Гиперболалық теңдеулерге арналған айырымдық схемалар


Мазмұны
- Кіріспе. . . 3
- Негізгі бөлім
§1. Гиперболалық теңдеулерге арналған айырымдық схемалар . . . 4
1. 1. Коши есебін шешу . . . 5
1. 2. Аралас есепті шешу . . . 11
1. 3. Айқын үшқабатты айырымдық схеманың орнықтылығы . . . 13 §2. Толқындық теңдеуіне қойылған аралас шекаралық теңдеуді шешу жолдары . . . 19
2. 1. «Крест» схемасы . . . 19
2. 2. Айқындалмаған схема . . . 21
2. 3. Екіқабатты акустикалық схема . . . . . 24
2. 4. Инварианттар . . . 29
§3. Көпөлшемді гиперболалық теңдеулерді шешу әдістері . . . 30
3. 1. Айқындалмаған схема . . . 30
3. 2. Айқындалмаған схемалар . . . 32
Сұрақтар мен жаттығулар . . . 36
Лабораториялық жұмыстар . . . 36
§4. Бір өлшемді газ динамикасының теңдеуі . . . 37
4. 1. Жазудың Лагранждық формасы . . . 37
4. 2. Псевдотұтқырлық . . . 40
4. 3. Крест схемасы . . . 43
4. 4. Айқындалмаған консервативтік схема . . . 47
Есептер . . . 52
§5. Тербеліс теңдеуін эволюциялық есепке келтіру . . . 54
Қарапайым гиперболалық есептердің аппроксимациясы . . . 60
Есептер . . . 66
Лабороториялық жұмыстар . . . 71
- Қорытынды бөлім
- Қолданылған әдебиеттер. . . 75
Кіріспе
Бұл дипломдық жұмыста гиперболалық типтегі теңдеулерді шешудің әдістері қарастырылады. Математикалық физиканың көптеген есептері гиперболалық типтегі теңдеумен байланысты. Оларды шешудің сандық әдістері Куранттың, Фридрихсаның, Левидің фундаментальдық зерттеулерінен бастау алады. Кейіннен кең көлемді зерттеу комплексін совет және шетел авторлары жүргізді. Қазіргі уақытта көп өлшемді облыс жағдайындағы, тербелістер теориясының, серпімділік теориясының және т. б. есептерде қолданылатын гиперболалық типтегі теңдеулерді шешудің тиімді алгоритмдері бар. Бұл әдістер арнайы даралау алгоритмдеріне негізделген және де біз гиперболалық түрдегі сызықтық дифференциалдық теңдеулерді қарастырамыз. Мұндай теңдеулер көбінесе физикалық есептерде, энергияны тасымалдау және тербелістер процесстерінде кездеседі. Гиперболалық теңдеулерге арналған тор әдісі құрылымы жағынан эллипстік және параболалық теңдеулер түріндегі торлар әдісіне ұқсас болып келеді. Диплом төрт парагрофтан тұрады. Әр параграфта өзіне сәйкес бөлімдері мен сәйкес есептері бар. Енді соларды қарастыруға көшейік.
§1. Гиперболалық теңдеулерге арналған айырымдық схемалар
Гиперболалық теңдеуге, мысалы сығылатын газдың қозғалысының, электромагниттік өрістің таралуының, ішектің тербелісінің есептерін т. б. келтіруге болады.
Егер
теңдеуі үшін
шарты орындалса, онда оны гиперболалық теңдеу дейді.
Біз ең қарапайым тұрақты коэффициенттері гиперболалық типті - толқындық теңдеулерді қарастырамыз:
(1. 1)
Мұнда
-D облысында екі ретке дейін үзіліссіз белгілі функция.
Гиперболалық теңдеулерге Коши және аралас шекаралық есептер қойылады.
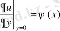
Коши есебі.
облысында (1. 1) -ші теңдеуді y=0 түзуінде
,
, (1. 2)
бастапқы шарттарды қанағаттандыратын екі рет үздіксіз дифференциалданатын
u(x, y)
функциясын табу керек. Мұнда
және
- берілген функциялар.
Аралас шекаралық есеп.
