Тригонометриялық теңдеулер


Мазмұны.
Кіріспе . . . 3
1 Тригонометриялық теңдеулер
1. 1 Тригонометрия дамуының тарихи мәліметтері . . . 4
1. 2 Анықтамалар. Жалпы түрдегі формулалар . . . 6
1. 3 Қарапайым түрдегі теңдеулер . . . 9
1. 4 Қарапайым теңдеулер түрінің дербес жағдайлары . . . 11
1. 5 Бөлшек түріндегі теңдеулер . . . 16
1. 6 Біртекті теңдеулер . . . 16
1. 7 Иррационал теңдеулер . . . 20
1. 8 Көрсеткіштік және логарифмдік теңдеулер . . . 21
1. 9 Тригонометриялық функцияларға кері айнымалы теңдеулер . . . 22
2 Тригонометриялық теңдеулерді шешу жолдары
2. 1. Қарапайым тригонометриялық теңдеулерді шешу мысалдары . . . 25
2. 2
түріне келтірілетін теңдеулер . . . 29
2. 3 Біртекті теңдеулерге есептер . . . 32
2. 4 Тригонометрияның әртүрлі формулаларымен шешілетін
теңдеулер . . . 34
2. 5
түріндегі теңдеу . . . 39
2. 6 Иррационал теңдеулер . . . 40
2. 7 Кері тригонометриялық функцияларадан құралған теңдеулер . . . 42
Қорытынды . . . 46
Пайдаланылған әдебиеттер тізімі . . . 47
Кіріспе
Дипломдық жұмыстың өзектілігі: Біздің еліміздегі соңғы жылдардағы өзгерістер әлеуметтік қоғамға білім беру жүйесінің қызметіне жаңа міндеттер қойды. Жаңа жағдайда бірінші орынға оқушының жеке мүддесі қойылады, оның өзін-өзі тануына, өзін іске асыруға, өзіндік шешім қабылдауға бағытталады. Орта мектепке тригонометриялық теңдеулер туралы оқушылармен 10 сыныпта қарастырылады. 9-сыныпта оқушылар тригонометриялық түрлендірулер жасайды, тригонометрияның әр түрлі формулаларын (екі еселі аргумент, келтіру формулалары т. б. ) қолданып шығарады. 10-сыныпта толығымен тригонометриялық теңдеулерді түрлендіріп, ықшамды түрге келтіріп шығарады. 10-сыныпта ғана барлық сұрақтарға жүйелі түрде қарауға болады. Сонымен қатар мектеп курсындағы «Тригонометриялық теңдеулерді шешу» тақырыбын игеруде үлкен қиындықтар берілген тақырыпты игеруге бөлінген сағат санының аздығы мен үлкен көлемдегі мазмұнының арасындағы сәйкес келмеушіліктен туады. Бұл - зерттеу жұмысының проблемасы.
Мектеп курсында «Тригонометриялық теңдеулерді шешу» тақырыбын игеру берілген тақырыптарды игеруге бөлінген аз сағатқа бұл тақырыптың мазмұнының ауқымдылығы сәйкес келмегендіктен үлкен қиындықтар тудырады.
Тригонометриялық теңдеулерді шешудің көптеген әдістері бар.
Зерттеу объектісі жоғары сыныптардағы тригонометрияны игеру процесі болып табылады.
Зерттеу пәні - алгебра және анализ бастамалары курсында тригонометриялық теңдеулерді игеру.
Дипломдық жұмыстың мақсаты алгебра және анализ бастамалары курсында тригонометриялық теңдеулерді игеру болып табылады. Зерттеудің мақсаты, объектісі және пәніне сәйкес келесі міндеттер анықталған:
- тригонометрия тарихын игеру;
- мектеп курсындағы тригонометриялық функцияларды игерудің жалпы сұрақтарын қарастыру;
- «тригонометриялық теңдеулер» түсінігін қарастыру;
- тригонометрияның негізгі анықтамаларын және формулаларын қолдану;
- тригонометриялық теңдеулерді шешуді түсіну;
- тригонометриялық теңдеулерді шешу бойынша тәсілдерді қарастыру.
