Физикалық процесстерді Excel программасы арқылы зерттеу


«Физикалық процесстерді Excel программасы арқылы зерттеу»
Мазмұны
- Кіріспе. Microsoft Excel программасының мүмкіндіктері.
- Негізгі бөлім. Механика бөліміне қысқаша теория. .
1. 1. Материялық нүктенің киномеханикасы.
1. 2. Динамика
1. 3. Механикалық гармониялық тербелістер мен толқындар.
- Бірқалыпты түзу сызықты қозғалыс.
- Шеңбер бойымен бірқалыпты қозғалыс.
- Соққы. Серпімсіз соққы.
- Тербелістер мен маятниктер қозғалысы.
5. 1. Серіппелі маятник.
5. 2. Математикалық маятник.
- Қорытынды.
- Кіріспе.
Физикалық процесстерді Excel программасы арқылы зерттеу, физика саласында жаңа білім алуға мүмкіндік береді.
Microsoft Excel - кесте ішінде есеп жұмыстарын атқара отырып, оларды көрнекі түрде бейнелейтін диаграммаларды тұрғызу, мәліметтер базасын құру, сан түріндегі берілген мәліметтер арқылы эксперименттер жүргізуге т. б. мүмкіндіктер беретін, Windows ортасында жұмыс істеуге арналған арнайы кесте.
«Электрондық кесте» деген термин кесте түрінде берілген мәліметтерді компьютерде өндеу деген ұғымды білдіреді.
Кестелерді өндеу мынадан тұрады:
- Функциялар мен формулаларды пайдала отрырып, әр түрлі есептеулер жүргізу;
- Түрлі-түсті факторлардың мәләметтерге тигізетін әсерін зерттеу;
- Белгілі бір критерийлерді қанағаттандыратын мәліметтер жиынын алу(табу) ;
- Графиктер мен диаграммаларды тұрғызу,
- Мәліметтерді статистикалық талдау;
Электрондық кестелердің ерекшелігі олардағы мәлімет өндеу жолдарының түсінікті әрі қарапайым болуда.
Microsoft Excel программасы- кетелік процессорлар немесе электрондық кестелер тобына жататын ең қарапайым кең тараған программалық кестелердің бірі. Бірақ Microsoft Excel жай программа емес, ол көптеген физикалық амалдарды, күрделі есептеулерді көрнекі етіп әр адамға түсінікті түрде жүргізе алады. Ол кестедегі мәліметтерді пайдаланып, түрлі-түсті диаграммалар тұрғызып, олармен жұмыс істеуді, сандық эксперимент өткізуді және т. б. қамтамассыз ете алады.
Excel мүмкіндіктерінің көпжақтылығы оны тек экономика саласында ғана емес, оқып-үйренуде, ғылыми - зерттеу істерінде, әкімшілік және жай шаруашылық жұмыстарында да кеңінен қолдануға мүмкіндік береді.
- Негізгі бөлім.
Механика.
Механика - материя қозғалысының ең жай формасы туралы ілім, яғни денелердің немесе олардың жеке бөліктерінің бір- бірімен салыстырғанда орын ауыстыруы жайындағы ілім.
Белгілі бір дененің басқа денемен салыстырғанда орны өзгеретін болса, оны механикалық қозғалыс дейді. Планеталар мен космостық ракеталардың қозғалысы, ұшақ пен поезд қозғалысы, жануарлар мен адамның қозғалысы- бұлардың барлығы механикалық қозғалысқа жатады. Механикалық қозғалыстар физиканың механика деген бөлімінде қарастырылады. Механиканы үш бөлімге бөлуге болады: кинематика, статика, динамика.
Кинематикада дененің тек уақытқа байланысты орын ауыстыруы қарастырылады, динамикада дененің қозғалыс күйін өзгеріске ұшырататын денелердің өзара әсерлері есепке алынады, статикада денелер жүйесінің тепе-теңдік заңдарын қарастырады.
Материялық нүктенің киномеханикасы.
