Модульмен берілген теңдеулер жүйесін шешу


Мазмұны
Кіріспе . . . 3
- Модуль және оның қасиеттері . . . 5Модуль . . . 5Модульдің қасиеттері5Модульдің қасиеттерін пайдалана отырып мысалдар шығару . . . 7
- Модульмен берілген теңдеулер жүйесін шешу . . . 9Модульмен берілген теңдеулерді шешу . . . 9Модульмен берілген теңсіздіктерді шешу . . . 36
- Модулі белгісіз болатын теңдеулер және олардың жүйесі . . . 39
3. 1 Теңсіздіктің қасиеттері . . . 39
3. 2 Кейбір пайдалы теңдеулер . . . 40
- Модульдерге қолданылатын теңсіздіктер түрлері . . . 44
4. 1 Модулі бар қарапайым теңсіздіктер . . . 44
- түріндегі теңсіздік . . . 46
4. 3
түріндегі теңсіздік . . . 47
4. 4
түріндегі теңсіздік . . . 49
5 Өздігімен орындауға арналған есептер . . . 58
Қорытынды . . . 62
Қолданылған әдебиеттер тізімі . . . 63
Кіріспе
Модуль түсінігі нақты сандар облысында да, комплексті сандар облысында да санның маңызды сипаттамаларының бірі болып табылады. «Модуль» сөзі латын тілінің «modulus»- «мера» деген сөзінен шыққан.
Тақырыптың өзектілігі: модуль түсінігі мектептегі математика курсының әр түрлі бөлімдерінде ғана емес ЖОО- нда оқылатын жоғарғы математика курсында, физикада және техникалық ғылымдарда кеңінен қолданылады. Мысалы: жуықталған есептеулер теориясында жақындатылған санның абсолютті және қатыстың қателіктер түсінігі қолданылады. Механика және геометрияда вектор және оның ұзындығы (вектор модулі) түсініктері оқылады. Математикалық талдауда санның абсолютті ұзындығы түсінігі шек, шектік функция және т. б. Негізгі түсініктердің анықтамаларының құрамына кіреді. Абсолютті ұзындықпен байланысты есептер математикалық олимпиадаларда, ҰБТ- да жиі кездеседі.
Дипломдық жұмыстың мақсаты: Модульдер туралы білімді жүйелеу және оны қолданылу жолдарын анықтау.
Зерттеу пәні: Модульмен берілген есептер.
Зерттеу обьектісі: Модульмен берілген әр түрлі есептерді шығару жолдары.
Дипломдық жұмыстың міндеттері:
1. Модульдермен берілген есептерге талдау жасау;
2. Модульдермен берілген әр түрлі есептерді шешу әдістерін қарастыру;
3. Берілген тақырыпқа қатысты жүйесін қарастыру.
Дипломдық жұмыс 6 бөлімнен тұрады:
Бірінші бөлімде модульдің анықтамалары, оның геометриялық интерпретациясы, абсолютті ұзындық қасиеттері келтірілген. Модульді қолданып, анықталу облысы бірдей теңдік пен теңсіздіктің кез келген жүйесін бір салыстыру түрінде алуға болатыны мысал арқылы көрсетілген. Модуль қасиеті, теңдік немесе абсолютті ұзындық белгісіне ие теңдікке мысал ретінде есептеу келтірілген
Екінші бөлімде модульмен берілген теңдеулер жүйесін шешу тәсілдері келтірілген. Онда шығатын жүйені түрлендіріп, оның шешімдерін табамыз.
Үшінші бөлімде модулі белгісіз болатын теңдеулер және олардың жүйесі. Теңсіздікті шешу дегеніміз- ол теңсіздік тура болатындай және белгісіз шамаларды мәндері көрсетілгендей, шекараларын көрсету.
Төртінші бөлімде модульдерге қолданылатын теңсіздіктер түрлері. 1) Модулдері бар қарапайым теңсіздіктер, модульдері бар теңсіздіктер
және
түріндегі теңсіздіктер болып табылады.
2)
түріндегі теңсіздіктер, 3)
түріндегі теңсіздіктер,
4)
түріндегі теңсіздіктерді шеше білу.
Бесінші бөлімде абсолюттік ұзындық белгісі бар теңдіктер мен теңсіздіктерді графикалық жолмен шешу тәсілдері келтірілген модульдермен берілген теңдеулер мен теңсіздіктерді графикалық шешу кейбір жағдайларда аналитикалық шешіміне қарағанда қолайлырақ болады. Бұл бөлімінде
және
функцияларының графиктерін салу қарастырылған.