облысында екі рет үздіксіз дифференциалданатын u(x, y) функциясын табу керек. Ол осы облыста (1. 1) -ші теңдеуін қанағаттандыруы, ал D облысының Г шекарасында y=0 болғанда - (1. 2) бастапқы шарттар және
=
болғанда төмендегі - үш шекаралық шарттардың біреуін қанағаттандыруы керек:
а) (бірінші шекаралық шарт)
; (1. 3)
б) (екінші шекаралық шарт)
(1. 4)
в) (үшінші шекаралық шарт)
![]()
(1. 5)
мұнда
. . . - белгілі функциялар.
және
коэффициенттері
![]()
шарттарын қанағаттандыруы керек.
(1. 3) және (1. 4) шарттары (1. 5) -ші шарттың дербес жағдайы болып табылады.
1. 1. Коши есебін шешу.
(1. 1) -ші дифференциалдық теңдеуді (1. 2) -ші бастапқы шарттары бар Коши есебі үшін, тор әдісімен шешу жолдарын қарастырайық. Ол үшін D облысын
![]()
торымен қаптайық та, осы торда берілген есептің шешу жолдарын қарастырайық.
Бес нүктелі үш қабатты үлгіні (1-сурет) қарастырайық та осыған сәйкес
түйіндерін ішкі түйіндер деп атап, осы түйіндер жиынын
деп белгілейік, ал Г h жиынына y=0 түзуінде жатқан түйіндерді енгізейік. Барлық
торлар облысы
түйіндерінен тұрсын.
![]()
(1-сурет)
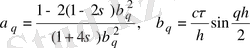
Алынған шаблонды пайдаланып, мына айырымдық схеманы аламыз:
. (1. 6)
Мұнда
![]()
![]()
Бұл схема (1. 1) - теңдеуді
дәлдікпен, ал бастапқы шарттары - O(l) дәлдікпен жуықтайды. Шынында да,
,
формулаларының негізінде
теңдігін аламыз. Мұнда
арқылы
торындағы (1. 1), (1. 2) есептерінің шешімдері белгіленген, ал
![]()
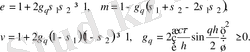
Бастапқы шарттардың жуықтау дәлдігін жоғарлатуға болады. Бұл мақсат үшін
![]()
(1. 7)
формуласын пайдаланамыз. Мұнда біз
. Ол (1. 1), (1. 2) есебінің шешімі
облысында жалғасады деп ұйғарамыз. (1. 7) -ші формуланы пайдаланып
теңдеуін
дәлдікпен жуықтайтын айырымдық схема алу үшін, осы теңдеуді былайша:
(1. 8)
жуықтаймыз да,
-ді табу үшін
![]()
![]()
теңдеуін қолданамыз. Яғни осы теңдеуден
-ді тауып (1. 8) - теңдеуге қойсақ, онда
, (1. 9)
мұнда
.
Осылайша алынған айырымдық схема былайша жазылады:
, (1. 10)
мұнда
операторы (1. 6) -шы формуладағыдай табылады, ал
![]()
Бұл схема (1. 1), (1. 2) -ші есептерін
дәлдікпен жуықтайды.
Енді (1. 10) -шы схеманың сандық түрде орындалуына тоқталайық.
