Пойыздың тежеу жолын анықтау


МАЗМҰНЫ
Кіріспе
1. Тежегіштің пневматикалық бөлігін таңдау және жобалау
1. 1. Компрессордың беруін анықтау
1. 2. Бас резервуардың көлемін анықтау
1. 3. Компрессордың беруін анықтаудың дұрыстығын тексеру және
бас резервуарды таңдау
1. 4. Тежегіш жүйесінің ауа бөлімін таңдау
2. Тежегіштің механикалық бөлігін есептеу
2. 1. Тежегіш колодкасын жіберілмелі басуын анықтау
2. 2. Рычагты тежегіш берілісінің беріліс санын анықтау
2. 3. Тежегіш цилиндрді сығымдайтын күштерді анықтау
3. Пойызды тежеу құралдарымен қамтамасыз ету есебі
3. 1. Вагонның тежегіш колодкасын басатын нақты күшті анықтау
3. 2. Вагонның тежегіш колодкасының есептеме басу күші
3. 3. Пойыздың есептеме тежеу коэффициенті
4. Пойыздың тежегіш жүйесінің тиімділігін бағалау
4. 1. Пойыздың тежеу жасын анықтау
4. 2. Тежеудің уақыты және баяулауын есептеу
4. 3. Үйкелуші жұп элементтер қызуының көлемдік температурасын
Анықтау Пайдаланған әдебиеттер тізімі
КІРІСПЕ
Темір жол көлігі халық шаруашылығының негізгі бір саласы болып табылады. Оған жүк және жолаушы тасымалдау қуатын арттыру, сондай-ақ, қауіпсіздіктің сенімділік дәрежесіне кепілдік ету талабы қойылады.
Бұл курстық жобада тежеу техникасын жөндеу және пайдалану жағынан теориялық және тәжірибелік білімдерді терең игеріп, сондай-ақ ол жылжымалы құрамның тежеу жүйесінің жұмысы мен құрылғысын оқыту және автотіркегіш жабдықтарын жобалау негіздері және тежеу есебінің әдістерімен толығырақ таныстырады.
Курстық жобаның мазмұны мыналарды қамтиды:
- Тежегіштің пневматикалық бөлігін таңдау және жобалау
- компрессордың беруін анықтау;
- бас резервуардың көлемін анықтау;
- компрессордың беруін анықтаудың және бас резервуарларды таңдаудың дұрыстығын тексеру;
- тежегіш жүйесінің ауа бөлігін таңдау;
- Тежегіштің механикалық бөлігін жобалау және есептеу
- тежегіш колодкасының жіберілетін басылуын анықтау.
- Рычагты тежегіш берілісінің беріліс санын анықтау;
- Тежегіш цилиндрінен туатын күшті есептеу;
- Пойыздың тежегіш құралдарымен қамтамасыз ету есебі
- тежегіш колодкасының нақты басу күшін анықтау;
- тежегіш колодкасының есептеме басу күшін анықтау;
- пойыздың тежеу коэффициентін анықтау;
- Пойыздың тежеу жүйесінің тиімділігін анықтау
- пойыздың тежеу жолын есептеу;
- жылдамдықты баяулату мен тежеу уақытын есептеу;
- шатынған жұп элементтерінің көлемді қызуын анықтау.
1. Тежегіштің пневматикалық бөлігін таңдау және жобалау.
1. 1. Компрессордың беруін анықтау
Локомотивтің және мотор вагонды жылжымалы құрамның компрессорлық қондырғысы тежеу желісін қысылған ауамен қоректендіру үшін ауа шығынын қамтамасыздандыруына, қызметтік қажеттілігіне, қосалқы пневматикалық жабдықтарын әрекет етуге келтіру үшін тағайындалған. Мұндай қондырғыға компрессор немесе ауа насосы, бас резервуар, сақтандырғыш немесе кері клапан, қысым реттегіш, май және су бөліктер, ауа суытқышы кіреді.
Компрессор әрбір локомотив секциясына орнатылады.