Алтыншы бөлімде абсолютті ұзындықтың түсінігімен байланысты тестілік есептерді шешу мысалдары келтірілген. «стандартты» есептердің шешімімен қатар, параметрі бар есептердің де шешімдері келтірілген Олардың шешімінде қандай да бір шешімдердің комбинациясын алу керек. Кейбір есептер үшін бірнеше шешу әдістері келтірілген, кейде шешу процесінде туындайтын қателіктер көрсетіледі. Барлық есептер үшін жылдамдығы бойынша ең тиімді шешімдер көрсетілген.
1 Модуль және оның қасиеттері
1. 1 Модуль
Егер
х
-саны теріс емес болса, онда оның өзі аталады. Егер теріс болса
х
- санына қарама- қарсы сан
кесінді ұзындығы аталады. Қысқаша:
Нақты санның модулінің геометриялық мағынасын қарастырайық.
Бұл сан координатасы болып табылатын, әрбір нақты санға сандық түзуден нүкте сәйкес келеді. Бұл санның модулі - осы сандық осьтегі сәйкес нүктеден координата басына дейінгі қашықтық (1. 1. 1-сурет) . А нүктесінен О нүктесіне дейінгі қашықтық тең.
1. 1. 1- сурет
a, b сандарының модульдерінің айырымы , a және b нүктелерінің ара қашықтығына сәйкес (1. 1. 2-сурет) .
1. 1. 2- сурет
1. 2 Модульдің қасиеттері
1) Модульдің квадраты модуль ішіндегі өрнектің квадратына тең, яғни кез келген үшін .
Ескерту. Бұл формула тек солдан оңға ғана емес, яғни , оңнан солға да: қолданылады.
2) Кез келген нақты санның модулінде теріс сан бар, яғни барлық үшін .
3) Нақты санның модулі осы саннан кем емес, яғни барлық үшін .
4) нақты санының модулі, және екі қарама-қарсы санның максимумна тең, яғни .
5) Олардың қосындысы осы сандардың модульдерінің қосындысына тең болғанда, сонда тек сонда ғана сандар теріс емес, яғни қосындысы жүйесіне пара-пар.
6) Олардың модульдерінің қосындысы осы сандардың қосындысына қарама-қайшы болғанда, сонда тек сонда ғана сандар оң емес, яғни
теңдігі жүйесіне пара-пар.
7) Олардың модульдерінің қосындысы олардың қосындысының модуліне тең болғанда, сонда тек сонда ғана сандар бір уақытта теріс емес және оң да емес, яғни теңдігі немесе екі теңдеулер жүйесіне пара-пар.
8) Екі санның модульдерін салыстыру олардың квадраттарының салыстыруына пара-пар, яғни келесідей пара-парлық орын алады:
пара-пар
пара-пар
пара-пар
пара-пар
пара-пар
9 ) Екі нақты санның көбейтіндісінің модулі көбейткіш модулінің көбейтіндісіне тең, яғни .
10)
11) Кез келген бүтін мәні үшін .
12) Егер - жұп сан болса, онда .
13) Түбір астындағы квадраттық сан осы санның модуліне тең: .
14) Екі нақты санның айырымының модулі олардың модульдерінің айырымынан кіші емес .
15) Екі нақты санның қосындысының модулі олардың модульдерінің айырымынан кіші емес .
16) Кез келген және нақты сандары үшін қос теңсіздік орын алады:
17) Кез келген және нақты сандары үшін теңсіздігі әділ:
18) Кез келген және нақты сандары үшін теңдігі әділ:
19) Кез келген нақты сандардың қосындысының модулі олардың модульдерінің қосындысынан аспайды, яғни
.
20) Екі нақты сандардың қосындысы теріс емес, ал олардың көбейтіндісі оң, сонда тек сонда ғана модульдерінің айырымының модулі осы сандардың қосындысына тең, яғни теңдігі
22) теңдеуі теңсіздігіне пара-пар.
23) теңдеуі , егер қос теңсіздігіне пара-пар.
1. 3 Модульдің қасиеттерін пайдалана отырып мысалдар шығару
1. 3. 1
осы теңсіздік келесі теңсіздіктер жиынтығына мәндес болады.
Жауабы:
1. 3. 2
мына теңсіздік қос теңсіздікке мәндес болады.
Жауабы:
1. 3. 3
осы теңсіздік келесі теңсіздіктер жиынтығына мәндес болады.
Жауабы:
1. 3. 4
,
нүктелері сандық осьті (теңсіздіктің М. М. О) үш аралыққа бөледі.








Берілген теңсіздікті әр аралықта шешейік.
Жауабы:
2 Модульмен берілген теңдеулер жүйесін шешу
2. 1 Модульмен берілген теңдеулерді шешу.
Модульмен берілген теңдеулер жүйесін, модульмен берілген теңдеулерді шешу тәсілдерімен шығарылады. Есепті шешудің негізгі әдістері алгебралық және геометриялық әдіс болып табылады.