10-сыныпта оқушылар «Тригонометриялық теңдеулер» тақырыбына көшу үшін, алгебра курсынан төмендегіні өте жақсы білу керек:
- тепе-теңдік және теңдеулер арасындағы айырмашылықты;
- теңдеулерді шешу кезінде негізделетін теоремалар,
- бір айнымалысы бар 1-ші дәрежелі теңдеулер, бүтін және бөлшек мүшелері бар теңдеулер, квадраттық теңдеулер; биквадраттық теңдеулер; біртекті теңдеулер; 1-2 дәрежелі теңдеулерге түрлендіру арқылы келтірілетін жоғары дәрежелі теңдеулер; иррационал теңдеулер, логарифмдік және көрсеткіштік теңдеулер; екі немесе үш айнымалысы бар, оның ішінде әріптік коэффициенттері бар 1-ші және 2-ші дәрежелі теңдеулер жүйелерін шешу және әрбір шешімдерін зерттеу.
Дербес жағдайда, тригонометриялық теңдеулерді қатесіз шығару үшін оқушылар алгебра курсынан теңдеулердің бір жағында тригонометриялық теңдеулердің көбейтіндісі, ал екінші жағдайда 0-ге тең бөлшектерді;
Тригонометрия курсына тригонометриялық формулаларды білу керек және оларды есептер шығаруда қолдана алу, ал дәлірек айтсақ:
- келтіру формулалары;
- бұрыштар берілген тригонометриялық функциялар арасында негізгі тәуелділіктер;
- бұрыштардың қосындысын, айырмасы берілген тригонометриялық функциялар;
- бірдей тригонометриялық функциялардың қосындысы мен айырмасы;
- қосымша бұрыш енгізу;
- кері функциялар анықтамалары және олардың қасиеттері.
Тригонометриялық теңдеулер туралы сұрақ жоғарыда айтылған алгебралық теңдеулер теориясына негізделеді. Және бұл тригонометриялық функциялардың ерекшеліктеріне сәйкес түрлері өзгереді, толықтырылады және кеңейтіледі.
1 Тригонометриялық теңдеулер
1. 1 Тригонометрия дамуының тарихи мәліметтері
Тригонометрия сөзі екі гректің сөзінен құралған: «тригонон»- үшбұрыш және «метрео»- өлшеймін. Тригонометрияның негізгі мақсаты үшбұрыштың белгісіз параметрлерін берілген мән бойынша басқа параметрлері арқылы табу. Мысалы, үшбұрыштың берілген қабырғасы бойынша оның бұрыштарын анықтауға болады, белгілі аудан және екі бұрышы арқылы оның қабырғасын анықтауға болады және т. б. . Ертеде тригонометрия астрономия және құрылыс жұмыстарына қажеттіліктер туды, яғни оның нақты геометриялық мағынасы болды және негізінде «хорданы есептеу» керек болды. Уақыт өте келе тригонометрияға қандай да бір аналитикалық мағынасы тіркеле бастады.
Б. э. д. бірнеше ғасыр бұрын берілген үшбұрыштың белгісіз параметрлерін табудың бірінші әдістерін Ежелгі Грек оқымыстыларымен дамыған. Грек астрономдары синус, косинус, тангенстерді білмеген. Бұл шамалардың орнына олар дөңгелек доғасын тартып тұратын хорданы табатын кестені қолданған. Доғалар градуспен және минутпен өлшенген.
Барлық Ежелгі цивилизация тригонометриялық білімнің толығуына өздерінің үлестерін қосқан. Ежелгі Вавилонның саз балшықтан жасалған кестесінде (оның жасы б. э. д. 2 мың жыл болып саналады), тригонометриялық есептер шешілген.