Ең қолайсыз жұмыс шарттары мен ең үлкен кемулер кезінде, компрессор тежегіш жүйені және көмекші пневматикалық қондырғыны қысылған ауаның тиісті молдығымен қамтамасыз етіп отыруы керек.
Ауаның сағаттық жалпы шығыны, жиі тежеу кезінде компрессордан әперіледі, см 3 /сағ.
![]()
(1)
Мұндағы
- тежегіш жүйенің магистралдарымен приборларының сызаттарынан шығындалған қысылған ауа, см 3 /сағ;
- тежеудегі қысылған ауа шығыны, см 3 /сағ;
- басқа да шығындар, см 3 /сағ;
![]()
Магистральдағы сызаттар мен тежегіштерден шығындалған қысылған ауаны анықтау:
![]()
![]()
![]()
=
![]()
![]()
(2)
Мұндағы
P СЗ - тежегіш магистралында 1 минут ішінде қысымның жіберілетін төмендеуі. Қоректенуі жоқ болуындағы тығыздықты еместіктен кейін (нұсқамаларға сәйкес магистральда 5 кгС/см 2 қабылданады;
- Құрамның тежегіш тармақтарының көлемі (магистральдың өсінділерімен, қор резервуармен және жұмыс камерасымен), см 3
=
(
+
+
)
Мұндағы
- құрамдағы вагонның саны;
- вагонның тежегіш магистралы ның көлемі, см 3 ;
- вагонның қор резервуарының көлемі, см 3 ;
- ауа бөлгіштің жұмыс резервуарының көлемі, см 3
8 өсті жартылай вагондар үшін
![]()
![]()
![]()
;
4 өсті жартылай вагондар үшін
![]()
![]()
4 өсті жабық вагондар үшін
![]()
![]()
4 өсті тоңазытқышты вагондар үшін
![]()
![]()
![]()
![]()
Мұндағы
![]()
![]()
![]()
![]()
8 өсті жартылай вагондар үшін
![]()
4 өсті жартылай вагондар үшін
![]()
![]()
4 өсті жабық вагондар үшін
![]()
![]()
4 өсті тоңазытқышты вагондар үшін
![]()
![]()
8 өсті жартылай вагондар үшін
![]()
4 өсті жартылай вагондар үшін
![]()
4 өсті жабық вагондар үшін
![]()
4 өсті тоңазытқышты вагондар үшін
![]()
![]()
(3)
Мұндағы
тежеу кезінде тежегіш магистралдан кеміген қысым (орташа 0, 8 кгс/см 2 ) ;
1 сағаттағы тежеуді реттеу саны (ең қолайсыз ұзын еңеісті таулы учаскілер үшін
ретінде қабылданады)
![]()
Басқа да шығындарды (электропневматикалық түйіспелердің, тоңазытқышты терезе жапқыштары тежегішінің және тепловоздың басқа құрылғыларының) қысымды ауамен қамдалуы келесідей қабылданады:
Қысылған ауаның алынған жалпы шығына қарай компрессордың қажетті берілуін анықтау үшін, бас резервуардың кемулерін толықтауға кететін және локомотивтің екпінді тармақтарын қамдауға кететін шығындарды қосу керек.
Демек, компрессордың қажетті берілуі (екі секциялы теплооздың екі компрессорында) см 3 /мин
(4)
Мұндағы 1, 3-суыту үшін компрессорды сөндіруде есепке алынатын коэффициент;
- локомотивтің екпінді тармақтарынан және бас резервуардан кеміген ауаны толықтыру шығыны, оның шамасы
болады.
- Бас резервуарлардың көлемін анықтау
Дұрыс тежеу магистральды толықтыру шартындағы бас резервуарлардың қажетті көлемі (тежегіш резервуарды қоректендірменген) шұғыл тежеуден кейін
, (5)
мұндағы ∆Р маг - шұғыл тежеу кезіндегі магистральдағы жеткізілетін қысымның түсуі. ∆Р маг = 5 кГС/см 2 .
∆Р бр - шұғыл тежеу кезіндегі бас резервуардан кеміген қысым. ∆Р бр =9-5, 5=3, 5 кГС/см 2 .