және
арқылы
белгісізін есептеу жолын көрсетейік. (1. 6) -шы және (1. 10) -шы формуласынан
(1. 11)
формулаларын табамыз да, (1. 10) -шы айырымдық схеманы
(1. 12)
түрінде жазып, n=1 болғанда (1. 12) -ші формуладан
белгісізін табамыз. Содан кейін,
,
арқылы (1. 12) -ден, n=2 болғанда,
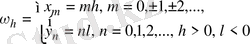
-ті табамыз. Гиперболалық теңдеулерді айқындалған айырымдық схема бойынша шешкен кезде, оның орнықтылығын анықтау үшін төмендегі біртекті теңдеу қарастырайық:
. (1. 13)
Бұл теңдеуге (1. 2) бастапқы шартты қоссақ, онда (1. 6) айырымдық схеманы қолданып (1. 13), (1. 2) - есебін мына түрде жазуға болады:
(1. 14)
Енді, координатасы (х і , у і ) - S нүктесіндегі торлық функцияның мәнін (1. 14) - формуланы пайдаланып табайық. Мұнда і - кез-келген бүтін сан,
. (1. 14) -формулаға
-ді қойсақ, онда біз
функциясы
арқылы анықталатынын көреміз. Егер
болса, онда
(1. 14) -ші формула бойынша төменгі қабаттағы
арқылы анықталады. Соңында
-дің мәні
және
мәндері арқылы табылады. Бұл барлық мәндер төбесі S үшбұрыштың ішінде жатыр. Үшбұрыштың бір қабырғасы Ох түзуінде, қалған екі қабырғалары S нүктесі арқылы өтеді де Ох осімен SDC және SCD бұрыштарын құрайды. Ол бұрыштар ретімен
және
-ге тең болады. SCD үшбұрышын (1. 14) -шы айырымдық схемасының анықталу үшбұрышы деп атайды. Сондықтан,
S нүктесінде
торлық функциясын CD мен EF кесінділерінде жатқан
мен
торлық функциялар арқылы анықталады. (1. 13) -ші теңдеудің S нүктесіндегі шешуі түгелімен АВ кесіндісінде берілген бастапқы мәндер бойынша анықталады.
Айталық, біз енді осы S нүктесінде (1. 13), (1. 2) -ші есебінің
дәл шешуін табайық. S нүктесінде
шешуін табу (1. 13) -ші теңдеу мен бастапқы шарттар арқылы анықталады. (1. 13) -ші теңдеудің сипаттамалары бір-бірімен перпендикуляр болады және Ох осімен
және
бұрыштар құрайды. Яғни
және
. SAB үшбұрышын (1. 13) -ші дифференциалдық теңдеудің анықталу үшбұрышы деп атайды.
2 - суретте
және
жағдайы көрсетілген.
![]()
2-сурет
Мұндай қадамдар қатынасын таңдау
жоғарыда көрсетілген айырымдық схема үшін сәтсіз болады. Бұл жағдайда айырымдық схеманың анықталу үшбұрышы дифференциалдық теңдеудің анықталу үшбұрышының ішінде жатады. Сондықтан CD кесіндісінде берілген бастапқы шарттар S нүктесіндегі есептің шешуін анықтауда жеткіліксіз болады. Егер біз AC мен DB кесіндісіндегі бастапқы шарттарды өзгертсек, онда бұл (1. 13), (1. 2) -ші есептің шешімін барлық D облысында, сонымен қоса, S нүктесін де өзгертеді. Бірақта, S нүктесіндегі
торлық функцияның мәні мұндай өзгертулерден еш өзгермейді, ол сол қалпында қалады. Сондықтан
болғанда (1. 14) -ші айырымдық схеманың шешуі (1. 13) -ші теңдеуге қойылған Коши есебінің шешуіне жинақталатынына сенуге болмайды. Яғни, (1. 14) - айырымдық схема (1. 13), (1. 2) -ші есебін жуықтаса да орнықты болуы мүмкін емес, өйткені жинақталу теоремасы бойынша жуықтау мен орнықтылықтан жинақтылық шығуы керек, яғни
болғанда жинақтылық болмайды. Сондықтан (1. 14) -ші схема орнықты болуы мүмкін емес. Орнықтылықты ASB үшбұрышы CSD үшбұрышының ішінде жатса ғана алуға болады. Біздің жағдайда, бұл
болғанда ғана болуы мүмкін. Сөйтіп, (1. 14) -ші схема орнықты болуы үшін
шарты орындалуы керек.
Егер гиперболалық түрдегі теңдеу, (1. 13) -ші теңдеуге қарағанда, жалпы түрде берілсе, онда оның анықталу үшбұрышы қисық сызықты болады. Осыған сәйкес айырымдық схеманың да анықталу үшбұрышы қисық сызықты болуы мүмкін. Айтылған заңдылықтан (оны бірінші рет Курант, Фридрихс пен Леви айтқан) дифференциалдық теңдеудің анықталу үшбұрышы айырымдық схеманың анықталу үшбұрышының ішінде жатқанда ғана схеманың орнықтылығын күтуге болады.