Тригонометрия дамуына ортағасырлық үнді және араб оқмыстылары аса үлкен үлес қосқан. X ғасырда бағдат оқымыстысы Абу-әл-Вефа синус және косинус ұғымына тангенс, котангенс, секанс, косеканс ұғымдарын қосты. Абу-әл-Вефа олардың арасындағы негізгі қатынастарды да көрсеткен. Танымал араб оқымыстысы Насыр-әд-Дин еңбектерінің арқасында тригонометрия өзіндік ғылыми пән болып құралды. Насыр-әд-Дин жазық және сфералық үшбұрыштардың шешімдерінің барлық жағдайларын қарастырған. XII ғасырда араб тілінен латын тіліне бірнеше қатар астрономиялық жұмыстарды аударған, бұл еңбектер арқылы европалықтар тригонометриямен танысты.
XV ғасырда неміс ғалымы Региомонтан (1436-1476) Насыр-әд-Дин теоремасын қайтадан құрастырды. Региомонтан 7 орынды цифрға дейінгі дәлдікпен синустардың кестесін құрастырды.
XVIII ғасырдың бірінші жартысында аса үлкен өзгерістер болып, тригонометрия жаңа бағыт тауып, математика талдау саласына бағытталды. Дәл осы уақытта тригонометриялық тәуелділікті функция ретінде қарастыра бастады. Бұл математикаға тарихи қызығушылық тудыра қоймай, әдістемелік-педагогикалық қызығушылық тудырды. XVIII ғасыр ортасында орыс академигі Леонард Эйлер (1707-1783) тригонометрияны жаңартылған түрге әкелді. Ол тригонометриялық функция туралы ғылым ретінде құрастырды. sinx, cosх, tgx, ctgх жазуларын енгізді. АВС үшбұрышының ВС, АС, АВ қабырғаларына сәйкес а, в, с қабырғалары деп белгіледі. Эйлер х аргументіне сәйкес бұрышқа радиандық өлшемі тригонометриялық функцияны қарастырды, бұл аргумент әртүрлі: оң, теріс және де комплекс сандар беріп көрсеткен. Эйлер кері тригонометриялық функцияларды да енгізді.
Қазіргі уақытта тригонометриялық функцияларды зерттеу сандық аргументтің функциясы ретінде мектептегі алгебра және анализ бастамаларында үлкен көңіл бөледі. Мектеп курсында бұл тақырыпты үйретудің бірнеше тәсілдері бар және қай тәсілдің тиімді екендігінде қателесуі мүмкін. Тригонометриялық функциялар барлық функцияларды зерттеуге көрнекілік құрал және басқаларына қарағанда тиімді болып келеді (туындыны қолданбас бұрын), ал көптеген табиғи процесс болып саналатын периодтылық қасиетін ескере кетсек. Сондықтан тригонометриялық функциялар тақырыбын игеруге аса үлкен көңіл қою қажет. Жоғарыда айтылғанды берілген зерттеу жұмысының тақырыбын таңдаудағы өзектілігін көрсетеді.
1. 2 Анықтамалар. Жалпы түрдегі формулалар
Тригонометрияда бұрыш айналу өлшемі ретінде қарастырылады, бір сәуле бұрыш төбесі бойымен айналып екінші сәуленің орнына барады. Бірінші сәуле бастапқы бұрыштың қабырғасы, ал екінші сәуленің (қозғалатын) орны бұрыштың екінші қабырғасы болады. Егер сәуленің орын алмасуы бастапқы қабырғадан соңғы қабырғаға дейін сағат тіліне қарама-қарсы болса, онда бұрыш оң болады. Егер сәуленің орын алмасуы бастапқы қабырғадан соңғы қабырғаға дейін сағат тілімен бірдей қозғалса, онда бұрыш теріс болады (сурет 1. 1) . Бірлік дөңгелек деп центрі координата басында болатын радиусы бойынша 1-ге тең дөңгелекті айтамыз. Бұл дөңгелек шеңбері бірлік шеңбер деп аталады. Координата остері бірлік шеңберді бірдей 4 бөлікке бөледі, олар бірлік шеңбердің ширектері немесе квадранттар деп аталады.