Материялық нүктенің жылдамдығы мен үдеуі мына формулалар арқылы анықталады:
,
(1)
ds- жолдың элеметтері
Бірқалыпты түзу сызықты қозғалыс кезінде (1) формулада берілген шамалардың проекциялары келесі формулалар арқылы анықталады:
(2)
Ал тең айнымалы түзу сызықты қозғалыс кезінде:
(3)
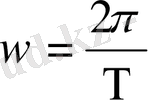
Қозғалмайтын ось бойымен бірқалыпты айналмалы қозғалыс бұрыштық жылдамдық шамаларымен сипатталады
Equation. 3 (4)
мұндағы: Т-айналу периоды, n-айналым саны. Бұрыштық жылдамдық сызықтық жылдамдық v мен центрге бағытталған үдеу модулінің қатынасына байланысты:
(5)
мұндағы
- радиус .
Центрге бағытталған үдеу модулі мен сызықтық жылдамдық арасындағы байланысы келесі формуламен беріледі:
(6)
Динамика.
Динамиканың негізгі заңы мынадай қатынаспен анықталады
(7)
мұндағы
-
-тің
-ға қатынасымен анықталады.
-бұрыш жасай орын ауыстыратын әсер етуші күштің жұмысы мынаған тең:
(8)
мұндағы
- орын ауыстыру бағытын көрсететін күштің проекциясы.
Қуат жұмыстың уақытқа қатынасына тең:
(9)
Тұйық жүйеде импульстердің қосындысы кез-келген қозғалыс кезінде тұрақты қалады, яғни:
(10)
жылдамдықпен қозғалып келе жатқан
массалы дененің кинетикалық энергиясы мынаған тең:
(11)
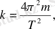
(12)
мұндағы
-серіппенің қатаңдық коэффициенті.
Деформацияланған серіппенің потенциалдық энергиясы мынаған тең:
(13)
және
массалы екі дене мынадай күшпен бір-біріне тартылады:
(14)
мұндағы
-денелердің арасындағы ара қашықтығы.
Механикалық гармониялық тербелістер мен толқындар.
Гармониялық тербелмелі қозғалыстың теңдеуі мына түрде беріледі:
(15)
А-амплитуда, Т-период,
-тербеліс жиілігі,
- айналмалы жиілік,
-бастапқы фаза.
Тербеліс жасайтын нүктенің жылдамдығы мен үдеуі (1) -ші формуласы бойынша анықталады:
(16)
Гармониялық тербеліс жасайтын Ньютонның екінші заңы (7) мына түрге келеді:
(17)
мұндағы
нүктенің тербеліс периоды,
-серіппе қатандығы.
Тербіп жатқан нүктенің кинетикалық және потенциалдық энергиясы мынаған тең:
(18)
Бірқалыпты түзу сызықты қозғалыс.
Бала кезімізден біз жылдамдық ұғымымен таныспыз. Бірқалыпты қозғалыс деп -дене тең уақыт аралығында тең ара қашықтық жүріп өтуі. Жылдамдықты ара қашықтықтың өзгеру тездігі ретінде қарастыруға болады, яғни жүріп өткен жолдың қозғалысқа кеткен уақытқа қатынасы болып табылады, бұдан S ара қашықтықты анықтауға болады.
немесе
Есеп.
Жылдамдық v=25 м/с пен уақыт t=2 м/с берілген,
арқылы орын ауыстыруды табайық. Уақыттың қадамы ∆=1с.
Шығару жолы. Excel программасы арқылы тұрақты жылдамдықпен қозғалып келе жатқан автомобиль қозғалысын қарастырып, графигін салайық. Ол үшін Excel программасын іске қосып, жаңа парақ ашу керек.
1 этап. Мәндерді енгізу. Жылдамдық графигін салудан бұрын, Excel-де таблица құру керек. Жылдамдық пен уақыттың мәндерін енгіземіз. Ол үшін А1 ұяшығына жылдамдық сөзін, В1 ұяшығына уақыт сөзін, С1 ұяшығына жол сөзін енгіземіз. Енді мәндерді енгізуді бастайық. А2 ұяшығына жылдамдықтың тұрақты мәнін енгізейік, яғни 25 м/с. В2 ұяшығына уақыттың бастапқы мәнін енгіземіз, яғни 2с. В3 ұяшығына 1 қадам қосып, мәнін жазамыз, яғни 3с. Осы В2 мен В3 ұяшықтарын белгілеп, тышқанның көмегімен сол жақтағы төменгі бұрыш арқылы В8 ұяшығына дейін созып апарамыз. С2 ұшығында жолдың формуласын пайдаланып, шамалардың мәндерін орындарына қойып, есептейміз. Осы жолды С3-тен С8-ге дейінгі ұяшықтарға пайдаланамыз. Нәтижесінде мынадай таблица шығу керек (1-сурет) .
