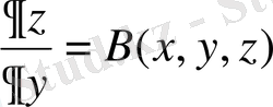
Дербес туындылы сызықтық дифференциалдық теңдеулерді зерттеу


Дербес туындылы сызықтық дифференциалдық теңдеулерді зерттеу
ДИПЛОМДЫҚ ЖҰМЫСЫ
Мазмұны
Кіріспе
Берілген жұмыста негізінен дербес туындылы дифференциалдық теңдеулер үшін қойылған нақты есептер қарастырылады, дербес жағдайда теңдеулерді сызықтық әдіспен баяндау үшін дербес туындылы сызықтық теңдеулердің жалпылама шешімін табу қолданылады. Жалпы дербес теңдеулердің дифференциалдық теңдеулер теориясының қалыптасуы ХІХ ғасырдың аяғында басталған. Бұл теорияның негізін салушылары В. Вольтер (1896 ж. ), Фредгольм (1903 ж. ), Гильберт (1912 ж. ) және Э. Шмидт (1907 ж. ) болып табылады. Бұл ғалымдардың зерттеуіне дейін интегралдық теңдеулердің шешімінің құрылымы үшін біртіндеп жуықтау әдісі ұсынылған. Бұл әдіс ең алғашында Вольтера түріндегі сызықтық емес интегралдық теңдеулер шешімі үшін қолданылған. Теңдеуді шешудің көп әдісі бар, бірақ олардың ішінде кейбіреулері соншалық универсалды және Фредгольмнің бірінші, екінші текті, Вольтерраның бірінші және екінші текті сызықтық теңдеулерінің шешімі үшін қолданылады.
Өзектілігі. Көптеген жаратылыстану, техника, механика және басқа ғылыми білімдердің салаларының есептері формула түріндегі математикалық модельдеу процесстеріне келтіріледі, яғни функционалды қажеттілік түрінде болады. Мысалыға алсақ, радиотехникадағы көшу процесстері, космостық объектілердің қозғалысы, экономикалық дамудың моделі дербес туындылы дифференциалдық теңдеулер көмегімен зерттеледі.
Осының бәрі жұмыстың тақырыбын таңдаудың басты себебі болды.
Берілген зерттеудің объектісі дифференциалдық теңдеулер болып табылады, ал дербес туындылы дифференциалдық теңдеулер көмегімен шешілетін жаратылыстанудың көбінесе белгілі есептері берілген жұмыстың субъектісі болып табылады.
Дипломдық жұмыстың мақсаты дербес туындылы сызықтық дифференциалдық теңдеулерді зерттеу, соның ішінде біртекті сызықты, біртексіз сызықты, сызықтық емес, екі тәуелсіз айнымалысы бар дифференциалдық теңдеулердің негізгі теориялық мәліметтерін зерттеу және жүйелеу, сондай-ақ жаратылыстану-ғылыми пәндер циклы бойынша берілген дербес туындылы сызықтық дифференциалдық теңдеулерді шешу және ол әдістерді сызықтық интегралдық теңдеулер теориясын зерттеу үшін қолдану мүмкіндігін қарастыру.
Қойылған мақсатқа жету дербес есептердің шешімімен байланысты: бірінші және екінші ретті дербес туындылы сызықтық дифференциалдық теңдеулердің негізгі теориясын бейнелеу және математикалық физика теңдеулері мен сызықтық интегралдық теңдеулер есебін шешудің кейбір амалдарын қарастыру.
Зерттеудің әдістері функционалдық, салыстырмалылық және сәйкестендіргіштік принциптерінің математикалық құбылыстарды зерттеулеріне сүйенеді.
Практикалық маңыздылығы: жұмыс теориялық сипатта болып табылады. Қарастырылған әдістер математикалық физика теңдеулерінің көптеген есептерін шешу барысында қолданылуы мүмкін.
Жұмыстың жаңалығы дербес туындылы сызықтық дифференциалдық теңдеулердің кейбір мысалдарымен шешілетін жеткілікті мөлшердегі күрделі материалды зерттеу болып табылады.
Жұмыста материалдың келесідей орналасу схемасы қабылданған.
Берілген зерттеудің құрылымы кіріспеден, екі негізгі теориялық, үшінші -практикалық бөлімнен, қорытындыдан және қолданылған әдебиеттер тізімінен тұрады.