8 өсті жартылай вагондар үшін
![]()
4 өсті жартылай вагондар үшін
![]()
4 өсті жабық жартылай вагондар үшін
![]()
4 өсті тоңазытқыш вагондар үшін
![]()
![]()
ң табылған көлемі бойынша ВЛ80 В/И электровозын стандартқа жақыны қабылданады.
- Компрессордың беруін анықтаудың дұрыстығын тексеру және бас резервуарды таңдау
Компрессордың табылған беруін және бас резервуарлардың сыйымдылығын тексеру, қызметтік және шұғыл тежеуден кейін тежегіштерді босату және зарядтау жағдайы үшін қажет.
Q ком ⋅ t бос + ∆P бр V бр = ∆P маг V маг + ∆P жр V жр + ∆P сз V тт t бос + ∆P қр V қр - P 1 қр V қр
немесе
Q
ком
=
(6)
мұндағы
∆P маг - тежегіш магистралындағы қысымның төмендеуі (толық қызметтік тежеу кезінде 1, 5кГС/см 2 , ал шұғыл тежеу кезінде 5кГС/см 2 болады) ;
∆P жр - толық қызметтік тежеу және шұғыл тежеу кезіндегі жұмыс резервуарында қысымның түсуі (№ 483 ауа бөлгішімен 1, 5кГС/см 2 қабылданады) ;
∆P сз - тығыздықсыз арқылы тежегіш тармақтарында қысымның төмендеуі ( нұсқамаларға сәйкес ең жоғарғы жіберілуі 0, 2 кГС/мин. болады)
t бос - тежегішті босату және қор резервуарын толық зарядтау қысымына дейін зарядтаудың есепту уақыты, мин (шұғыл тежеуден кейін қабылдауға кететін уақыт 5 мин) ;
P қр - қор резервуарларындағы қысым (5, 3 - 5, 5кГС/см 2 ) ;
P 1 қр - қор резервуарларындағы қысым көп жағдайларда қызметтік және шұғыл тежеу кезінде 4кГС/см 2 дейін төмендейді, яғни, P 1 қр =1, 5кГС/см 2 болады.
∆P бр - бас резервуарлардағы қысымның жібермелі түсуі (толық қызметтік тежеуден кейін ∆P бр =2кГС/см 2 ; шұғыл тежеуден кейін ∆P бр =3, 5кГС/см 2 болады) ;
V бр - бас резервуардың көлемі, (5) формулада көрсетілгендей қабылданыды.
Жоғарыдағы келтірілген (6) формула бойынша қызметтік және шұғыл тежеуден кейін компрессордың беруін анықтайды.
(4) формула бойынша анықталған қажетті мәнмен табылған берілістер салыстырылмалы пойыздарға қызмет көрсету үшін компрессор мен бас резервуарлардың сиымдылығы қысылған ауаның шығынын қамтамасыз ете алуына қортынды жасалады.
Ескерту : Формула (2), (3), және (6) см 3 /г -на қысылған ауаның шығын өлшемін сақтау үшін олардың қысым мөлшері ∆P есептеу кезінде P бар =1кГС/см 2 бойынша алынуы тиіс.
- Тежегіш жүйесінің ауа бөлігін таңдау
Жылжымалы құрамның ауа бөлігіне ауа бөлгіш, қор резервуар, ауа жолдары мен арматуралар және басқа приборлар жатады.
Тежегіш жүйенің ауалық бөлігін жобалауда ең әуелі ауа бөлгіштің түрі таңдалады. Тежегіш цилиндрін максималды 90% қысымға дейін қысылған ауаны толтыру уақытына сүйене отырып таңдайды. Жолаушылық вагондары тежегіші үшін бұл уақыт 8 секунттан, ал жүк вагондары үшін 25 с-тан аспауы керек. Жолаушылық вагондарының тежегіш цилиндрлерін осындай уақыт мерізімінде толтыруды қамтамасыз ететін ауа бөлгіш №292, ал жүк вагондарына №483.