1-сурет.
2 этап. Диаграмма типін таңдау.
Ол стандартная құралдар панелінде Мастер диаграмм батырмасын шерту керек . Шыққан Мастер диаграмм (шаг 1из 4) : тип диаграммы терезесінде диаграмма типін таңдау керек. Мастер диаграмм (шаг 1из 4) : тип диаграммы терезесінің сол жағында диаграммалар тізімі берілген, осы тізімнен керекті диаграмма типін таңдаймыз. Біздің қарастырып отырған есебімізде, біз График типін соның ішіндегі График с маркером түрін таңдаймыз. Содан кейін Далее батырмасын шертеміз (2-сурет) .
2-сурет.
3 этап. Диапазонды белгілеу. Шыққан Мастер диаграмм (шаг 2 из 4) : источник данных диаграммы диалогтық терезесінде Диапазон данных вкладкасындағы Диапазон жолынан берілген мәндердің интервалын белгілеу керек. Ол үшін Delete батырмасы арқылы Диапазон жолының жұмыс жолын тазарту керек. Содан кейін тышқанның бағытын С1 ұяшығына апарып, С8-ші ұяшыққа дейін созамыз. Сол кезде Диапазон жолының жұмыс жолында мынадай жазу шығу тиіс: =Лист1!$C$1:$C$8. Мұнда С1:С8 диапазоның дұрыс белгілеу ең негізгісі болып табылады (3-сурет) .
3-сурет.
Содан кейін осы Диапазон данных вкладкасында тышқанның көмегімен в столбцах жолын белгілеу керек.
4этап. X өсі бойындағы жазуларды енгізу. Мастер диаграмм (шаг 2 из 4) : источник данных диаграммы терезесінде Ряды вкладкасын таңдап (тышқанның батырмасын шерту арқылы ), подписи оси X жолына тышқанның көмегімен В2 ұяшығына апарып В8-ші ұяшыққа дейін созып, белгілейміз. Сол кезде мынадай жазу шығуы тиіс: =Лист1!$В$1: $В$8. Содан кейін Далее батырмасын шертеміз (4-сурет) .
5 этап. Диаграмманың тақырыбын енгізу. Мастер диаграмм (шаг 3 из 4) :параметры диаграммы үшінші терезесінде диаграмманың тақырыбын және осьтерінің атын енгізу керек. Бұл үшін Заголовки вкладкасын таңдап, тышқан батырмасымен шерту керек. Содан кейін Название диаграммы жұмыс жолына Жолдың графигі сөзін енгізу керек. Ал Ось X жұмыс жолына Уақыт сөзін және Ось Y жұмыс жолына мәні сөзін енгізіп, Далее батырмасын шертеміз(5-сурет) .
4-сурет.
6 этап. Диаграмманың орналасуын таңдау . Мастер диаграмм (шаг 3 из 4) : размещение диаграммы төртінші терезесінде диаграмманың орналасу орнын белгілеу керек. Ол үшін Поместить диаграмму на листе вкладкасында на имеющемся батырмасымен шерту керек.
5-сурет.
7 этап. Аяқтау. Егер диаграмма дұрыс жасалған болса, онда Готово батырмасын шерту керек. Егер дұрыс салынбаса Назад батырмасын шерту керек. Енді Готово батырмасын шертсек, мынадай диаграмма шығады(6-сурет) .
6-сурет. Тұрақты жылдамдықпен қозғалып келе жатқан автомобиль қозғалысының графигі.
Шеңбер бойымен бірқалыпты қозғалыс.
R радиусы шеңбер бойымен тұрақты
жылдамдықпен қозғалып келе жатқан дененің қозғалысын қарастырайық. Дененің қозғалысының сызықтық жылдамдығын және j шамасын
бұрыштық жылдамдығы арқылы табуға болады(4 және 5 формула) .