- Бірінші бөлімінде бірінші ретті және екінші ретті дербес туындылы сызықтық дифференциалдық теңдеулердің түрлері мен классификациясы қарастырылады, сондай-ақ элипстік типті теңдеулердің негізі теориясы беріледі.
- Екінші бөлімінде сызықтық интегралдық теңдеулер теориясының элементтерінен тұрады, оның ішінде қысып бейнелеу әдісі және оның қолданылуы, Фредгольм теориясы және бірінші текті сызықтық интегралдық теңдеулер қарастырылады.
- Үшінші бөлімінде бірінші ретті және екінші ретті дербес туындылы сызықтық дифференциалдық теңдеулер көмегімен шешілетін есептер қарастырылады.
Қорытындыда жүргізілген зерттеу жұмысының нәтижелерінің қорытындысы келтіріледі.
Қолданылған әдебиеттер тізімінің саны - 20.
1 Дербес туындылы сызықтық дифференциалдық теңдеулер
туралы түсінік
1. 1 Бірінші ретті дербес туындылы сызықтық дифференциалдық
теңдеулер және оларды шешу
І. Біртекті сызықтық теңдеу
Егер бірінші ретті дербес туындылы теңдеулерде
(1)
-
айнымалыларынан тәуелді ізделінді функцияның дербес туындылары сызықты болып кірсе, онда мұндай теңдеу сызықты деп аталады және мына түрде жазылады:
(2)
Егер теңдеудің оң жағындағы
нөлге теңбе тең, ал
коэффициенттері
(яғни ізделінді функциядан) анымалысынан тәуелсіз болған жағдайда, онда (2) сызықтық теңдеу келесі түрге ие болады
(3)
және біртекті деп аталады. Кері жағдайда оны біртексіз деп атайды. Сонымен, келесі теңдеулерді
(4)
біртекті, ал
(5)
және
(6)
теңдеулерін біртексіз деп атаймыз, мұндағы
.
Біртекті (3) теңдеуді қарастырайық.
өзінің дербес туындыларымен бірге
бастапқы нүктелерінің кейбір аумақтарының барлық аргументтері бойынша анықталған және үзіліссіз және де осы нүктеде бір мезгілде нөлге айналмайды деп болжайық. Мысалға, алсақ,
. (7)
Біз (3) теңдеуінің шешімін табу туралы сұрақты қарастырамыз, көрсетілген нүктенің кейбір аумақтарында, яғни (3) теңдеуін теңбе-теңдіке айналдыратын,
нүктесінің аумағында анықталған және үзіліссіз дифференциалданған функцияларды іздейміз.
Ең алдымен айтып кететініміз, (3) біртекті теңдеу келесі түрдегі шешімге ие болады:
(8)
мұндағы
. Мұндай шешімдерді айқындалған деп атайды. (3) теңдеудің коэффициенттеріне қатысты жасалған болжамдардан ол шексіз көп айқындалмаған шешімдері бар екенін көреміз.
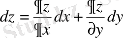
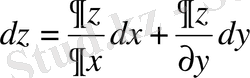
2. Симметриялық формадағы қарапайым дифференциалдық теңдеулер жүйесін қарастырайық
(9)
Бұл жүйе (3) дербес туындылы біртекті сызықтық теңдеуге сәйкес, симметриялық түрдегі қарапайым дифференциалдық теңдеулер жүйесі деп аталады.
Теорема. 1) Егер
функциясы (9) теңдеулер жүйесінің үзіліссіз дифференциалданатын интегралы болса, онда
(3) теңдеудің шешімі болып табылады;
2) Егер
(3) теңдеудің шешімі болса, онда
(9) жүйенің интегралы болады.
3. Жасалынған болжамдар бойынша (9) жүйе тура
тәуелсіз интегралдарға ие
,
, . . . ,
, (10)
бастапқы нүктесінің кейбір аумақтарында үзіліссіз дифференциалданады және анықталған, себебі бұл болжамдарда (9) жүйе
нормальді жүйесінің теңдеуіне теңбе-тең
,
, . . . ,
(11)
(10) интегралдан кез келген үзіліссіз дифференциалданатын функция
(12)
сондай-ақ (9) жүйенің де интегралы болатынын және сәйкесінше, (3) теңдеуінің шешімі болатынын көреміз.
Екі тәуелсіз айнымалының жағдайын да (3) теңдеуді келесі түрде қарастырамыз:
(13)
мұндағы
белгісіз функция, ал
және
-
және
-тен берілген функциялар.
