес - фотоэффект, жұптардың туындауы және Комптон эффект нәтижесінде энергия шығыны туындайды.
Сонымен γ - кванттың орта атомымен өзара әсерлесуінің толық қимасы σ фотоэффекттің қимасы σ ж және комптон эфекттің қимасы σ к - лардың қосындысына тең болады: σ = σ ф + σ ж + σ к
Егер γ - квант энергиясы ондаған Мэв - тен үлкен болса ядролық фотоэффект құбылысы (γ - кванттың ядромен соқтығысып жұтылуы - фотоядролық реакция) бақылануы мүмкін. Бұл жағдайда ядролық фотоэффект қимасын да ескеру қажет. Төмен энергияларда оны ескермеседе болады.
Фотоэффект құбылысында квант энергиясы электронның байланыс энергиясы I мен оның кинетикалық энергиясы Е е - ге тең болады. Демек электронның энергиясы:
Демек бұл өрнектен фотоэффект құбылысы hυ > I болған жағдайда ғана орындалады. Сондықтан фотоэффекттің қимасы, K, L, M… т. с. с. қабықтағы электрондардың иондау энергияларына сәйкес келетін мәндері үздікті болды.
Энергиясы hυ ~ mc 2 жуық, бірақ К - жолақтың жұтылу шекарасына жуық болмаған, фотондар үшін К - қабықта үшін фотоэффекттің қимасы:
Мұндағы Z - атом ядросының заряды, (σ ф ) к - фотоэффекттің қимасы (см 2 / атом) .
Фотоэффекттің толық қимасы:
Фотон энергиясы hυ >> mc 2 болса фотоэффекттің қимасы γ - квант энергиясына кері пропорционал болады. Сол себептен ауыр элементтер үшін, мысалы қорғасын үшін, фотоэффекттің қимасы, фотон энергиясы 5 Мэв - ке тең болған кезде, өте жоғары мәнге ие болады. (11) өрнек жұтылу жолағының шекарасына жуық болған жағдайда дұсыс нәтиже бермейді. Бірақ бұл өрнек
фотоэффект қимасының фотон энергиясына тәуелділігінің жалпы көрінісін дұрыс түсіндіреді. Қорғасын және алюминий үшін фотоэффект қимасының фотон 3 - суретте келтірілген.
3 - сурет. Қорғасын және алюминиден өткен γ - кванттардың жұтылу коэффеценттері μ ф , μ к және μ ж - тың энергияға тәуелділігі. [2]
Егер γ - квант энергиясы атомдағы электронның байланыс энергиясынан көп үлкен болатын болса, олардың соқтығысуын серпімді соқтығысу ретінде қарастыруға болады. Бұл құбылыс комптон эффектісі деп аталады. Бұл жағдай үшін энергияның және импульстің сақталу заңдарын қолдануға болады.
... жалғасы- Іс жүргізу
- Автоматтандыру, Техника
- Алғашқы әскери дайындық
- Астрономия
- Ауыл шаруашылығы
- Банк ісі
- Бизнесті бағалау
- Биология
- Бухгалтерлік іс
- Валеология
- Ветеринария
- География
- Геология, Геофизика, Геодезия
- Дін
- Ет, сүт, шарап өнімдері
- Жалпы тарих
- Жер кадастрі, Жылжымайтын мүлік
- Журналистика
- Информатика
- Кеден ісі
- Маркетинг
- Математика, Геометрия
- Медицина
- Мемлекеттік басқару
- Менеджмент
- Мұнай, Газ
- Мұрағат ісі
- Мәдениеттану
- ОБЖ (Основы безопасности жизнедеятельности)
- Педагогика
- Полиграфия
- Психология
- Салық
- Саясаттану
- Сақтандыру
- Сертификаттау, стандарттау
- Социология, Демография
- Спорт
- Статистика
- Тілтану, Филология
- Тарихи тұлғалар
- Тау-кен ісі
- Транспорт
- Туризм
- Физика
- Философия
- Халықаралық қатынастар
- Химия
- Экология, Қоршаған ортаны қорғау
- Экономика
- Экономикалық география
- Электротехника
- Қазақстан тарихы
- Қаржы
- Құрылыс
- Құқық, Криминалистика
- Әдебиет
- Өнер, музыка
- Өнеркәсіп, Өндіріс
Қазақ тілінде жазылған рефераттар, курстық жұмыстар, дипломдық жұмыстар бойынша біздің қор #1 болып табылады.

Ақпарат
Қосымша
Email: info@stud.kz