Нүктенің шеңбер бойымен қозғалыс теңдеуі мына түрде жазуға болады:
Шеңбер бойымен қозғалатын дененің бірқалыпты қозғалысын Excel программасы арқылы қарастырып, графигін салайық.
Радиусы
, жиілігі
және уақыт
қадамы 0, 5-ке тең. Берілген
қозғалыс теңдеуі арқылы қозғалыс графигін саламыз.
1 этап. Мәндерді енгізу.
Ол үшін А1 ұяшығына
радиус
сөзін, В1 ұяшығына
жиілік
сөзін, С1 ұяшығына
уақыт
сөзін енгіземіз. D1 ұяшығына у координатасын енгіземіз. Енді мәндерді енгізуді бастайық. А2 ұяшығына радиустың мәнін 100м енгіземіз. В2 ұшығына жиіліктің мәнін енгіземіз. С2 ұяшығына уақыттың бірінші мәнән енгіземіз, яғни 0, 1с. С3 ұяшығына 1 қадам қосып, енгіземіз, яғни 0, 6с. Осы С2 мен С3 ұяшықтарын белгілеп, тышқанның көмегімен сол жақтағы төменгі бұрыш арқылы С25 ұяшығына дейін созып апарамыз. D2 ұшығындақозғалыс теңдеуін пайдаланып
, шамалардың мәндерін орындарына қойып, есептейміз. Осы теңдеуді D3-тен D25-ші ұяшыққа дейін пайдаланамыз. Нәтижесінде мынадай кесте шығады (7-сурет) .
2 этап. Диаграмма типін таңдау.
Ол стандартная құралдар панелінде Мастер диаграмм батырмасын шерту керек . Шыққан Мастер диаграмм (шаг 1из 4) : тип диаграммы терезесінде диаграмма типін таңдау керек. Мастер диаграмм (шаг 1из 4) : тип диаграммы терезесінің сол жағында диаграммалар тізімі берілген, осы тізімнен керекті диаграмма типін таңдаймыз. Біздің қарастырып отырған есебімізде, біз График типін соның ішіндегі График с маркером түрін таңдаймыз. Содан кейін Далее батырмасын шертеміз.
3 этап. Диапазонды белгілеу. Шыққан Мастер диаграмм (шаг 2 из 4) : источник данных диаграммы диалогтық терезесінде Диапазон данных вкладкасындағы Диапазон жолынан берілген мәндердің интервалын белгілеу керек. Ол үшін Delete батырмасы арқылы Диапазон жолының жұмыс жолын тазарту керек. Содан кейін тышқанның бағытын D1 ұяшығынан D25 ұяшығына дейін созып, белгілейміз. Сол кезде Диапазон жолының жұмыс жолында мынадай жазу шығу тиіс: =Лист1!$D$2:$D$25. Содан кейін осы Диапазон данных вкладкасында тышқанның көмегімен в столбцах жолын белгілеу керек.
7-сурет.
4этап. X өсі бойындағы жазуларды енгізу. Мастер диаграмм (шаг 2 из 4) : источник данных диаграммы терезесінде Ряды вкладкасын таңдап (тышқанның батырмасын шерту арқылы ), подписи оси X жолына тышқанның көмегімен В2 ұяшығына апарып В8-ші ұяшыққа дейін созып, белгілейміз. Сол кезде мынадай жазу шығуы тиіс: =Лист1!$С$1:$С$25. Содан кейін Далее батырмасын шертеміз.
5 этап. Диаграмманың тақырыбын енгізу. Мастер диаграмм (шаг 3 из 4) :параметры диаграммы үшінші терезесінде диаграмманың тақырыбын және осьтерінің атын енгізу керек. Бұл үшін Заголовки вкладкасын таңдап, тышқан батырмасымен шерту керек. Содан кейін Название диаграммы жұмыс жолына Шеңбер бойымен қозғалыс сөзін енгізу керек. Ал Ось X жұмыс жолына Мәні сөзін және Ось Y жұмыс жолына үақыт сөзін енгізіп, Далее батырмасын шертеміз.
6 этап. Диаграмманың орналасуын таңдау . Мастер диаграмм (шаг 3 из 4) : размещение диаграммы төртінші терезесінде диаграмманың орналасу орнын белгілеу керек. Ол үшін Поместить диаграмму на листе вкладкасында на имеющемся батырмасымен шерту керек.