Қарастырылып отырған жағдайда (9) жүйе бір теңдеуге бейнеленеді
. (14)
- осы теңдеудің интегралы болса, онда (10) теңдеудің жалпы шешімі келесі түрде болады
, (15)
мұндағы
- кез келген үзіліссіз дифференциалданатын функция.
ІІ. Біртексіз сызықтық теңдеу
4. Біртексіз сызықтық теңдеуді қарастырайық
(16)
коэффициенттері және
оң жағы
бастапқы нүктесінің кейбір аумақтарында тербес туындысымен бірге анықталған және үзіліссіз деп болжайық, және де
(17)
(16) теңдеуінің шешімін айқын емес түрде іздейміз
, (18)
мұндағы
- кейбір өзінің аргументтерінен үзіліссіз дифференциалданатын функция
. (19)
(4) теңдеуімен анықталатын,
функциясын
тәуелді деп есептеп, (18) қатынасын
қатысты дифференциалдасақ
, (20)
табамыз, осыдан
. (21)
(21) -ді (16) -ға қоя отырып,
-ға көбейтіп және барлық мүшелерін сол жаққа көшіретін болсақ, келесіні аламыз
(22)
(22) теңдеуі
ізделінді функциясы бар біртекті сызықтық теңдеу. Оған сәйкес жүйе симметриялық формада
(23)
тәуелсіз интегралдарға ие
, . . . ,
(24)
Сол себепті
(25)
(22) теңдеудің жалпы шешімі болады.
(25) -ті (18) -ге қоя отырып, (16) теңдеуінің ізделінді шешімін келесі түрде аламыз
(26)
Бұл қатынасты, мұндағы
-кез келген үзіліссіз дифференциалданатын функция, (1) теңдеуінің жалпы шешімі деп атаймыз. Егер (26) теңдеуін
-ға қатысты фактілі түрде шеше алсақ, онда жалпы шешімді айқын түрде аламыз
(27)
мұндағы
- кез келген үзіліссіз дифференциалданатын функция.
Екі айнымалысы бар жағдайда келесі теңдеуді аламыз
(28)
мұндағы
. (23) жүйесі келесідей түрде болады
. (29)
Егер
- осы жүйенің тәуелсіз интегралдары болса, онда (28) теңдеуінің жалпы шешімі келесідей түрде болады
. (30)
ІІІ. Сызықтық емес теңдеулер
5. Екі тәуелсіз айнымалысы бар жағдайдағы дербес туындылы бірінші текті сызықтық емес теңдеуді қарастырамыз
, (31)
мұндағы
-
және
тәуелді ізделінді функция;
-
және
тәуелді сызықты емес,
бастапқы нүктелерінің кейбір аумағында өзінің аргументтерінде берілген үзіліссіз дифференциалданатын функция.
Айтып өтетін жайт, (31) түріндегі бір теңдеуді интегралдау есебі, осындай түрдегі сәйкес екі теңдеулер жүйесін интегралдаудан қиынырақ болады, яғни алынғаншешім, екі теңдеу жүйесіне де ортақ шешім болады.
Мына жүйені қарастырайық:
;
. (32)
Осы жүйені
және
-ға қатысты оны шешкенде келесіні алуға болады:
, (33)
мұндағы
және
бастапқы нүктелерінің кейбір аумақтарында үзіліссіз дифференциалданады.
(33) жүйесінің қажетті сәйкестік шартын табамыз.
бастапқы нүктесінің кейбір аумақтарында осы жүйенің әрбір теңдеуін қанағаттандыратын және үзіліссіз дербес туындылары
бар болады,
функциясы бар деп болжайық.
деп ойлап,
және
бойынша (33) теңдеуін дифференциалдасақ, келесіні аламыз
;
. (34)
Осыдан алатынымыз,
(35)
(5) шарты (3) жүйесінің қажетті сәйкестік шарты болып табылады.
(3) жүйесі тек сәйкестік қана болмауы үшін, ең болмағанда кез келген тұрақтыдан тәуелді, бірақ шешімдер үйірі де бар болуы керек, шарт қажетті түрде
(36)
қарастырылып отырылған облысыта
қатысты теңбе-теңдік орындалуы керек.
Егер (36) шарт
-ке қатысты теңбе-теңдік орындалса, онда ол (33) жүйенің толық интегралдық шарты деп аталады.