Тежегіш цилиндрдің диаметрін таңдау вагон түріне (үлгісіне) тәуелді болады.
Содан соң тежегіш цилиндр қабыдаған диаметрінің тәуелділігіне қарай қор резервуарының көлемін анықтайды. Толықтай және шұғыл тежеу кезінде, ол тежегіш цилиндрдегі ауаның есептеме қысымы 3, 9 кГС/см 2 төмен болмауын керек, ең жоғары жіберуі кезінде піспек штогінің шығуының 180 мм ретінде қарастырылады және зарядтау қысымы 5 кГС/см 2 болады. Бұдан қор резервуардың ең кішкене көлемі бір тежегіш цилиндр үшін келесі формула бойынша анықтауға болады:
(Л) немесе
, см
3
(7)
мұндағы F ц - тежегіш цилиндр піспегінің ауданы, см 2 .
Көлемін (7) формула бойынша шығарылғаннан үлкен етіп қабылдауға болады. Жолаушылық ауа бөлгіштері үшін қор резервуардың көлемінің біршама артуы олардың қалыпты жұмыс істеуіне кедергі жасайды, яғни, жұмсақтығы төмендейді, сатылы, толық тежеу кезінде тежегіш цилиндрдегі қысым артады.
140 км/сағ және оданда жоғары жылдамдық қозғалысына арналған жолаушылық жылжымалы құрамының ауалық бөлігіне бір орында сырғанауына (юз) қарсы құрылғыларымен толықтырылады. Бір қор резервуар жетіспейтін болса, онда мұндай жағдайда сұлбаға кері клапан арқылы ауа желісінің магистралына тікелей қоректенуі арқылы екіншісін енгізеді, ал тежегіш цилиндірінде артық көлемдерін босатып және толтыру үшін сұлбада ауа бөлгіш
режимінде жұмыс істейтін ауа қысымы релісі қарастырылған.
Жолаушылар пойызындағы тежеудің ауа бөлігін таңдаудың дұрыстығын сапалы бағалау тежегіш цилиндр піспесі жүрісінің максималды жіберілетін шамасы бойынша жүргізіледі.
Р қр ≥ Р з - ∆Р маг (8)
Мұндағы Р қр - тежеу кезіндегі қор резервуардың ішіндегі ауа қысымы, кГС/см 2 ;
Р з - ауа құбыры магистралындағы максималды зарядтау қысымы, кГС/см 2 ;
∆Р маг -толық қызметтік тежеу кезінде ауа құбыры магистралындағы зарядтау қысымының төмендеуі, (1, 5 кГС/см 2 ) .
Бойль-Мариот заңы негізінде тежегіш жүйесінің ауа бөлігінің таңдаулы сиымдылығында қысылған ауа жағдайы тежеуге дейін және тежеу кезінде келесі теңдеумен өрнектеледі:
(9)
Мұндағы V 0 - тежеуге дейінгі тежегіш цилиндрдің көлемі, см 3 ;
С тц - тежегіш цилиндрдің саны;
Р тц(мах) -тежегіш цилиндрдегі ауаның максимальды есептеу қысымы (жолаушы пойызы тежегішінде 5, 1-5, 2 кГС/см 2 , жүктікте 5, 0 кГС/см 2 бойынша қабылданады) .
Тежеу кезіндегі тежегіш цилиндр піспегінің жүруі, см. L және Р зр үшін келесі теңдеуді құрамыз:
(10)
(11)
Барлық қысым көрсеткіштері (9) - (11) өрнектерінде абсолюттік бірлікте алынған Р абс = Р бар +Р изб , Р бар - барометрлік қысым (атмосфералық қысым, Р бар =1кГС/см 2 ; Р изб - артық қысым) .