7 этап. Аяқтау. Егер диаграмма дұрыс жасалған болса, онда Готово батырмасын шерту керек. Егер дұрыс салынбаса Назад батырмасын шерту керек. Енді Готово батырмасын шертсек, мынадай диаграмма шығады(8-сурет) .
8-сурет.
Соққы.
Денелер бір-бірімен соғылысқан кезде, олар деформацияланады. Сол кезде қозғалыстың кинетикалық энергиясы жартылай немесе түгел серпімді деформацияның потенциалдық энергиясына және дененің ішкі энергиясына айналады.
Абсолют серпімді соққыны қарастырайық. Абсолют серпімді соққы кезінде дененің механикалық энергиясы басқа механикалық емес энергияға ауыспайды. Бұл жағдайда кинетикалық энергия деформацияның потенциалдық энергиясына түгелдей ауысады. Содан кейін денелер бастапқы қалыптарына келеді. Нәтижесінде серпімді деформацияның потенциалдық энергиясы кинетикалық энергияға айналады. Денелер бір-бірінен белгілі бір жылдамдықпен ұшырайды да, олардың шамалары мен бағыттары толық механикалық энергияның сақталу заңының шарттары мен денелер жүйесінің толық импульстерінің сақталу заңдарына бағынады (10 формула) .
соққыға дейін
Қозғалыс
соққыдан кейін
Абсолют серпімсіз соққы деформацияның потенциалдық энергиясы болмайтындығымен сипатталады. Денелердің кинетикалық энергиясы ішкі энергияға айналады, ал соғылған денелер әрі қарай қозғала береді.
Екі дене арасындағы соққы.
Екі дененің соқтығысуы кезінде екі жағдай қарастырылуы керек, яғни серпімді және серпімсіз соққы. Серпімді соққыға екі болат шарлардың соқтығысы жатады, ал пластилиннан жасалған шарлардың соқтығысы серпімсіз соққыға мысал бола алады. Екі шардың соқтығысын дұрыс бейнелеу үшін, осы процесстің физикасын қарастырайық.
Дененің массасы - физикалық шама, ол денеге әсер ететін күштің үдеуге қатынасын айтады:
Массаға берілген анықтама Ньютонның екінші заңынан шығады. Ал Ньютонның екінші заңы мынадай түрде тұжырымдалады:
Ньютонның екінші заңынан дененің массасы - ол инерттілік шама екені шығады.
Дененің импульсі-бұл дененің массасы
мен жылдамдықтың
көбейтіндісіне тең, яғни
Дененің импульсі жылдамдық сияқты, векторлық шама болып табылады. Импульстің сақталу заңын
бұлайша тұжырымдайық: тұйық жүйедегі импульстердің қосындысы сол жүедегі денелердің әсеріне өзгермейді.
Серпімсіз соққы.
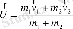
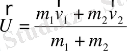
Бір-біріне қарама-қарсы қозғалып келе жатқан денелердің серпімсіз соққысына импульстің сақталу заңын қалай әсер ететінін қарастырайық. Массалары
және
пластилиннан жасалған екі шар бір-біріне қарама-қарсы
және
жылдамдықпен қозғалып келе жатыр.
Соққадан кейін олар
жылдамдықпен қозғалып келе жатыр. Осы
жылдамдықты табу керек. Импульстердің қосындысы соққыға дейін
тең, ал соққыдан кейін импульстің сақталу заңына байланысты импульстердің қосындысына тең, яғни
. Нәтижесінде мынадай теңдеу шығады:
Бұл формуладан белгісіз
жылдамдықты табуға болады.
Белгісіз
жылдамдықты табуға байланыты Excel-программасында есептеп, графигін шығарайық.
және
массалы денелер
және
жылдамдықтарымен бір-біріне қарама-қарсы қозғалып келе жатыр. Олардың соққыдан кейінгі жылдамдықты табайық.
1 этап. Мәндерді енгізу.
m
1
=5, m
2
=15 бастапқы мәндерін енгіземіз. Содан кейін жылдамдықтардың бастапқы мәндерін енгіземіз, яғни v
1
=10 м/с, v
2
=20 м/с. Қадамдары
=2 тең.