6. Пфафф теңдеуі деп келесі түрдегі теңдеу аталады
. (34)
Бұл теңдеуге барлық
айнымалылары симметриялы түрде кіреді, және олардың әрқайсысын ізделінді функция деп ойлауға болады.
және
коэффициенттері өзінің дербес туындыларымен бірге
бастапқы нүктелерінің кейбір аумақтарының барлық аргументтері бойынша анықталған және үзіліссіз және де осы нүктеде бір мезгілде нөлге айналмайды деп болжайық. Мысалы, былай деп алайық,
. (35)
Онда (34) теңдеуді келесі түрде жазуға болады
. (36)
Кез келген бір тұрақтыдан тәуелді, Пфафф теңдеуінің шешімдері үйірі бар болатын, шартты табайық. Себебі
кез келген интегралдық бетте негізі қатынас орындалуы қажет
(37)
онда интегралдық беттер үшін алатынымыз
, (38)
және
тәуелсіздігінін нәтижесінде алатынымыз, ізделінді интегралдық беттер теңдеулер жүйесін қанағаттандыруы қажет
;
(39)
(34) Пфафф теңдеуі (39) жүйесіне теңгерілген. Нәтижесінде (39) жүйені толық интегралданатын шарттарын табуға әкеп соғады.
Жүйе үшін
;
(40)
толық интегралдық шарт келесідей түрге ие
(41)
және ол қарастырылып отырған облыста теңбе-тең орындалуы керек. (39) жүйесіне (41) шартын жаза отырып, алатынымыз
(42)
Екі жағын да
көбейтеміз және
және
мүшелерін жинаймыз
. (43)
(43) шартын ыңғайлық үшін келесі түрдегі теңдік түрінде жазуға болады
. (44)
Егер (43) шарты теңбе-тең орындалса, онда ол Пфафф теңдеуінің толық интегралданатын шарты деп аталады. (43) шарты орындалғанда Пфафф теңдеуі (39) жүйесінің интегралдануына келтіріледі. Сонымен қатар бір кез келген тұрақтысы бар болатын, шешімдер үйірі табылады.
1. 2 Екінші ретті дербес туындылы сызықтық дифференциалдық
теңдеулер және оларды шешу
І. Екі тәуелсіз айнымалысы бар дифференциалдық теңдеулер.
Қажетті анықтамаларды берейік.
екі тәуелсіз айнымалысы бар 2-ретті дербес туындылы теңдеу деп
белгісіз функциясының арақатынасымен және оның 2-ретті дербес туындыларын қоса алғанда берілетін теңдеуді атаймыз,
.
мұндағы
Теңдеу жоғарғы туындыларына қатысты сызықты деп аталады, егер ол келесідей түрге ие болса
(45)
мұндағы
және
функциясы болып табылады.
Егер
коэффициенттері тек қана
және
тәуелді емес болса, ал
ұқсас болып келсе, функциялары
, онда мұдай теңдеуді квазисызықты деп атайды.
Теңдеу сызықты деп аталады, егер ол
жоғарғы туындыларына қатысты сызықты, дәл солай
функциясына және оның бірінші туындылары
қатысты болса:
(46)
мұндағы
- тек
және
функциялары. Егер (46) теңдеуінің коэффициенттері
және
тәуелді емес болса, онда ол тұрақты коэффициентті сызықты теңдеу болады. Теңдеу біртекті деп аталады, егер
болса.
Айнымалыларды түрлендіру көмегімен
кері түрлендіруді болдыратын, біз берілгенге эквивалентті, жаңа теңдеу аламыз. Сәйкесінше келесі сұрақты қоя аламыз:
және
айнымалыларындағы теңдеулер мейлінше қарапайым формада болу үшін оны қалай аламыз?
Бұл пунктте біз біз теңдеу үшін қойылған сұраққа жауап береміз,
және
екі тәуелсіз айнымалысы бар (45) түрінің сызықты жоғарғы туындыларына қатысты
Туындыларды жаңа айнымалыларға түрлендіре отырып, алатынымыз:
(47)
(47) теңдеуінен (45) теңдеуіне туындылардың мәндерін қоя отырып, келесіні аламыз:
(48)
мұндағы
ал
функциясы екінші туындыларынан тәуелді емес. Ескере кететіні, егер де берілген теңдеу сызықты болса, яғни
онда
келесі түрге ие
яғни теңдеу сызықты болып қалады.