2. ТЕЖЕГІШТІҢ МЕХАНИКАЛЫҚ БӨЛІГІН ЕСЕПТЕУ ЖӘНЕ ЖОБАЛАУ
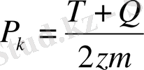
2. 1. Тежегіш колодкасының жібермелі басуын анықтау
Тежегіш колодканы доңғалаққа басу күшін анықтау үшін мына формуланы қолданамыз:
(12)
мұндағы К - доңғалаққа колодканың жіберілмелі басу күші, тс;
φ к - тежегіш колодкасының үйкеліс коэффициенті;
0, 9- артқы қос доңғалақтың жүктемесін түсіру коэффициенті;
Ф к - тежеу кезіндегі доңғақтың рельспен ілігу коэффициенті;
Р к -бір тежеу колодкасына берілетін, доңғалақтың статикалық жүктемесі, тс.
мұндағы Т - вагонның тарасы, тс;
Q - вагонның жүк көтерімділігі, тс;
z - қос доңғалақтың саны;
m - бір доңғалаққа келтірілетін тежегіш колодоканың немесе секцияның саны:
T + Q = Q бр
Үйкеліс коэффициентінің мәнін (12) формулаға қоя отырып, келесі теңдеулерді аламыз:
а) стандартты шойын колодокасы үшін
(13)
мұндағы V - бір орынында тайғанауын жібермеу кезіндегі экипаж қозғалысының есептеме жылдамдығы, км/сағ.
(16)
бұл жердегі
8 өсті жартылай вагон үшін
4 өсті жартылай вагон үшін
4 өсті жабық вагон үшін
4 өсті тоңазытқышты вагон үшін
Тежегіш калодкасына жіберілетін меншікті қысым шамасы қозғалыс жылдамдығы 90 км/сағ болғанда
. Колодканың материалы шойын болғанда үйкелістің номиналды ауданы
(19)
өрнегі қанағаттандырылған, жіберілмелі басуы қабылданады.
Бір орында сырғанауда жібермеу жылдамдығының тәуелсіздігінен иілігу коэффициентінің есептеме мәндері және рельстері құрғақ және таза кезінде шектес шарттары үшін қос доңғалақтың жүктемесі көрсетілген. Рельс доңғалақтан түсетін жүктемесі мына формуламен анықталады.
8өсті вагондар үшін
4 өсті вагондар үшін
4 өсті тоңазытқышты вагондар үшін
Рычакты тежегіш берілістерінің беріліс санын анықтау
Рычакты тежегіш берілісінің беріліс саны рычакты тежеу берілісінің көмегімен тежегіш цилиндр піспегінен туатын күшінің қанша рет жоғарылайтындығын көрсетеді. Рычакты тежегіш берілісінің беріліс саны жүргізетін және жетектейтін рычактардың инді ұзындықтарының ара қатынасынан анықталады .
Жобада әрбір колодканың беріліс саны және рычакты берілістердің жалпы беріліс саны келесі формуламен анықталады:
П жал = П 1 + П 2 + … П i
2. 3 Тежегіш цилиндрді нығыздайтын күштерді анықтау
Тежегіш цилиндрді нығыздайтын күштер, кГС
(21)
мұндағы Р шт - тежеу кезінде тежегіш цилиндрдің піспегінің штогы бойынша туатын әсері, кГС;
Р тц - тежеу кезіндегі тежегіш цилиндрдегі ауа қысымы, кГС;
F - тежегіш цилиндр піспегінің ауданы, см 2 ;
η тц = 0, 98 -тежегіш цилиндр жарамдылығына пайдалы коэффициент ;
Р пр = Р о +жl-піспек штогінің шығуы кезінде тежегіш цилиндрді босату серіппесінің күші, кГС;
Р о - тежеуді босату кезінде тежегіш цилиндр серіппесін алдын ала тарту әсері, кГС;
ж - тежегіш цилиндр серіппесінің қаттылығы, кГС/см;
l - тежегіш цилиндр піспегінің максималды жіберлілмелі жүрісі, см.
![]()
Босату серіппесінің күшін анықтау кезінде, тежегіш цилиндрінде оның піспегі шығуының ең үлкен мәні: жүк вагондарының бос режимі үшін - 150мм қабылдананады. Есептеу кезінде жүк (жолаушылық) вагшондарының жүктемелі режимінде тежегіш цилиндр қысымының ең үлкен мәні
қабылданады.