Қорыта келгенде, жоғарыдағы геометриялық талдаулардан кейін мынандай қорытынды шығаруға болады: Егер
шарты орындалса, онда айырымдық схема орнықты болады. Әдетте бұл шартты Курант шарты деп атайды. Ол айырымдық схема орнықты болуы үшін қажетті және жеткілікті шарт.
1. 2. Аралас есепті шешу
Айталық,
облысында
![]()
, (1. 15)
теңдеуімен қоса мына бастапқы шарттар
(1. 16)
мен 3-ші текті шекаралық шарттар
(1. 17)
берілсін.
(
облысының контуры) облысында (1. 15) -(1. 17) -ші аралас шекаралық есептің жалғыз шешуі бар және бұл шешім х пен у бойынша 4-ші ретті туындысымен бірге
-да үзіліссіз болсын.
Енді бірқалыпты тік бұрышты
торын алайық та, (1. 15) -ші теңдеуді айырымдық теңдеуге ауыстыру үшін, Коши есебіндегідей бес нүктелі анық үшқабатты шаблонды қолданайық. Ол үщін
торлық облысын
(ішкі түйіндер жиыны) және
(шекаралық түйіндер жиыны) екі жиынға бөлейік.
жиынында (1. 15) -ші теңдеу мен (1. 16) -шы бастапқы шарттар (1. 10) -шы айырымдық схема түрінде жуықталсын.
және
түзулерінде шекаралық шарттарды ауыстыру үшін (1. 13) пен (1. 14) -ші түріндегі формулаларды қолданайық. Сонда
(1. 18)
Мұнда
және тағы сол сияқты.
(1. 18) -ші айырымдық схема (1. 17) -ші шекаралық шартты O(h) дәлдікпен жуықтайды.
Енді (1. 10) мен (1. 18) -ші формулалар арқылы O(h+l 2 ) дәлдікпен (1. 15) -(1. 17) -ші шекаралық есепті жуықтайтын айырымдық схема былайша жазылады:
, (1. 19)
мұнда
![]()
![]()
Егер
және
болса, онда (1. 19) -шы айырымдық схема (1. 15) -(1. 17) -ші шекаралық есепті O(h 2 +l 2 ) дәлдікпен аппроксимациялайды.
(1. 19) -шы айырымдық схеманың сандық түрде орындалуы (1. 10) -шы схеманың орындалуына ұқсас болып келеді. Басында, (1. 17) -ші түрдегі формуланы қолданып,
нөлінші қабатындағы мәндерін есептеп аламыз, содан соң
бірінші қабаттағы мәндерді есептейміз; екі жағдайда да m- нің мәні
аралығында өзгереді. Әрі қарай (1. 12) -ші теңдеу арқылы n=1 болған жағдайда
мәндерін тауып аламыз. Екінші қабаттағы
мен
мәндерін есептеу үшін (1. 18) -ші айырымдық шекаралық шарттарды қолданамыз. Сонда
![]()
мұндағы
және
деп ұйғарамыз.
Сонымен біз
мен
, m=0, 1, 2, …, M мәндері арқылы
-ды табуға болатынын көрсеттік. Осыған ұқсас,
арқылы
және тағы сол сияқты табуға болады.
1. 3. Айқын үшқабатты айырымдық схеманың орнықтылығы
Орнықтылықты қарастыруды біз мысал келтіру арқылы көрсетеміз, яғни (1. 15) -(1. 17) -ші аралас шекаралық есептің
шарттары орындалған жағдайда (1. 19) -шы айырымдық схема үшін оң жағы сол қалпы, ал
операторы мына түрде болсын:
![]()
![]()
Біз
айырымдық схемасын бастапқы шарттары бойынша орнықтылығын қарастырамыз. Ол үшін біз айырымдық схеманың төменгі екі шартты қанағаттандыратынын анықтауымыз керек:
- айырымдық схемасы бірмәнді шешіледі. Мұнда
- бағалауы орындалады. Мұндас- тұрақты, олhпен-тан тәуелсіз.