және
айнымалыларын
коэффициенті нөлге тең болатындай етіп таңдап аламыз. 1-ретті дербес туындылы теңдеуді қарастырамыз
(49)
осы теңдеудің қандай-да бір дербес шешімі болсын. Егер
деп ойласақ, онда
коэффициенті сәйкесінше нөлге тең болады. Осылайша, жоғарыда атап өтілген жаңа тәуелсіз айнымалыларды таңдау туралы есеп (49) теңдеуінің шешімімен байланысты.
Келесі леммаларды қарастырайық.
1. Егер
келесі теңдеудің дербес шешімі болса
онда
қатынасы қарапайым дифференциалдық теңдеудің жалпы интегралы болып табылады
(50)
2. Егер
қарапайым дифференциалдық теңдеудің жалпы интегралы болып табылса
онда
функциясы (49) теңдеуін қанағаттандырады.
(50) теңдеуі (45) теңдеуі үшін характеристикалық деп аталады, ал оның интегралдары-характеристикалар деп аталады.
деп ойлап, мұндағы
(50) теңдеуінің жалпы интегралы, біз
бойынша коэффициентті нөлге айналдырамыз. Егер
тәуелсіз (50) теңдеуінің басқа жалпы интегралы болып табылса, онда
деп ойлап, біз
бойынша коэффициентті де нөлге айналдырамыз.
(50) теңдеуі екі теңдеуге бөлінеді:
Түбір астындағы берілу белгісі теңдеудің типін анықтайды
. (45)
Бұл теңдеуді біз
нүктесіндегі теңдеу деп атаймыз
гиперболалық тип, егер
нүктесінде
,
эллипстік тип, егер
нүктесінде
,
параболалық тип, егер
нүктесінде
.
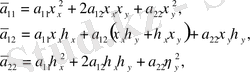
ІІ. Көп тәуелсіз айнымалысы бар 2-ретті теңдеудің классификациясы. Нақты коэффициенттері бар сызықты теңдеуді қарастырайық
, (53)
мұндағы
функциясы болып табылады. Жаңа тәуелсіз айнымалы
енгіземіз,
деп ойлаймыз.
Онда
мұндағы
.
Берілген теңдеудің туындыларына өрнекті қоя отырып, алатынымыз:
мұндағы
Квадраттық форманы қарастырайық
(54)
оның коэффициенттері берілген теңдеудің кейбір
нүктелеріндегі
коэффициенттеріне тең.
айнымалыларына сызықты түрлендіру жасай отырып
,
квадраттық форма үшін жаңа өрнек аламыз
,
мұндағы
.
Осылайша, теңдеудің негізгі бөлігінің коэффициенттері сәйкес сызықтық түрлендірудегі квадраттық форманың коэффициенттеріне өзгереді.
ІІІ. Тұрақты коэффициенттері бар сызықтық теңдеудің канондық формасы.
Екі тәуелсіз айнымалысы бар жағдайда тұрақты коэффициенттері бар 2-ретті сызықтық теңдеу келесі түрге ие болады
. (55)
Оған тұрақты коэффициентті характеристикалық теңдеу сәйкес келеді. Сол себепті характеристикалар түзу сызықты болады
,
.
Сәйкесінше айнымалыларды түрлендіру көмегімен (55) теңдеу қарапайым бір формаға келтіріледі:
(эллипстік тип), (56)
немесе (гиперболалық тип), (57)
(параболалық тип) . (58)
Келешекте жеңілдету үшін
орнына жаңа функция
енгіземіз:
,
мұндағы
және
- әлі анықталмаған тұрақтылар. Онда
(56) теңдеуінің туындыларына өрнеті қоя отырып және содан кейін
қысқарта отырып, алатынымыз:
.
және
параметрлерін, екі коэффициент, мысалы бірінші туындыларда, нөлге айналатындай
етіп таңдап аламыз. Нәтижесінде алатынымыз:
мұндағы
-
және
арқылы өрнектелетін тұрақты. (57) және (58) жағдайларына да сәйкес операцияларды жүргізе отырып, келесі тұрақты коэффициенттері бар канондық формаларға келтіреміз:
(эллипстік тип),
(гиперболалық тип),
(параболалық тип) .