3. ПОЙЫЗДЫ ТЕЖЕУ ҚҰРАЛДАРЫМЕН ҚАМТАМАСЫЗ ЕТУ ЕСЕБІ
3. 1 Вагонның тежегіш колодкасын басатын нақты күшті анықтау
Пойызды тежеу құралдарымен қамтамасыз ету үшін тежегіш колодкаларының нақты және есептеме басу күштерін, есептеу коэффициенттерін табу қажат.
Вагонның тежегіш колодкасының нақты басу күші келесі формула бойынша анықталады
, (22)
мұндағы λ - вагонның рычакты берілістерінің саны (тежегіш цилиндрдің санына тең) . Колодкамен тежелетін вагондар үшін бұл көрсеткіш 1 болады;
η рп - рычакты тежегіш берілістерінің коэффициенті. η рп = 0, 98
3. 2. Вагонның тежегіш колодкасының есептеме басу күші
Әр түрлі басу күштерімен көп вагондардан құралған түрліше типтегі құрамдарда ұқсамаған басу күшіне ие болады. Сондықтан φ к және К д нақты шамасын есептемеге ауыстыру әдістерімен анықтауға болады.
(23)
мұндағы φ к ∙ К д - доңғалақ пен рельс арасында пайда болатын нақты тежеу күші;
φ кр ∙ К р - есептеме тежеу күші;
φ кр - тежегіш колодкасының есептеме үйкеліс коэффициенті;
К р - тежегіш колодкасының есептеме басу күші.
(23) формуладан тежеудің есептеме басу өрнегіне ие боламыз:
(24)
Үйкелістің есептеме коэффициенті келесі формула бойынша анықталады:
Стандартты шойын колодка үшін
(25)
Тежегіш колодкалары үшін φ к және φ кр (24) формулаға енгізгеннен кейін:
стандартты шойынды
(28)
Құрамның есептеме басуы келесі формула бойынша анықталады:
(31)
мұндағы z 1 , z 2 , z i - вагонның ( локомотивтің) тежегіш өсінің саны;
m - доңғалақтағы тежегіш колодканың саны (бір жақты ілінуде m=1 (жүк пойызында), екі жақты ілінуде - m=2
(жолаушылық пойызында) ) ;
K 1 , K 2 , K i -бір тежегіш колодкасын басуы, тс. К жүктік және жолаушылық вагондары үшін /2, кесте 223 / бойынша анықталады;
Х 1 , Х 2 , Х i - вагонның (локомотивтің) түрі және өсі бойынша алынған саны.
Локомотивтің түрі мен сериясын келесі кестеден таңдаймын.
3 Кесте.
Локомотивтің меншікті салмағы және тежегіш өстерінің саны
Электровоз ВЛ 80:
8 өсті жартылау вагон
4 өсті жартылай вагон
4 өсті жабық вагон
4өсті тоңазытқыш вагон
3. 3 Пойыздың есептеме тежегіш коэффициенті
Пойыздың есептеме тежегіш коэффициенті деп тежегіш колодкасының есептеме басу күшінің пойыздың жалпы массасына қатынасын айтады. Пойыздың есептеме тежеу коэффициенті пойыздың тежегішпен қамтамасыз етілуін көрсетеді. Ол келесі формула бойынша анықталады:
(32)
мұндағы P л + Q - пойыздың массасы, тс.
4. ПОЙЫЗДЫҢ ТЕЖЕГІШ ЖҮЙЕСІНІҢ ТИІМДІЛІГІН БАҒАЛАУ
4. 1 Пойыздың тежеу жолын анықтау
Пойыздың тежегіш жүйесінің тиімділігін бағалау тежеу жолының ұзындығына S т , орташа баяулау шамасына ξ i , тежеу уақыты t теж және үйкеліс буларының температурасына θ i тәуелді болады.
Тежеу жолы деп пойыздың машинист кран тұтқасын тежеу жағдайына қойғаннан бастап толық тоқтағанға дейінгі ара қашықтықты айтады.