Мысалдардың кейбір түрлерін қарастырайық.
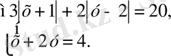
Тапсырма 2. 1
.
1
- ге қатынасты табыңыз, егер
жүйесінің шешімі болатындай мәнін табыңыз
шешуі:
Екінші теңдеуден
- ті алып шығып, бірінші теңдеуге қоямыз, сонда:
.
Графикалық әдіспен шешу. График салуды жеңілдету мақсатымен
депр аламызда мына теңдеуге келеміз.
.
2. 1. 1- сурет
функциясының графигін саламыз
түзуі және
сынған түзу (2. 1. 1- сурет) . График бойынша
қиылысады, онда
. Жүйедегі екінші теңдеуге
қойып,
табамыз.
Жауабы: 5
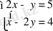
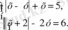
Тапсырма 2. 1. 2
Теңдеулер жүйесін шешіңіз:
шешуі:
1)
болсын, онда
2)
болсын, онда
,
.
Осы жағдайда, бастапқы жүйе мынадай түрге келеді:
Шыққан жүйенің шешімі
жұбы болады. Бірақ бұл жұп
шартын қанағаттандырмайды, сондықтан қарастырылып отырған аймақта бастапқы жүйенің шешімі болмайды.
3)
болсын. Онда
болады.
Осыдан берілген жүйе
түріне келеді.
(14; 5) жұбы шыққан жүйенің шешімі болады. Бірақ бұл шешім
шартын қанағаттандырмайды. Осыдан бастапқы жүйенің бұл аймақта шешімі болмайды.
болсын. Онда
болады. Қарастырылып отырған жүйе бұл жағдайда
түріне келеді, соңғы жүйенің шешімі (-18; 5) жұбы болады. Бұл жұп
шартын қанағаттандырады. Бұдан осы жұп бастапқы жүйенің шешімі болады. Сонымен берілген теңдеулер жүйесі (2; -1), (-18; 5) шешімдеріне ие болады.
Жауабы: (2; -1), (-18; 5)
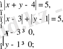
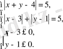
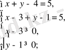
Тапсырма 2. 1. 3
Теңдеулер жүйесін шешіңіз:
шешуі:
х0у
сандық жазықтығын
2х-у=0
және
х=0
түзулерімен төрт бөлікке бөлейік те, берілген жүйені әр бөлікте қарастырайық. а)
екі теңсіздікті қанағаттандыратын
(0; -2)
шешіміне келеміз. Яғни, бұл жұп бастапқы жүйенің шешімі болады. б)
бұл жүйенің шешімі (-2; 0) жұбы болады. Бірақ бұл жұп жүйенің теңсіздіктерін қанағаттандырмайды. Яғни бастапқы жүйенің шешімі болмайды.
в)
алынған жүйенің шешімі (-2; -4) жұбы болады. Бұл жұп жүйенің теңсіздіктерін қанағаттандырады. Сондықтан осы жұп бастапқы жүйенің шешімі болады.
г)
алынған жүйенің
у=х-2
түзуінің теңдеуін қанағаттандыратын кез келген
(х; у)
жұптары болуы мүмкін. Осы шексіз көп жұптардың ішінен
және
шарттарын қанағаттандыратын шешімді табу керек.
теңдеуін
қойып
аламыз. Бір жағынан бізде
бар. Осыдан бастапқы жүйенің шешімі
сандық жұптары болады. Мұндағы
әр аймақта табылған бастапқы жүйенің барлық шешімдерін жинап,
жауабына келеміз. Мұндағы
.
Жауабы:
, мұндағы
.
Тапсырма 2. 1. 4
түрінде берілген теңдеулер жүйесін шешіңіз:
шешуі:
Бұл жүйені шешудің үш тәсілін көрсетейік.
Бірінші тәсіл
Сандық жазықтықты
,
түзулерімен аймақтарға бөліп, төрт жағдайды қарастырайық.
а)
б)
в)
г)
Екінші тәсіл
Бастапқы жүйенің екінші теңдеуінен
өрнегін жүйенің бірінші теңдеуіне қоямыз. Осыдан:
,
Сонғы теңдеуді екі
және
аралығында шешейік
жүйенің шешімі жоқ.
жүйенің шешімі болады. Енді
екенін пайдаланып,
табамыз. Осыдан
болады. Сонымен, бастапқы жүйенің шешімі
болады.
Үшінші тәсіл
екенін біле отырып, жүйенің екінші теңдеуіне байланысты
болады.
және
біле отырып, бір уақытта
және
теңдіктері орындалғанда, осы модульдердің қосындысы 4- ке тең болады деген қорытындыға келеміз. Осыдан бастапқы жүйенің шешімі
болады.