1. 3 Эллипстік типті теңдеулер
І Гармониялық функциялар және оның қасиеттері
Эллипстік типті теңдеулердің ішіндегі ең қарапайымы Лаплас теңдеуі. Бұл теңдеу стационарлы құбылыстарды (уақытқа байланыссыз) зерттеуге қолданылады. Жазықтық үшін Лаплас теңдеуі :
(60)
Кеңістікте:
(61)
Жазықтықтағы U ( x , y ), кеңістіктегі U ( x , y , z ) функциялары үзіліссіз бірінші және екінші ретті дербес туындыларға ие болып, сәйкесінше (60) және (61) Лаплас теңдеулерін қанағаттандырса, онда бұл функцияларды гармониялық функциялар деп аталады Гармониялық функциялардың ең қарапайымы жазықтықтағы U = ax + by + c , кеңістіктегі U = ax + by + cz+d сызықтық функциялар болып табылады. (60) және (61) Лаплас теңдеуінің, әсіресе, полярлы, сфералы және цилиндрлік координаталармен берілген түрі өте жиі қолданылады.
Лемма: U=
функциясы, мұндағы r=PP 0 - қашықтық P 0 нүктесінен басқа
нүктелердің бәрі де гармониялық функция болады.
Дәлелдеуі:
Берілген функцияның бірінші және екінші ретті дербес туындыларын тауып,
Лаплас теңдеуіне қойып, функцияның гармониялық болатындығына көз
жеткізуге болады.
y
. P P( x , y )
P 0 ( x , - y )
x
0
.
P 0
U
=
функциясы Лаплас теңдеуінің фундаменталды шешімі деп аталады.
Қасиеттері:
1 0 . Орта мән туралы теорема.
Теорема :
функциясы центрі
нүктесі радиусы R болатын
кейбір D дөңгелегінде гармониялық функуция және D тұйық облыста
үзіліссіз болсын. Сонда U функциясының дөңгелек центрдегі мәні келесі
формула арқылы анықталады:
(60)
Орта мән туралы теоремада басқа түрде жазуға болады. Ол үшін (60) формуланы кез келген
радиусты (0≤
) дөңгелек үшін жазайық:
(61)
Алынған (61) - формуланың екі жағын да
-ге көбейтіп,
бойынша (0,
R
) аралықта интегралдайық:
немесе
,
D
- радиусы
R
-ге тең дөңгелек.
(62)
(62) формуланың оң жағы
гармониялық функцияның радиусы
R
болатын дөңгелектегі орта мән.
2. 0 Харнак теңсіздігі.
Центрі
нүктесі радиусы
R
болатын кез келген дөңгелекке
≥0 гармониялық функция оң және
D
тұйық облыста үзіліссіз болсын. Сонда 0≤
ρ
≤
R
теңсіздігін қанағаттандыратын
ρ
үшін келесі теңсіздік орындалады:
(63)
(63) - теңсіздігі Харнак теңсіздігі деп аталады. Харнак теңсіздігінен Лиувиль теоремасы шығады.
Теорема : Барлық жазықтықта гармониялық функция U тұрақты болмаса,
онда ол жоғарғыдан да, төменнен де шектелген бола алмайды.
Дәлелдеуі: Егер
функциясы жоғарыдан шектелген болса, онда
функциясы төменнен шектелген болады. Әрі гармониялық функция
болады. Сондықтан да функцияның төменнен шектелгендігін қарастырсақ, сол
жеткілікті
Шынында да
оң, әрі гармониялық. Сонымен барлық жазықтықта
гармониялық және оң функциялар әр уақытта тұрақты болады. (63) түрдегі
теңсіздікті пайдаланып, келесі теңсіздікті аламыз:
Жазықтықтағы гармониялық функция U үшін ρ тұрақтысын тағайындап және
үлкен R -ді шексіз үлкейтіп, келесі теңсіздікке келеміз:
3 0 . Максимум принципы.
Егер
функциясы шектелген
D
облысында гармониялық және
облысында үзіліссіз болса, онда келесі түрдегі теңсіздік орындалады:
(64)
ІІ Грин формулалары
Үлкен D үш өлшемді кеңістігіндегі бағыты анықталған S бетімен шектелген ақырлы облыс болсын. Сонымен қатар
функциялары D облысының ішінде үзіліссіз және шектелген. Сонымен қатар бірінші ретті дербес туындылары бар болсын. Сонда математикалық анализ курсынан белгілі Остроградский формуласы орындалады
(65)
мұндағы n - S бетіне бағыттылған сыртқы нормаль.
функциялары және олардың бірінші ретті дербес туындалары D облысынан S бетіне дейін үзіліссіз болсын. Ал екінші ретті дербес туындылары D облысының ішінде үзіліссіз және шектелген болсын.