1. 1-сурет
Тригонометрияда үш түрлі қатынасты көрсетеді:
- жазық үшбұрыш элементтері арасындағы (жазықтықтағы тригонометрия) ;
- сфералық үшбұры элементтері арасындағы, яғни оның центрі арқылы өтетін сферадағы үш жазықтықты қиып өтетін фигура;
- тригонометриялық фунциялар арасындағы.
Тригонометриялық функцияның құрамында айнымалы болатын болса, онда теңдеуді тригонометриялық теңдеу деп атайды.
Тригонометриялық теңдеулер бұрыштық айнымалы ретінде алынады. Ол тригонометриялық функцияның аргументі де бола алады,
теңдеудегідей немесе аргумент құрамында да бола алады,
немесе
немесе т. б.
Ескерту: 1)
теңдеуіндегі х айнымаласы тригонометриялық теңдеу емес, бұл алгебралық теңдеу, оның шешімі
(осыған ұқсас
теңдеуі: иррационал емес, бірақ коэффициенттері иррационал және т. б. )
2)
өрнегі немесе
тригометриялық тепе-теңдік болады.
«Тригонометриялық теңдеулерді шешу» түсінігі, «Тригонометриялық теңдеу түбірін табу» алгебралық теңдеулер теориясындағы ұқсас түсініктен ешқандай айырмашылығы жоқ. Бірақ тригонометриялық теңдеулерде айнымалы ретінде бұрыш (доға), және теңдеуді шешкенде алдымен тригонометриялық функцияның аргументін анықтау керек. Тригонометриялық функцияның әрбір мәніне шексіз бұрыш жиыны сәйкес келгендіктен, тригонометриялық теңдеулердің шексіз көп шешімі болады. (алгебралық теңдеуден ерекшелігі) . Егер де қандайда бір қосымша шарттар берілген жағдайда берілген есептің тригонометриялық теңдеуінің шешімі шектеледі. (мысалы, сүйір бұрышын ғана табу керек; бір үшбұрышта тек қана бұрыштарын табу керек және т. б. ) .
Сонымен қатар, тригонометриялық теңдеулердің ішінде сәйкес келетін бұрыштың болмайтын жағдайы де болады.
Мысалы,
, мұндағы
және т. б.
Тригонометриялық теңдеулер алгебралық теңдеулерге қарағанда нақты сандар облысында түбірі болмайды. (бұл дипломдық жұмыста тек қана нақты түбірлері болады) немесе тригонометриялық функциянын периодтылығына байланысты шексіз шешімі болады.
Тригонометриялық теңдеулерді шешу процесі, алгебралық теңдеулерді шешу процесіне ұқсас, берілген теңдеуді оған тепе-тең тізбекті алмастыру арқылы қарапайым түрге әкеледі.
Алдымен тригонометриялық теңдеулерді шешуге дейін барлық тригонометриялық функциялардың негізгі қасиеттерін оқушылармен қайталау керек, яғни функцияның қандайда бір қасиеті аргументтің қандай да бір анықталған шамаға өзгеруінен таңбаға да, шамаға да өзгермейді. Сондықтан тригонометрияылқ функциялардың периоды деп аталатын шаманың ең кіші абсолют мәнін аргументке қосқаннан функция өзгеріске ұшыраса функция периодты деп айтамыз. Тангенс және котангенс функциялардың периоды
болады, ал қалған төрт функция үшін периодтары
болады.
,
Мұндағы к- нөл және еркін алынған оң бүтін және теріс бүтін сан.
Бұрыштардың (доғаның) жалпы формулаларын қайталап шығу керек.
1)
-тың бірдей мәндерінің барлық бұрыштары
және
немесе екі формуланы біріктіріп:
жазуға болады.
Түсініктеме: Бірінші дөңгелекте әрқашан бұрыш (доға) табылады, оны
деп белгілейік (гректің
әрпімен жиі белгілейді), егер бұл санның абсолют мәні 1-ден аспайтын болса, онда бұл санды синусы деп айтады. Бірінші дөңгелекте тағы да
синустың мәніне тең бір бұрыш бар.