Тежеу жолының ұзындығы пойызды тежеген кезіндегі қозғалыстың теңдеуін интегралдауынан шығатын өрнек арқылы анықталады.
Темір жол жылжымалы құрамының тежеу жолын есептеу үшін төмендегідей әдістемелер қолданылады:
- Аналитикалық (талдау) - уақыт интервалы бойынша сандық интегралдау жолы;
- Аналитикалық - жылдамдық интервалы бойынша сандық интегралдау жолы;
- Аналитикалық - белгіленген тежеуде пойыздың қозғалыс теңдеуін интегралдау жолы;
- Номограмма бойынша;
- Графиктік жолмен.
4. 1. 1 Жылдамдық аралықтары сандық интегралдар әдісі арқылы тежеу жолын есептеу
Тежеуге дайындықтан нақты тежеуге дейінгі уақыт қызметтік тежеу кезінде келесі формула бойынша анықталады:
ұзыны 300 өстен жоғары болатын жүк вагондары үшін
(36)
Мұндағы в т - меншікті тежеу күші, кГС/т
![]()
![]()
![]()
нақты тежеу жолы, м
(40)
мұндағы V б , V с - пойыздың бастапқы және соңғы жылдамдығы, км/сағ. Нақты тежеу жолын есептеуде жылдамдық 10 км/сағаттан аспауы керек.
ξ - пойыздың баяулауы /2, 423 бет /, км/сағ 2 .
- пойыз қозғалысының кедергісі, кГС/тс;
w 0 ″- құрамның негізгі қозғалыс кедергісі, кГС/тс.
Вагондар үшін мойынтіректің тербелісінде w 0 ″ 4 кесте бойынша анықталады.
4 Кесте




q 0 - өстен рельске түсетін орташа жүктемелік;
V - есептеу аралығындағы пойыздың орташа жылдамдығы, км/сағ.
w x = 2, 4+0, 011V+0. 00035V 2 - локомотивтің бос жүрісі кезіндегі негізгі кедергісі.
Тежеу жолының беру нәтижелері 5 кестеде жинақталып көрсетілген, осы кестеге негізделе отырып S т =Ф(V) графигін салуға болады.


1)
2)
3)
4)
5)
6)
7)
8)
9)
10)
11)
12)
13)
14)
15)
16)
17)
18)
- Іс жүргізу
- Автоматтандыру, Техника
- Алғашқы әскери дайындық
- Астрономия
- Ауыл шаруашылығы
- Банк ісі
- Бизнесті бағалау
- Биология
- Бухгалтерлік іс
- Валеология
- Ветеринария
- География
- Геология, Геофизика, Геодезия
- Дін
- Ет, сүт, шарап өнімдері
- Жалпы тарих
- Жер кадастрі, Жылжымайтын мүлік
- Журналистика
- Информатика
- Кеден ісі
- Маркетинг
- Математика, Геометрия
- Медицина
- Мемлекеттік басқару
- Менеджмент
- Мұнай, Газ
- Мұрағат ісі
- Мәдениеттану
- ОБЖ (Основы безопасности жизнедеятельности)
- Педагогика
- Полиграфия
- Психология
- Салық
- Саясаттану
- Сақтандыру
- Сертификаттау, стандарттау
- Социология, Демография
- Спорт
- Статистика
- Тілтану, Филология
- Тарихи тұлғалар
- Тау-кен ісі
- Транспорт
- Туризм
- Физика
- Философия
- Халықаралық қатынастар
- Химия
- Экология, Қоршаған ортаны қорғау
- Экономика
- Экономикалық география
- Электротехника
- Қазақстан тарихы
- Қаржы
- Құрылыс
- Құқық, Криминалистика
- Әдебиет
- Өнер, музыка
- Өнеркәсіп, Өндіріс
Қазақ тілінде жазылған рефераттар, курстық жұмыстар, дипломдық жұмыстар бойынша біздің қор #1 болып табылады.

Ақпарат
Қосымша
Email: info@stud.kz