Металдарды деформациялық беріктендіру


Қазақстан Республикасының білім және ғылым министрлігі
Қарағанды мемлекеттік техникалық университеті
Кафедра : НТМ
Реферат
Тақырып: Деформациялық беріктену
Қабылдады:
Абдилдина М. М.
(оқытушының аты-жөні)
(қолы, уақыты)
Орындаған:
Жасланов Д. М.
(студенттің аты-жөні)
МЕТ-17-3
(тобы)
Қарағанды 2018
Кіріспе
Кіріспе
1. Металдарды деформациялық беріктендіру.
Деформация - денедегі бөлшектердің орналасуының өзара орын ауыстыруы және дене өлшемдері мен пішінінің ауысуы.
Беріктік - материалдың түсірілген жүкке қирамай қарсы тұра алу қабілеті.
Үлгі деформациясы үздіксіз жалғастыру үшін оған әсер ететін кернеуді тұрақты түрде өсіріп отыру керек. Осы құбылыс деформациялық беріктендіру деп аталады. Ол тек пластикалық деформация жүрісінде ғана байқалады. Бастапқы суық деформациядан кейін материалдың беріктік сипаттамалары (наклеп) артады. Деформациялық беріктендіру дислокацияның тежелеуімен негізделеді. Материалдағы дислокацияның орын ауыстыруы неғұрлым қиын болса, деформациялық беріктендіру коэффиценті (модулі) соғұрлым жоғары - деформация бойынша кернеудың туындысы. Сынақ жүргізу процесінде бұл коэффицент өзгереді. Және оның өзгеруі ең соңында созу диаграммасының геометриясын анықтайды. Деформациялық беріктендіру заңдылықтарын қатаң талдау үшін шынайы кернеу (S немесе t) - деформация (e немесе g) координаталарында қисық сызықтарды пайдалану керек. Металдардағы пластикалық деформация белгілі жазықтықтарда жанама кернеулердің ықпалымен белгілі жазықтықтарда дислокацияның қозғалуымен іске асырылатын болғандықтан t - g қисық сызықтарын тұрғызған дұрысырақ. Сырғудың келтірілген кернеуі:
tп=S•cosθ•cosγ,
мұндағы, θ -сырғанау жазықтығындағы нормаль мен созу осі аралығындағы бұрыш;
γ -сырғанау бағыты мен созу осі аралығындағы бұрыш.
cosθ•cosγ туындысы бағдар факторын анықтайды: берілген созу жүктеуі кезінде берілген сырғанау жүйесінде ол неғұрлым кіші болса, жанама кернеу соғұрлым төмен.
Созу осі сырғанау бетіне перпендикуояр болғанда (γ=900) немесе оған // (θ=900), егер θ=γ=450 болған кезде, tп=0. tmax.
Сырғудың келтірілген деформациясы мына формуламен табылады:
gп=(cosθ0) -1{[(lк/l0) 2-sin2γ0] 1/2-cosγ0},
мұндағы, θ0 и γ0 - бастапқы деформация кезіндегі θ және γ шамасы;
lк жәнеl0 - үлгінің бастапқы және соңғы (сынақтың кез-келген сәтінде) ұзындығы.
2. Деформацияланған металл қасиеттері мен құрылымына қыздырудың тигізетін әсері.
Қарқынды термиялық қайтуға дейінгі температуралар облысындағы бұл әсердің эффектісі никель монокристалының созу қисығындағы үш кезеңдңк мысалында келтірілген-3. 4-сурет.
Суреттен, төменгі температуралы облыста сынақ жүргізу кезінде қыздыру кернеу ағыны деңгейінің төмендеуіне, беріктенудің алғашқы екі кезеңінің қысқаруына және үшінші кезеңнің кеңеюіне және осы үшінші кезеңде деформциялап беріктендіру коэффициетінің азаюына әкелетінін көруге болады.
Поликристалдар үшін температураны көтерудің маңызды нәтижесіне көлденең сырғудың жеңілдеуінен болған үшінші кезеңдегі беріктендіру коэффициентінің төмендеуі болып табылады (1 және2 кезеңдерде dt/dg) сол сияқты, сырғу модулінің азаюынан төмендейді, бірақ эффект өте аз шамада болады. Бұл әр түрлі температуралардағы поликристалдардың созу қисық сызығы деформациялық беріктену дәрежесі мен ағын кернеуі деңгейі бойынша біршама ажыратылатынын көрсетеді (3. 4-сур. ) .
0 0, 2 0, 4 0, 6 0, 8 1 1, 2 1, 4 g
τ, кгс/мм 2
20
15
10
5
20
78
300
3. 4-сурет-Әр түрлі температуралар кезінде никель монокристалын деформациялық беріктендірудің қисық сызығы
Ең төменгі температурда көлдеңен сырғу неғұрлым жеңіл жүрсе, қыздырудың dS/de қатынасына әсері соғұрлым аз. Мысалы, орама ақауының энергиясы жоғары к. ц. к. -металдардың сынақ температурасын арттыру беріктендіру коэффицентіне аз ықпал етеді, мұнда қисық сызықтар негізінен кернеу деңгейімен ерекшеленеді.