Қарастырылып отырған айырмыдық схема айқын, сондықтан 1) -ші қасиет анық; 2) -қасиетті анықтау үшін
айырымдық схемасын былайша жазамыз:
(1. 20)
(1. 21)
мұнда
(1. 22)
(1. 20) -(1. 22) -ші есептің шешімін айнымалыларды айыру әдісімен табамыз. (1. 20) -шы теңдеудің дербес шешімдерін
түрінде алып, оны (1. 20) -шы теңдеуге қойсақ, онда
, (1. 23)
мұндағы
- қандайда бір сан. (1. 23) пен (1. 22) -шы шекаралық шарттан
үшін мына меншікті мәндер есебін аламыз:
Оның мынандай шешуі бар:
.
Ал
үшін 2-ші ретті айырымдық теңдеу аламыз:
,
немесе
. (1. 24)
Мұның сипаттаушы теңдеуі мынандай:
,
мұндағы
.
Бұл теңдеудің түбірлері
. Егер
болса, онда түбірлері
комплексті және
болады. Егер
,
деп алсақ, онда
болады.
Сонымен, (1. 24) -ші теңдеудің жалпы шешуі мына түрде жазылады:
.
Мұнда
мен
- кезкелген тұрақты сандар.
Енді (1. 20) -(1. 24) -ші есебінің шешуі мына түрде жазылуы мүмкін:
. (1. 25)
Айталық
мен
- жіктеу коэффиценттері
(1. 26)
болсын.
(1. 25) -ші формуладан анықталатын
(1. 21) -дің бастапқы шарттарын қанағаттандырсын дейік. Бұл
(1. 27)
теңдіктері орындалғанда ғана мүмкін.
мен
-ның осы мәндерін (25) -ке қойса, онда
. (1. 28)
енді
шамасын бағалайық.
Бізде
теңдіктері орындалатындықтан
h
пен
l
қадамдарына мынандай
(1. 29)
шектеу қойсақ, онда
, (1. 30)
яғни, мұндағы
кез келген сан.
. (1. 31)
Енді,
шамасын төменнен бағалайық.
Сонда
.
Демек,
,
яғни
. (1. 32)
(1. 28) -ден мына теңсіздік шығады:
, (1. 33)
мұнда
![]()
(1. 26) - формула мен (1. 31), (1. 32) -ші бағалауларын қолдансақ, онда
![]()
Сонымен, (1. 33) теңсіздігін ақырында мына түрде жазуға болады:
, (1. 34)
мұнда n=2, 3, …, N.
(1. 34) -ші бағалауы n-нен тәуелді емес және F n кеңістігінде қандай да бір норма деп қарастыруға болады. Бұл
схемасы үшін (2) -ші қасиеттің де орындалуын көрсетеді.
Сөйтіп,
айырымдық схемасының бастапқы мәндер бойынша орнықты болуы үшін
шартының орындалуы жеткілікті.
Гиперболалық түрдегі теңдеулерді шешу үшін айқын емес айырымдық схемалар да қолданылады. Оны келесі параграфта толқын теңдеуін шешкен кезде қарастырамыз.
Сұрақтар мен жаттығулар
- Гиперболалық теңдеулерге шекаралық есептер қалайша қойылады.
- Гиперболалық теңдеулердің параболалық теңдеулерден айырмашылығы неде?
Схемасы қандай теңдеулерді жуықтайды? Схеманың дәлдігін және орнықтылығын анықтаңыздар.
- Мына айрымдық теңдеу
қандай теңдеуді жуықтайды?
- Қандай шартты қанағаттандырғанда
теңдеуі орнықтылықтың қажетті шартын қанағаттандырады және қандай теңдеуді қандай дәлдікпен жуықтайды.
§2. Толқын теңдеуіне қойылған аралас шекаралық
есептерді шешу жолдары
2. 1. «Крест» схемасы.
Бойына
жүгі түсірілген тартылған ішектің тербелісінің есебін былайша қоюға болады:
, (2. 1а)
, (2. 1б)
. (2. 1в)
Есепке басқа да шекаралық шарттар қойылуы мүмкін.
Енді осы есепке қиын емес және тиімді айқын схема құрастырайық. х, t бойынша тікбұрышты тор алайық та, (1) -ші суретте көрсетілген үлгіні пайдаланып айырымдық схема құрайық:
(2. 2а)
, (2. 2б)
мұнда
.