арқылы (абсолют мәні бойынша) синустың бірдей мәніне ие екі бұрыштың кішісін белгілейік. Барлық басқа бұрыштар (доғалар) функцияның периодтылығына байланысты табылады:
;
.
өрнегі екі формуланы да қамтиды;
m
- жұп болғанда бір формула,
m
- тақ болғанда екінші формуланы береді.
Ескерту: Бұл формулалардың бірігуі (берілген жағдайда екеуінің) өте қолайлы; оны мүмкін болатын жағдайлардың барлығына қолдану керек.
2) Косинустың барлық мәндерінің бұрыштары келесі формуламен жазуға болады:
.
Түсініктеме: бірінші дөңгелекте әрқашан бұрыш (доға) табылады, оны
деп белгілейік (кішісін алайық) санның абсолют мәні 1-ден аспаса косинустың бұл мәні бірінші дөңгелекте (-х) бұрыш болады. Қалған шешімдері функцияның периодтылығына байланысты
,
.
Жалпы формула:
түрінде жазылады.
3) Тангестің жалпы формуласы
, мұндағы
m
-кез-келген бүтін сан.
Жоғарыда айтылғандарға ұқсас: бірінші дөңгелек
және
бұрыштары бар, бұл бұрыштар тангенстің бірдей мәндеріне ие (ешқандай шектеусіз) .
4) Ұқсас түрде тұжырымдап, котангестің бірдей барлық мәндерінің барлық бұрыштары келесі формуламен тұжырымдалады:
.
5) Секанстың қандай да бір мәнін қанағаттандыратын барлық бұрыштар (+1 мен -1 арасындағы мәндерді алып тастағанда) :
.
1. 3 Қарапайым түрдегі теңдеулер
Тригонометриялық теңдеулерді шешу, қарапайым тригонометриялық теңдеулерді шешуге әкеледі, олардың шешімдері формула түрінде жазылады (шексіз шешімді көп қамтиды) . Есептің шарты бойынша жалғыз сандық жауабын жазуға болатындықтан оқушылар теңдеудің жалпы түрдегі шешімін жазуға ұмытып кетеді, бұл дұрыс емес. Тригонометриялық теңдеулердің шешімін толығымен жазу керек, оның шешімінің барлық жиының көрсету керек және осыдан кейін жалғыз сандық жауабын таңдап алу керек. Қарапайым тригонометриялық теңдеулердің шешімінің негізгі формуласын көрсетейік.
қарапайым түрдегі теңдеулерді шешуде кез-келген тригонометриялық теңдеуді шешу келтіріледі: сондықтан оқушыларға теңдеулерді шешу үшін қарапайым түрде есеп шығаруды үйрену керек. Тригонометриялық теңдеулерді қатесіз және тез шығару керек.
Кез-келген қарапайым тригонометриялық теңдеулерді шешуде оқушыларға тригонометриялық теңдеулердің шексіз шешу жолдары болатынын білу керек.
1)
теңдеуінде. Егер
, - шешімі жоқ, егер
, сансыз көп шешімі бар.
мұндағы
бірінші ширекте доға бар, аты сандық мағынада (х)
Егер
. . .
Ескерту: Біз келесі ережелерді ескергенді қажетті деп санаймыз: 1) оқушыларды тригонометриялық өлшемдердің градустарын минуттарда өлшем үшін кестелер қолдану, оны радиан түріне және жауабын барлық 3 түрге беру. Оқушылардың әрдайым қателігі болып:
, бір түрде қолданылытын және радиан мен градус мағынасындағы бұрыштар. 2) кейбір қалыпты бұрыштардың мағынасын табу,
m
коэффицентіне әртүрлі мағына беру, біз оларды келтіре алмайтын болсақ та, ол орындалады. Бұл дербес жағдайлардың қажеттілігі төменде белгіленеді.