формуласын пайдаланып, бір-бірімен соғылысқан кездегі денелердің жылдамдығын табамыз. Нәтижесінде мынадай кесте шығады (9-сурет) .
9-сурет.
2 этап. Диаграмма типін таңдау. Алдыңғы есептегі жолдарды таңдаймыз.
3 этап. Диапазонды белгілеу. Шыққан Мастер диаграмм (шаг 2 из 4) : источник данных диаграммы диалогтық терезесінде Диапазон данных вкладкасындағы Диапазон жолынан берілген мәндердің интервалын белгілеу керек. Ол үшін Delete батырмасы арқылы Диапазон жолының жұмыс жолын тазарту керек. Екі дененің соққыдан кейінгі қозғалыс графигін құрамыз. Ол үшін мынадай диапазон таңдаймыз: =Лист1!$Е$1:$Е$10. Содан кейін осы Диапазон данных вкладкасында тышқанның көмегімен в столбцах жолын белгілеу керек.
4этап. X өсі бойындағы жазуларды енгізу. Мастер диаграмм (шаг 2 из 4) : источник данных диаграммы терезесінде Ряды вкладкасын таңдап (тышқанның батырмасын шерту арқылы ), подписи оси X жолына тышқанның көмегімен В2 ұяшығына апарып В8-ші ұяшыққа дейін созып, белгілейміз. Сол кезде мынадай жазу шығуы тиіс: =Лист1!$А$2:$В$10. . Содан кейін Далее батырмасын шертеміз.
5 этап. Диаграмманың тақырыбын енгізу. Мастер диаграмм (шаг 3 из 4) :параметры диаграммы үшінші терезесінде диаграмманың тақырыбын және осьтерінің атын енгізу керек. Бұл үшін Заголовки вкладкасын таңдап, тышқан батырмасымен шерту керек. Содан кейін Название диаграммы жұмыс жолына қозғалыс графигі сөзін енгізу керек. Ал Ось X жұмыс жолына Мәні сөзін және Ось Y жұмыс жолына жылдамдық сөзін енгізіп, Далее батырмасын шертеміз.
6 этап. Диаграмманың орналасуын таңдау . Мастер диаграмм (шаг 3 из 4) : размещение диаграммы төртінші терезесінде диаграмманың орналасу орнын белгілеу керек. Ол үшін Поместить диаграмму на листе вкладкасында на имеющемся батырмасымен шерту керек.
7 этап. Аяқтау. Егер диаграмма дұрыс жасалған болса, онда Готово батырмасын шерту керек. Егер дұрыс салынбаса Назад батырмасын шерту керек. Енді Готово батырмасын шертсек, мынадай диаграмма шығады(10-сурет) .
10-сурет. Соққыдан кейінгі қозғалыс графигі
Тербелістер мен маятниктер.
Серіппелі маятник. Күнделікті өмірде біз тербелмелі қозғалыстар немесе тербелістер деп аталатын қозғалыстармен жиі ұшырасамыз. Мәселен жел соққан кезде талдың бұтақтары тербеледі, бір шеті қысқышқа бекітілген металла пластинаны майыстырып тұрып жібере салса, ол да тербеліске түседі. Тербелмелі қозғалысқа периодтылық тән. Қозғалыстың периодтылығы белгілі бір уақыт өткен соң дене орнының, яғни оның координатасының дәл немесе шамамен дәл қайталанып отыратынын білдіреді.
Сонымен, механикада тербелістер деп дененің бірдей уақыт аралығындағы дәлме-дәл немесе жуықтап қайталанып отыратын қозғалысын айтады.
Серіппеге ілінген жүктің тербелісін қарастырайық. Мұндай қарапайым тербелмелі жүйені
серіппелі маятник
деп атайды. Егер серіппе
ұзындыққа созылса немесе сғылса, онда денені тепе-теңдік күйіне қайтаратын
күші туындайды. Ұзару шамасы
азғантай болған кезде бұл күш серіппенің ұзаруына пропорционал болады, яғни
. Ньютонның екінші заңын пайдалансақ, дененің қозғалыс теңдеуін мына түрде жазуға болады:
, бұдан
. Ығысу шамасы (x) неғұрлым үлкен болса,
үдеуі де соғұрлым үлкен, яғни ең үлкен ығысуға ең үлкен үдеу сәйкес келеді.