Формасы бойынша мұны «крест» схемасы деп атайды. Енді оны зерттейік.
Есептің шешу жолы. Нөлінші қабаттағы есептің шешуі белгілі,
. (2. 3)
Бірінші қабаттағы шешуді бастапқы шартты қолданған әр түрлі дәлдікпен табуға болады. Егер
теңдеуін айырымдық схемамен айырбастасақ
, (2. 4а)
Онда бастапқы
мәні
дәлдікпен табылады. Ал
формуласын қолданып (2. 1а) -ші теңдеуінен
(2. 4б)
Формуласын алсақ, онда
![]()
дәлдікпен табылады. Мұнда
-ті екінші айырыммен ауыстыруға болады. Қалған
(2. 2а) схемасы бойынша табылады.
Жуықтауы
(аппроксимация) .
функциясының үзіліссіз төртінші туындысына дейін бар деп есептеп
функцияларын
нүктесінде жіктесек, онда
![]()
Осы жіктеуді қолданып (2. 2а) схемасының қатесін оңай табуға болады:
(2. 5)
және (2. 4а) бастапқы шартының қатесі
, (2. 6а)
ал бастапқы шартын (2. 4б) формуласы бойынша жуықтасақ
. (2. 6б)
(2. 3) бастапқы шарты мен (2. 2б) шеттік шарттары дәл жуықталады.
Сонымен, (2. 2) -(2. 3) -ші схеманың бастапқы шартын (2. 4б) формуласы арқылы тапсақ, онда оның жуықтау дәлдігі
, ал (2. 4а) бастапқы шартын қолдансақ, онда жуықтау дәлдігі
.
Орнықтылықты айнымалыларды ажырату әдісімен зерттейміз.
(2. 2а) формасында
, (2. 7)
бар деп есептесек, онда (2. 2а) теңдеуінен
(2. 8)
теңдігін аламыз. Виет теоремасы бойынша оның түбірлерінің көбейтіндісі
болады. Сондықтан
шарты
болса ғана орындалады. Яғни коэффициенттері нақты теңдеулер үшін, оның түбірлері түйіндес комплексті болуы керек және
шартын қанағаттандыруы керек. Бұл теңсіздік орындалуы үшін, Курант шартын сақтау қажетті және жеткілікті:
. (2. 9)
Сондықтан, «крест» схемасы шартты тұрақты.
Жинақтылық.
Жинақталу теоремасы бойынша, (2. 9) -шы шарт орындалған жағдайда, берілген (2. 1а) -(2. 1в) есебін (2. 2а), (2. 2б), (2. 3), (2. 4а) формулалары арқылы шешсек, онда жинақталу дәлдігі
, ал (2. 4а) -ның орнына (2. 4б) -ны қолдансақ
болады.
Ескерту 1.
бірінші ретті шектік шарттарымен берілген есеп үшін торды х
0
мен х
N
түйіндері
кесіндісінің ұштары болатындай етіп алу керек. Егер де, ұштың біреуінде екінші ретті шеттік шарт берілсе
, (2. 10)
онда
деп алған жөн.
Онда
айырымдық схемасы шекаралық шартты
дәлдікпен жуықтайды.
2. 2. Айқындалмаған схема.
Егер айырымдық схема айқындалған болса, онда кез келген кездейсоқ кеткен аз ғана қатенің әсерінен схеманың қатесі күрт өзгертіп кетуі мүмкін. Сондықтан, көп жағдайда, есепті шешу үшін айқындалмаған схема қолданылады.
Енді (1. 1) -ші есепті шешу үшін, (3) - суреттегі үлгіні қолданып,
3-сурет
(2. 11)
айырымдық схемасын құрайық. Мұнда
. Шекаралық нүктедегі функцияның мәні (2. 2б) шартын қанағаттандыратындай етіп алынады. Функцияның нөлінші және бірінші қабаттардағы мәндері айқындалған схемада көрсетілген жолдармен есептеледі. Осылайша қойылған айырымдық схема белгісізі
векторынан тұратын, матрицасы үш диагональды, теңдеулер жүйесін құрайды. Бұл жүйенің матрицасы оң анықталған болғандықтан, бір ғана шешуі бар және оны қуалау әдісімен табуға болады.