б)
немесе
немесе
Немесе
немесе
Дербес жағдай:
а)
Equation. 3
Equation. 3
Equation. 3
Equation. 3
Equation. 3
Equation. 3
Equation. 3,
мұндағы
.
Теңдеу
болғанда, және
Equation. 3 болғанда
а)
б)
Дербес жағдайда:
в)
Дербес жағдайда
Теңдеу
Ескерту: 1) Қарапайым теңдеулерді шешу
жаңа қиындықтар туғызбайды.
2)
жағдайларын көбірек дайындалған оқушыларға жіберуге болады.
1. 4 Қарапайым теңдеулер түрінің дербес жағдайлары
I.
-кез- келген,
>1
болғанда;
болғанда (1. 4. 1)
Дербес жағдай:
- ,,
ІІ.
;
- кез-келген, а>1
болғанда;
болғанда (1. 4. 2)
Дербес жағдай:
ІІІ.
,
- кез-келген
(1. 4. 3)
Дербес жағдай:
,
ІV.
,
-кез-келген
(1. 4. 4)
Дербес жағдай:
(1. 4. 1) -(1. 4. 4) теңдеуінің шешімі кері тригонометриялық функциялар мәні арқылы өрнектелген. Бұл функцияның кейбір қасиетін еске түсірейік.
,
<
<
,
- кез-келген
0<
<
,
- кез-келген
функциялары тақ болады;
жұп та, тақ та функциялар емес.
Тригонометриялық теңдеулердің шешімін табу үшін жалғыз әдіспен шығаруға болмайды, әрбір нақты жағдайларда әр түрлі шығарамыз, ол үшін тригонометриялық формулаларды білу керек және есеп шешудегі біліктілік қажет.
Келесі жағдайларды есте сақтау қажет
1. Тригонометриялық теңдеулерді шешу кезінде айнымалы шамаға қысқартуға болмайды, бұл теңдеулердің түбірлерін жойылуына әкеледі. Әрбір көбейткішті нөлге теңестіріп зерттеу керек.
2. Тригонометриялық теңдеулерді шешу кезінде мүмкін мәндер облысын ескеру қажет (М. М. О. ) .
3. Теңдеудің екі жағын да жұп дәрежеге шығарғанда бөгде түбірлер пайда болады. Алынған шешімнің ішінен таңдау қажет бірақ бұл оқушыларға қиын соғады. Соңдықтан мүмкіндігіңізше бұл опирацияны жиі қолданбау қажет.
4. Түбірлердің жойылуы
- универсалды тригонометриялық алмастыруды қойғанда шығады. Онда
функциясы
яғни
Бірақ
бұл нүктелері анықтаған. Соңдықтан
түбірін әрқашан теңдеуге қойып тексеру керек.
Тригонометриялық функцияның бұрышы 0-ге тең болғанда:
1)
2)
3)
4)
5)
- шешімі жоқ.
6)
- шешімі жоқ.
Көп жағдайларда 1) және 2)
формуласымен жазылады, 3) және 4)
формуласымен жазылады.
Соңғы формулаларында
тақ болып келеді.
Тригонометриялық функцияның теңдік жағдайы:
1) егер екі бұрыштың синусы бірдей (немесе косеканс) , олар бірінен-бірі периодтарының жұптылық тақтылығы санынан ерекшелінеді.
Шын мәнінде
, х-тің барлық бұрыштары
формуласымен табылады
бір шешімінің теңдігі табылады:
жұп болғанда
.
тақ болғанда
;
2) егер екі бұрыш бірдей косинусқа ие болса, барлық сандық мағынада жұп сан периодына ие.
.
алдыңғыдай санағанда алатынымыз:
немесе
Есепті шығарудың соңғы кезеңі қарапайым теңдеулерді шешу болып табылады. Белгісіздік бұрышының аргументке бағынышты болуы олардың біразын жалпы түрде қарастырайық.
Теңдеу
аргументін анықтаймыз
Шешімі:
Ескерту:
Оқушылардың қатесі болып саналады:
1) Көбінесе өздеріне таныс гониометрия формуларын қолдануға тырысады.