деп алып, (65) түрдегі Остроградский формуласын пайдаланып, келесі формулаға келеміз:
(66)
алынған (66) формуланы Гриннің бірінші формуласы деп аталады.
(66) формулада U және V функцияларының орындарын ауыстырып келесі формулаға келеміз:
(67)
(66) -(67) :
(68)
(68) формуланы Гриннің екінші формуласы деп аталады.
ІІІ Лаплас теңдеуі үшін негізгі есептердің қойылымы
(69)
(70)
функциясы үшін
=0 орындалады.
Бұл теңдеу бізге белгілі Лаплас теңдеуі немесе
Δ U =0 (71)
деп жазуға болады. Бұл теңдеу уақытқа байланыссыз құбылыстардың күйін зерттейді.
Егер (71) теңдеуі
(72)
шартын қанағаттандырса, онда мұндай түрде берілген есепті Лаплас теңдеуі үшін қойылған Дирихле есебі деп аталады.
Ал егер (71) теңдеуі
(72′)
шартын қанағаттандырса, онда мұндай түрдегі есепті Лаплас теңдеуі үшін қойылған Нейман есебі деп аталады.
Егер (71) теңдеуі
(72′′)
шартын қанағаттандырса, онда мұндай түрдегі есепті Лаплас теңдеуі үшін қойылған үшінші шектік есеп деп аталады.
(72′′) шарттағы h және k тұрақтылары сәйкесінше жылу өткізгіштің ішкі және сыртқы коэффициенттері болып табылады.
ІҮ Дирихле есебі және оның шешімі
D облысында (71) теңдеуінің (72) түрдегі шартын қанағаттандыратын шешімін табу.
Теорема: (Дирихле есебі шешімінің жалғыздығы туралы) Лаплас теңдеуі
үшін қойылған Дирихле есебінің шешімі шектелген облыста жалғыз (егер ол бар болса) .
Дәлелдеуі: Кері жоримыз: Дирихле есебінің шешімі
![]()
функциялары болсын. Онда
функциясы да шектелген D
облысында үзіліссіз және гармониялық функция болып осы облысының
шекарасында нөлге айналады. Ендеше, максимум принципі бойынша келесі
теңдсіздікке келеміз:
шығады.
Теорема: (Дирихле есебі шешімінің шекаралық шарттан үзіліссіз тәуелділігі)
U 1 және U 2 функциялары D облыста гармониялық болсын. Бұл функциялардың
облыс шекарасындағы мәні сәйкесінше f 1 (Q) және f 2 (Q) болсын:
Егер
теңсіздігі кейбір
үшін орындалса, онда қарастырылып
отырған D облысының барлық жерінде
орындалады.
- Іс жүргізу
- Автоматтандыру, Техника
- Алғашқы әскери дайындық
- Астрономия
- Ауыл шаруашылығы
- Банк ісі
- Бизнесті бағалау
- Биология
- Бухгалтерлік іс
- Валеология
- Ветеринария
- География
- Геология, Геофизика, Геодезия
- Дін
- Ет, сүт, шарап өнімдері
- Жалпы тарих
- Жер кадастрі, Жылжымайтын мүлік
- Журналистика
- Информатика
- Кеден ісі
- Маркетинг
- Математика, Геометрия
- Медицина
- Мемлекеттік басқару
- Менеджмент
- Мұнай, Газ
- Мұрағат ісі
- Мәдениеттану
- ОБЖ (Основы безопасности жизнедеятельности)
- Педагогика
- Полиграфия
- Психология
- Салық
- Саясаттану
- Сақтандыру
- Сертификаттау, стандарттау
- Социология, Демография
- Спорт
- Статистика
- Тілтану, Филология
- Тарихи тұлғалар
- Тау-кен ісі
- Транспорт
- Туризм
- Физика
- Философия
- Халықаралық қатынастар
- Химия
- Экология, Қоршаған ортаны қорғау
- Экономика
- Экономикалық география
- Электротехника
- Қазақстан тарихы
- Қаржы
- Құрылыс
- Құқық, Криминалистика
- Әдебиет
- Өнер, музыка
- Өнеркәсіп, Өндіріс
Қазақ тілінде жазылған рефераттар, курстық жұмыстар, дипломдық жұмыстар бойынша біздің қор #1 болып табылады.

Ақпарат
Қосымша
Email: info@stud.kz