функциясының үзіліссіз төртінші ретті туындысы бар деп жорып,
нүктесінде Тейлор қатарына жіктеу арқылы (2. 11) -ші айырымдық теңдеудің (2. 1а) теңдеуін, кез келген
үшін,
дәлдікпен аппроксимациялайтынын көруге болады.
Айырымдық схеманың орнықтылығын дәлелдеу үшін айнымылыларды ажырату әдісін қолданамыз. (2. 7) -ші тұжырымды еске ала отырып (2. 11) -ші теңдеуден
,
(2. 12)
квадрат теңдеуін аламыз. Жоғарыда жасалған талдауға сүйене отырып, айырымдық схема
болғанда ғана орнықты болатынын көреміз. Осыдан
(2. 13)
шарты орындалғанда айырымдық схема орнықты болатынын көреміз. (2. 13) -ші теңсіздіктен
болғанда (2. 11) -ші айырымдық схема шартсыз орнықты, ал
болғанда шартты орнықты.
Ескерту 1.
болғанда (2. 11) -ші схема «крест» схемасын береді. Ол Курант шарты орындалғанда орнықты.
Ескерту 2. Егер дыбыс жылдамдығы айнымалы болса, онда оның теңдеуі
, (2. 14)
түрінде беріледі. Мұнда
екінші ретті туындыларымен бірге бөлікті үзіліссіз, функциялары және үзіліс нүктелері қозғалыссыз (яғни, x=const сызығында жатыр) . Осы үзілістерде [u] =0, [ku x ] =0 түйіндестік шарттары орындалады деп болжайық. Айырымдық схема құру үшін t бойынша бірқалыпты тор, ал х бойынша үзіліс нүктелері тордың түйіндері болып келетін бірқалыпты емес тор аламыз. (2. 14) -ші теңдеудің былайша
,
(2. 15)
![]()
![]()
айырымдық схемасын құрсақ және (2. 13) шарты орындалса онда ол
жылдамдықпен бірқалыпты жинақталатыны белгілі.
2. 3. Екіқабатты акустикалық схема.
(2. 1а) -ші екінші ретті теңдеуді оған эквивалент болатын екі бірінші ретті теңдеумен ауыстыруға болады. Ол үшін жылдамдық потенциалдары мен оң жақ потенциалдарын енгіземіз:
. (2. 16)
u(x, t) , v(x, t) функциялары төмендегі акустикалық теңдеулер жүйесін қанағаттандырады:
. (2. 17а)
(2. 1б) бастапқы шарттарымен (2. 16) формуланы ескере отырып, былайша жазуға болады:
, (2. 17б)
ал, (2. 1в) шекаралық шарттары өзгеріссіз қалады:
. (2. 17в)
(2. 1) -ші толқындық теңдеуге қарағанда, (2. 17) - акустикалық есепті шешу, кейбір жағдайларда қолайлы болады, сондай-ақ
бойынша бірқалыпты емес торда екі қабатты айырымдық схемалар құруға мүмкіндік береді.
Айқындалмаған схема.
Кеңістіктегі бірқалыпты емес тордың түйіндеріндегі
шамасын, ал интервал ортасында
шамасын қарастырайық. (4) -ші суреттегі үлгіні алып, үлесті схема құрайық:
![]()
3-сурет
, (2. 18а)
, (2. 18б)
.
Мұнда
деп жобаланады.
Енді осы схеманы зерттейік. Ол үшін
бойынша тордың қадамы бірқалыпты деп аламыз. (2. 18) схема х айнымалысы бойынша симметриалы, егер
десек, онда оның жуықтау дәлдігі
екенін анықтау қиын емес. Егер
және
болса, онда схема х -ке қоса уақыт бойынша да симметриялы және жуықтау дәлдігі
.