Жалпы жағдайда әр түрлі температураларда S-е қисық сызықтарының (3. 5, а-сур. ) екі әр түрлі себеппен түсіндіріледі: 1) әр түрлі температураларда жүргізілген сынақ кезіндегі туындайтын субқұрылымдардың әр түрлілігі; 2) ағын кернеуінің (бірдей субқұрылым болған кезде) температурадан тәуелділігімен. Тек екінші себеп қана ықпал етеді десек, онда, Т2 кезінде деформацияны тоқтатқаннан кейін В нүктесінде температураны Т1-ге дейін төмендетсе, сол кезде ағын кернеуі D шамасына дейін күрт өседі және әрі қарай деформациялау кезінде қисық сызық үлгіні Т1-де ең басынан созғандай жүреді. [1]
б T 2 >T 1 e
C
S m
T 1
T 2
S
а T 1 >T 2 e
E
DC
B
T 1
L
K
T 2
S
3. 5-сурет- Сынақ температураларын өзгертудің деформациялық беріктендіру қисық сызықтарына әсері.
Енді қисық сызықтардың таралдуы 12, а-сурет субқұрылымдардың айырымымен байланысты деп болжаймыз. Мұндай жағдайда Т2 температурасы Т1 температурасына дейін төмендегеннен кейін В нүктесінде тек қисық сызықтың қиғаштануы ғана өзгереді. Т1 температурасында әрі қарай созуға ВК пунктирі сәйкес келеді, бұл кезде ВК қисығы ОДЕ қисық сызығына параллель емес, себебі В және Д нүктелеріндегі “бастапқы” субқұрылымдар әр түрлі.
Қарастырылған екі түрлі себеп кезінде де қандай да аралық вариант бар (3. 5, а-сур. CL) . Әрбір себептің тигізетін ықпалы мөлщерлі түрде мына қатынаспен анықталады: оны эксперименттік жолмен анықтауға болады. Осы қатынас неғұрлым бірге жақын болса, соғұрлым кернеу ағысының температуралық тәуелділігі маңыздырақ. Алайда, эксперименттердің көрсетуіне қарағанда таза металдлар үшін деформация кедергісі үшін температуралық тәуеліділік өте аз шама, және кернеу ағынына температураның әсерінің басты себепкері және беріктендіру коэффициенті сынақтың әр түрлі температурасы кезінде түзілетін субқұрылымдар айырымы бола алады. Алюминий мен мыстың қатынасы 1-ге жақын, ал
.
Бұл кезде металдардың г. ц. к. және о. ц. к. торларына Коттрелл мен Стокс бекіткен заңдылық орындалады.
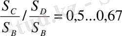
=const,
мұндағы, ΔS - деформация процесінде Sc - SB; кенет температураның өзгеруімен түзілетін ағын кернеуінің өзгеруі
S - бастапқы (SB) немесе соңғы (SC)
2. 1 Легірлеу және қоспалардың кернеу қисық сызығына әсері.
Қатты ерітінділердің және гетерофазалық қорытпаларды пластикалық деформация ерекшеліктерін білу деформациялық беріктендіруге легірлеудің негізгі эффектілерін түсіндіруге мүмкіндек береді.
Техникалық металдардағы қоспалар мен қатты ерітінді құрамына кіретін аз мөлшердегі легірлеуші элементтер созу кезіндегі қисық сызыққа әсіресі дислокацияларға қоспалық атмосфералар түзу арқылы әсерін тигізеді. Бұл әсер пластикалық деформацияның бастапқы кезеңдерінде байқалады.
Концентрацияланған қатты ерітінділерді деформациялық беріктендіру- дің таза металдардан айырмашылығы дара сырғанау үшін оңтайлы бағдарланған монокристалдардың сәйкес қисық сызығын сала отырып көрге болады. 3. 6-суретте мұндай қисық сызық никель мен оның негізіндегі қорытпаларға кобальттың қатты ерітіндісіне келтірілген. Жалпы алғанда, таза металдар мен қатты ерітінділер беріктендіруін анықтайтын, процестер де ұқсас, қисық сызықтар сипаты да ұқсас. Сол сияқты легірлеуші элементтің ықпалы көрініп тұрады: 1) критикалық сырғанау кернеуінің артуы; 2) еркін сырғанау кезеңінің ұзаруы; 3) кернеудің 2-ші және әсіресе, 3-ші кезеңдерге ауысуының артуы; 4) 3-ші кезеңде деформациялық беріктендірудің артуы.