Гармоникалық тербелістердің
жиілігі 1 с ішіндегі тербеліс санын көрсетсе,
циклдік жиілік маятниктің
секундтағы тербеліс санына тең болады, яғни
.
Олай болса,
. Осы өрнекті қозғалыс теңдеуімен салыстыра отырып алатынымыз:
, бұдан
екенін ескерсек, серіппелі маятниктің тербеліс периоды мынаған тең болады:
.
Енді Excel программасы арқылы серіппелі маятникке байланысты есеп шығарайық.
Есеп.
Серіппеге ілінген дененің тербеліс периоды анықтау. Масса диапазоны
қадамы
. Қатандық коэффициенті
=3.
1 этап. Мәндерді енгізу.
Тербеліс периодының графигін салудан бұрын, Excel-де таблица құру керек. Ол үшін А1 ұяшығына
масса
сөзін, В1 ұяшығына
период
сөзін енгіземіз. Енді мәндерді енгізуді бастайық. А2 ұяшығына массаның бірінші мәнін 0, 1кг енгіземіз, А3 ұяшығына 1 қадам қосып, енгіземіз, яғни 0, 2 кг. Осы А2 мен А3 ұяшықтарын белгілеп, тышқанның көмегімен сол жақтағы төменгі бұрыш арқылы А11 ұяшығына дейін созып апарамыз. Басқа бос ұяшықтарна қатандық коэффициенті мен
-дің мәнін енгіземіз.
В2 ұшығында периодтың формуласын пайдаланып, шамалардың мәндерін орындарына қойып, есептейміз. Осы формуланы В3-тен В11-ге дейінгі ұяшықтарға пайдаланамыз. Нәтижесінде мынадай таблица шығады(12-сурет) .
2 этап. Диаграмма типін таңдау.
Ол стандартная құралдар панелінде Мастер диаграмм батырмасын шерту керек . Шыққан Мастер диаграмм (шаг 1из 4) : тип диаграммы терезесінде диаграмма типін таңдау керек. Мастер диаграмм (шаг 1из 4) : тип диаграммы терезесінің сол жағында диаграммалар тізімі берілген, осы тізімнен керекті диаграмма типін таңдаймыз. Біздің қарастырып отырған есебімізде, біз График типін соның ішіндегі График с маркером түрін таңдаймыз. Содан кейін Далее батырмасын шертеміз.
11-сурет.
... жалғасы- Іс жүргізу
- Автоматтандыру, Техника
- Алғашқы әскери дайындық
- Астрономия
- Ауыл шаруашылығы
- Банк ісі
- Бизнесті бағалау
- Биология
- Бухгалтерлік іс
- Валеология
- Ветеринария
- География
- Геология, Геофизика, Геодезия
- Дін
- Ет, сүт, шарап өнімдері
- Жалпы тарих
- Жер кадастрі, Жылжымайтын мүлік
- Журналистика
- Информатика
- Кеден ісі
- Маркетинг
- Математика, Геометрия
- Медицина
- Мемлекеттік басқару
- Менеджмент
- Мұнай, Газ
- Мұрағат ісі
- Мәдениеттану
- ОБЖ (Основы безопасности жизнедеятельности)
- Педагогика
- Полиграфия
- Психология
- Салық
- Саясаттану
- Сақтандыру
- Сертификаттау, стандарттау
- Социология, Демография
- Спорт
- Статистика
- Тілтану, Филология
- Тарихи тұлғалар
- Тау-кен ісі
- Транспорт
- Туризм
- Физика
- Философия
- Халықаралық қатынастар
- Химия
- Экология, Қоршаған ортаны қорғау
- Экономика
- Экономикалық география
- Электротехника
- Қазақстан тарихы
- Қаржы
- Құрылыс
- Құқық, Криминалистика
- Әдебиет
- Өнер, музыка
- Өнеркәсіп, Өндіріс
Қазақ тілінде жазылған рефераттар, курстық жұмыстар, дипломдық жұмыстар бойынша біздің қор #1 болып табылады.

Ақпарат
Қосымша
Email: info@stud.kz