Жауабы:
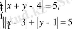
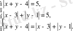
Тапсырма 2. 1. 5
Теңдеулер жүйесін шешіңіз:
шешуі:
Берілген жүйе келесі жүйеге тепе- тең болады.
Бұл жүйе (
болғандықтан модульдің қасиеті бойынша келесі аралас жүйеге тепе - тең:
Соңғы жүйе келесі жүйелер жиынтығына тепе - тең:
Бұл жиынтықтың бірінші жүйесі
жүйесіне тепе - тең.
Соңғы жүйенің барлық шешімдерін
түрінде жазуға болады. Мұндағы t -
кесіндісіндегі кез келген сан.
Жиынтықтың екінші жүйесі
жүйесіне тепе - тең.
Соңғы жүйенің шешімдер жиыны
сандық жұптарынан тұрады, мұндағы а-
кесіндісіндегі кез келген сан. Сондықтан бастапқы жүйенің шешімдері барлық
Жауабы:
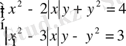
Тапсырма 2. 1. 6
Теңдеулер жүйесін шешіңіз:
шешуі:
Бұл жүйені дәстүрлі тәсілмен модульді ашу арқылы шешуге болады, бірақ біз тиімдірек шешу тәсіліне келтіреміз.
Берілген жүйе симметриялы: егер біз айнымалылардың орындарын ауыстырсақ, онда жүйе өзгермейді. Сондықтан
екенін біле отыра
түрлендіреміз. Осыдан
бір шешімін жинау және белгілі қасиеттерді пайдаланып, басқа
шешімдерін табамыз.
Жауабы:
,
.
Тапсырма 2. 1. 7
Теңдеулер жүйесін шешіңіз:
шешуі:
Екінші теңдеуден х-ті у арқылы өрнектеп, жүйенің бірінші теңдеуіне қоямыз:
Бірінші теңдеуді модульдің анықтамасы бойынша ашып, шешеміз. Бұл теңдеу келесі жиынтыққа тепе- тең:
Егер
болса, онда
, егер
болса, онда
болады.
Жауабы:
Тапсырма 2. 1. 8
Теңдеулер жүйесін шешіңіз:
шешуі:
болсын. Онда
Бұл
және у айнымалыларынан тұратын біртекті жүйе. Бірінші теңдеуді 3-ке көбейтіп, 4- ке көбейтілген екінші теңдеуді азайтайық:
. Оны
-ға қатысты квадраттық түрде шешейік.
жүйесі екі жүйе жиынтығына тепе- тең:
және
екенін біле отырып,
табамыз
Жауабы:
Тапсырма 2. 1. 9
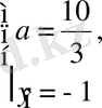
а-
параметрінің әр мәнінде
жүйесі бір ғана шешімге ие болатындай мәнін табыңыз
шешуі:
Егер
берілген жүйенің шешімі болса, онда
- да жүйенің шешімиі болады. Сондықтан шешімнің жалғыз болуының шарты
болады. Осы кезде жүйе келесі түрге ие болады:
немесе
- Іс жүргізу
- Автоматтандыру, Техника
- Алғашқы әскери дайындық
- Астрономия
- Ауыл шаруашылығы
- Банк ісі
- Бизнесті бағалау
- Биология
- Бухгалтерлік іс
- Валеология
- Ветеринария
- География
- Геология, Геофизика, Геодезия
- Дін
- Ет, сүт, шарап өнімдері
- Жалпы тарих
- Жер кадастрі, Жылжымайтын мүлік
- Журналистика
- Информатика
- Кеден ісі
- Маркетинг
- Математика, Геометрия
- Медицина
- Мемлекеттік басқару
- Менеджмент
- Мұнай, Газ
- Мұрағат ісі
- Мәдениеттану
- ОБЖ (Основы безопасности жизнедеятельности)
- Педагогика
- Полиграфия
- Психология
- Салық
- Саясаттану
- Сақтандыру
- Сертификаттау, стандарттау
- Социология, Демография
- Спорт
- Статистика
- Тілтану, Филология
- Тарихи тұлғалар
- Тау-кен ісі
- Транспорт
- Туризм
- Физика
- Философия
- Халықаралық қатынастар
- Химия
- Экология, Қоршаған ортаны қорғау
- Экономика
- Экономикалық география
- Электротехника
- Қазақстан тарихы
- Қаржы
- Құрылыс
- Құқық, Криминалистика
- Әдебиет
- Өнер, музыка
- Өнеркәсіп, Өндіріс
Қазақ тілінде жазылған рефераттар, курстық жұмыстар, дипломдық жұмыстар бойынша біздің қор #1 болып табылады.

Ақпарат
Қосымша
Email: info@stud.kz