Схеманың орнықтылығын зерттеу үшін айнымалыларды ажырату әдісімен у пен z функцияларын гармоника түрінде қарастырып зерттейміз:
(2. 19)
(2. 19) белгілеулерін (2. 18) -ге қоя отырып және
деп ұйғарып амплитуда үшін сызықты біртекті теңдеулер жұйесін аламыз:
(2. 20)
Бұл теңдеулер жүйесінің нөлден ерекше шешуі бар болуы үшін оның матрицасының анықтауышы 0-ге тең болуы керек. Осыдан
көбейткішін табатын квадрат теңдеу аламыз:
; (2. 21а)
(2. 21б)
Мұнда
(2. 22)
шарттары орындалғанда ғана (2. 21а) теңдеуінің екі түбірінің де модулі 1-ден кіші. Осы теңсіздіктердің біріншісі айқын, өйткені Виет теоремасы бойынша
; ал екіншісін дәлелдеу қиын емес, бірақ үлкен түрлендірулер арқылы дәлелденеді. (2. 22) -ші теңсіздіктер тек
(2. 23)
шарттары орындалғанда ғана дұрыс. (2. 23) -ші шарттарды орнықтылық шарты дейміз. Осы шарттың орындалуына байланысты схема жуықтау дәлдігіндей жылдамдықпен жинақталады. (2. 23) - теңсіздіктен, егер
және
болса, онда (2. 18) -ші схема шартсыз орнықты екенін көреміз. Егер
, бірақ үлестің біреуі
-ден кіші болса, онда схема
(2. 24)
болғанда ғана шартты орнықты. Егер
болса, онда схема орнықсыз.
Енді (2. 18) -ші схемаға байланысты екі дербес жағдайды қарастырайық.
Айқындалған схема.
десек, онда (2. 18) -ші схема мына түрде
... жалғасы
, (2. 25а)
, (2. 25б)
түрінде жазылады және де айқын. Шынында да, (2. 25а) - теңдеуінен z n шамалары төменгі қабаттағы шамалардың мәндері арқылы айқын өрнектеліп тұр.
-ның барлық мәндерін тапқанан кейін, (2. 25б) формуласынан
шамасын табуға болады. (2. 25) -ші схема
-Курант шарты орындалғанда орнықты. (2. 25) схема «крест» схемасына ұқсас. Шынында да,
шамасы х бойынша жарты қадам жылжытылған, ал
шамасы
бойынша тордың түйіндеріне байланысты жарты қадамға жылжытылған деп есептесек, онда бұл схемаға екі крестен тұратын үлгіге сәйкес келеді (ол суретте қалың сызықтармен жүргізілген) .
- Іс жүргізу
- Автоматтандыру, Техника
- Алғашқы әскери дайындық
- Астрономия
- Ауыл шаруашылығы
- Банк ісі
- Бизнесті бағалау
- Биология
- Бухгалтерлік іс
- Валеология
- Ветеринария
- География
- Геология, Геофизика, Геодезия
- Дін
- Ет, сүт, шарап өнімдері
- Жалпы тарих
- Жер кадастрі, Жылжымайтын мүлік
- Журналистика
- Информатика
- Кеден ісі
- Маркетинг
- Математика, Геометрия
- Медицина
- Мемлекеттік басқару
- Менеджмент
- Мұнай, Газ
- Мұрағат ісі
- Мәдениеттану
- ОБЖ (Основы безопасности жизнедеятельности)
- Педагогика
- Полиграфия
- Психология
- Салық
- Саясаттану
- Сақтандыру
- Сертификаттау, стандарттау
- Социология, Демография
- Спорт
- Статистика
- Тілтану, Филология
- Тарихи тұлғалар
- Тау-кен ісі
- Транспорт
- Туризм
- Физика
- Философия
- Халықаралық қатынастар
- Химия
- Экология, Қоршаған ортаны қорғау
- Экономика
- Экономикалық география
- Электротехника
- Қазақстан тарихы
- Қаржы
- Құрылыс
- Құқық, Криминалистика
- Әдебиет
- Өнер, музыка
- Өнеркәсіп, Өндіріс
Қазақ тілінде жазылған рефераттар, курстық жұмыстар, дипломдық жұмыстар бойынша біздің қор #1 болып табылады.

Ақпарат
Қосымша
Email: info@stud.kz