2) Ерекше жағдайдағы аргументтің мағынасын жазбай, алдымен аргумент ішіне кіретін х-тің сандық мағынасын табып, кейін периодын қосады.
Сандық коэффициенті бар бірдей функциядан тұратын бірінші дәрежелі көпмүшелі теңдеу, аргумент ішіне белгісіз енеді.
Бұл теңдеулер қарапайымдарға жатқызылады.
Мысал 1:
1 шығару жолы:
бұл жерден біз кейбір белгісіз мағыналарды табамыз
және т. б.
ІІ шығару жолы:
Бұл жағдайда нөлге теңестіріледі, екі көбейткіште кез-келген аргумент мағынасында белгілі.
Алатынымыз:
және т. б.
Тригонометриялық теңдеулерді шешу 3 кезеңнен тұрады:
- теңдеуді бір аргументі бар функцияға айналдыру;
- бұл функцияны белгісіз деп есептеп, алгебралық теңдеу қатынасында шешу;
- алгебралық теңдеудің түбірлерін тауып, олардың тригонометриялық теңдеуге қатынасын тауып, оларды жалпы жағдайда жазу.
Мысал 2: Теңдеуі
,
теңдеуімен алмастырылады.
байланысты квадраттық теңдеу аламыз.
Шешімі жоқ.
Ескерту:
1. Теңдеуді шығарарда мүшені бір бөліктен екінші бөлікке ауыстырғанда ұқсас мүшелер бір-бірмен бірігеді, осы теңдеуге сәйкес басқа теңдеу құрастырылады.
2. Екі теңдеуді қысқарту жолымен, теңдеулердің шешімінде жиі әдістер пайдаланады. Алгебраның курсынан белгілі, теңдеуге тепе-тең теңдеу шығу мүмкін. Сондықтан мүшелердің бәрі теңдеудің бір жағына орналасуын ескеріп қабылдау керек, ал басқа бөлікте 0; сонда ортақ көбейткіштері, теңдеудің барлық мүшелеріне қысқартуға болады.
Мысал 3.
Шешуі:
Ереже:
-ке екі теңдеудің бір бөлігі қысқартылып, түбірлер бірінші топтарын жоғалтады.
1. 5 Бөлшек түріндегі теңдеулер
Тригонометриялық функцияның белгісіз аргументы бір немесе бірнеше мүшенің бөліміне еніп (бірнеше бөлшектердің), жалпы түріне келтірілетін теңдеу, мүшелерді теңдеудің бір жағына орналастырып,
=0 түріне келтіріледі. А мен В тригонометриялық функция (бөлшексіз мүшелерсіз) болады. Кейбір теңдеулер осындай түрде беріледі.
Осы жағдайда бөлімнен құтылу, алгебра курсынан алғанда тиімсіз, өйткені теңдеуді алу берілгенге тепе-тең емес.
Мысал 1. Теңдеуді шығарайық:
=
.
Шешуі:
=0. Өйткені, бөлімі белгілі бір ұғымды білдіреді және нөлге тең емес, онда берілген теңдеу 4cosх-2=0 теңдеуіне тепе-тең, х=2
.
Ескерту:
- тің бөліндісін
көбейткішіне ауыстырып, және теңдеудің шешімі қарастырылып жүрген жағдайда теңдеудің шешіміне ұқсас болуы мумкін, сол жағында туындысының түрі бар, ал оң жағында нөл (бөлімі шексіз болғанда ғана қолданылады) .
1. 6 Біртекті теңдеулер
Бірінші ретті біртекті тригонометриялық теңдеудің жалпы жазылуы:
(1. 6. 1)
Мұндай теңдеулер әр түрлі тәсілдермен шешіледі. Көбірек қолданылатын екі түрін қарастырамыз:
а) Бірінші тәсіл универсалды тригонометриялық алмастыруды қолдануда негізделген:
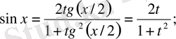
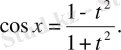
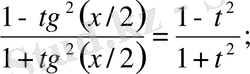
Функцияның универсалды алмастыруын қолдануда
-ті
арқылы түсіндіреміз, келесі формулалар бойынша:
функциясы
үшін қолданылмайды, яғни
Бірақ
және
бұл нүктелерде анықталған. Соңдықтан әр кезде түбірлерді
шешімге бөлек тексеру қажет.