Сырғуының критикалық кернеу артуы торда бөтен атомдар болған кезде дислокация сырғуы кезінде үйкеліс күштерінің артуымен байланысты. Легірлеу кезінде 1-ші кезеңнің ұзақтығының артуы - жаңа жазықтықтарда сырғанаудың басталуының қиындауының нәтижесі. Егер сырғудың критикалық кернеуі артса, онда жаңа жазықтықтарда сырғанауды икемдеу үшін қажетті қатты күйдегі дислокация жиналуындағы кернеу концентрациясы да өседі және жеңіл сырғанау үлкен деформация шамасына дейін жалғаса алады.
20%
Cо
Ni
0 0, 3 0, 6 0, 9 1, 2 g
τ, кгс/мм 2
16
12
8
4
40% Со
3. 6-сурет-Никель және 295 К кезінде никельде кобальттың қатты
ерітіндісіндегі деформациялық беріктендіру қисықтары.
Әсіресе, кернеудің үшінші кезеңге ауысуы және осы кезде беріктендіру коэффициентінің жоғарылауы маңызды болып табылады. Бұл легірлеу нәтижесінде дислокацияның көлденең сырғанауының (үйкеліс күшінің артуынан) және реттелуінің қиындауы және жиынтық ақауы энергисының төмендеуімен байланысты. Нәтижесінде деформациялық беріктендіру коэффициенті және поликристалл қорытпалардың қатты ерітінділерінің ағын кернеуі таза металдардікінен неғұрлым жоғары болады.
Таза метал мен қатты ерітіндінің деформациялық беріктенуінің мөлшерлік айырымы үлкен шамада тербеліп тұрады және тор түрі, жиынтық ақауы энергиясы, еріткіш және қоспа атомдарының өлшемдік және электрохимиялық сәйкессіздігі (ол тордың бұзылу дәрежесімен легірлеу кезіндегі үйкеліс күшінің өсуі), тәртіп дәрежесі сияқты параметрлермен анықталады.
Мысалы, бөлме температурасында реттелеген құрылымды Ni3Fe, Cu3 Аu және Au3 Cu поликристалдарының г. ц. к. беірктендіру коэффициенті, әрі қарай реттелудің болмауыныан екі есе үлкен. Сол сияқты, о. ц. к. және г. ц. к. торлы қорытпалардың реттелуі деформациялық беріктендіру кезінде онша байқалмайды. Сынақ температурасы неғұрлым төмен болса, соғұрлым, таза металдар мен қатты ерітінділер арасындағы айырым шамасы жоғарырақ болады. Бірақ, олар реттелумен негізделсе, онда температураның әсері бір шамалы балмайды: температура өскен кезде рет дәрежесі өседі, деформациялық беріктендіру кезіндегі айырым артады, және керісінше болады.
Шығын фазаларының түзілуіне әкелетін легірлеуші элементтер пластикалық ағын басталғаннан бастап, деформациялық беріктенуді күшейтеді. Дисперстік бөлінулер шамасы жеткілікті жоғары шамада болғанда жеңіл сырғанау кезеңі толығымен сығылған болуы мүмкін және монокристалдың беріктену қисық сызығының көрінісі поликристалдікіндей болады.
... жалғасы- Іс жүргізу
- Автоматтандыру, Техника
- Алғашқы әскери дайындық
- Астрономия
- Ауыл шаруашылығы
- Банк ісі
- Бизнесті бағалау
- Биология
- Бухгалтерлік іс
- Валеология
- Ветеринария
- География
- Геология, Геофизика, Геодезия
- Дін
- Ет, сүт, шарап өнімдері
- Жалпы тарих
- Жер кадастрі, Жылжымайтын мүлік
- Журналистика
- Информатика
- Кеден ісі
- Маркетинг
- Математика, Геометрия
- Медицина
- Мемлекеттік басқару
- Менеджмент
- Мұнай, Газ
- Мұрағат ісі
- Мәдениеттану
- ОБЖ (Основы безопасности жизнедеятельности)
- Педагогика
- Полиграфия
- Психология
- Салық
- Саясаттану
- Сақтандыру
- Сертификаттау, стандарттау
- Социология, Демография
- Спорт
- Статистика
- Тілтану, Филология
- Тарихи тұлғалар
- Тау-кен ісі
- Транспорт
- Туризм
- Физика
- Философия
- Халықаралық қатынастар
- Химия
- Экология, Қоршаған ортаны қорғау
- Экономика
- Экономикалық география
- Электротехника
- Қазақстан тарихы
- Қаржы
- Құрылыс
- Құқық, Криминалистика
- Әдебиет
- Өнер, музыка
- Өнеркәсіп, Өндіріс
Қазақ тілінде жазылған рефераттар, курстық жұмыстар, дипломдық жұмыстар бойынша біздің қор #1 болып табылады.

Ақпарат
Қосымша
Email: info@stud.kz