б) Қосымша бұрышты қолдану әдісі.
Барлық жағдайда, (6) теңдеуді түрлендіру үшін көмекші бұрышты енгізудің қарапайым түріне, екі бөлікті
бөлеміз, мына теңдеуді аламыз:
(1. 6. 2)
-осы бір жүйенің шешімі болсын.
(1. 6. 3)
бұрышы (1. 6. 3) -ден анықталады.
Алынған теңдеу, яғни
болғанда ғана белгісіздін де шешімі болады.
(1. 6. 1) түрін түрлендіру үшін синустын түрлілігінің формуласын қолдануға болады, косинустың қосындысы және аргументтердің айырмасы.
Мысал 1. Теңдеуді шешіңіз:
Шешімі: Берілген мысалды екі амалмен орындаймыз.
а) тригонометриялық универсалды алмастыруды қолдану арқылы
теңдеуін аламыз,
t
қатысты рационалды
Енді
мәні алдындағы түбірлердің түбірі болатындығын тексереміз. (Ескертеміз,
функциясы бұл мәндер болғанда мағынасын жоғалтады) .
қою арқылы берілген тендеуді аламыз.
Осыдан,
мәні теңдеудің түбірі болып келеді.
Жауабы:
.
б)
Біздің жағдайда
табамыз.
Барлық теңдеуді 2-ге бөлеміз.
және
деп алсақ, онда теңдеу мына түрде болады
мұнда
бұрышы мына жүйеде орналасқан
Осыдан,
Онда нақты жауап
Жауабы:
а) және б) алынған бұл теңдеудің көп шешімі бар.
Жоғары ретті біртекті тригонометриялық теңдеулер жалпы жазылуы келесі
(
1. 6. 4)
түрдегі теңдеу.
мұндағы
- нақты сандар және әрбір n-ға тең қосылғыштағы
дәрежелерінің қосындысың
қатысты біртекті деп айтамыз.
- Іс жүргізу
- Автоматтандыру, Техника
- Алғашқы әскери дайындық
- Астрономия
- Ауыл шаруашылығы
- Банк ісі
- Бизнесті бағалау
- Биология
- Бухгалтерлік іс
- Валеология
- Ветеринария
- География
- Геология, Геофизика, Геодезия
- Дін
- Ет, сүт, шарап өнімдері
- Жалпы тарих
- Жер кадастрі, Жылжымайтын мүлік
- Журналистика
- Информатика
- Кеден ісі
- Маркетинг
- Математика, Геометрия
- Медицина
- Мемлекеттік басқару
- Менеджмент
- Мұнай, Газ
- Мұрағат ісі
- Мәдениеттану
- ОБЖ (Основы безопасности жизнедеятельности)
- Педагогика
- Полиграфия
- Психология
- Салық
- Саясаттану
- Сақтандыру
- Сертификаттау, стандарттау
- Социология, Демография
- Спорт
- Статистика
- Тілтану, Филология
- Тарихи тұлғалар
- Тау-кен ісі
- Транспорт
- Туризм
- Физика
- Философия
- Халықаралық қатынастар
- Химия
- Экология, Қоршаған ортаны қорғау
- Экономика
- Экономикалық география
- Электротехника
- Қазақстан тарихы
- Қаржы
- Құрылыс
- Құқық, Криминалистика
- Әдебиет
- Өнер, музыка
- Өнеркәсіп, Өндіріс
Қазақ тілінде жазылған рефераттар, курстық жұмыстар, дипломдық жұмыстар бойынша біздің қор #1 болып табылады.

Ақпарат
Қосымша
Email: info@stud.kz