IP-телефония негізінде байланыс орталығының жұмысын талдау


Аңдатпа
Бұл дипломдық жобада IP-телефония негізінде байланыс орталығының
жұмысын талдау барысы қарастырылған.
Дипломдық жобаның мақсаты - келіп түсетін шақырулар туралы
статистикалық мәліметтер негізінде IP-байланыс орталығының жұмысына
талдау жасау, сонымен бірге орталықтың имитациялық моделін құру негізінде
тиімді қызмет жағдайларын қарастыру арқылы қызмет көрсету сапасын
арттыру.
Бұл мақсатқа жету үшін жобада байланыс орталықтарының қазіргі
жағдайы, орталықтың қызметтері мен сипаттамалары, IP- телефония негізінде
байланыс орталықтарын қолданудың артықшылықтары туралы жазылған. Және
де келіп түскен шақырулар туралы статистиканы талдап, нәтижелері графиктер
түрінде көрсетілген.
Қызмет көрсету уақыты
экспоненциалды және
логнормалды заңдармен үлестірілген
шақыруларға
GPSS World
бағдарламасында модельдеу жасалды.
Жобада, тіршілік қауіпсіздігі мәселелері қарастырылып, операторлық
бөлмеде ауаны баптау жүйесін есептеу жүргізілді.
Техникалық-экономикалық бөлімінде осы жобаны жүргізудің ғылыми-
зерттеу негіздемесі жасалып, тиімді экономикалық нәтиже алынды.
Аннотация
В данном дипломном проекте рассмотрен анализ работы контакт-центра
на базе IP-телефонии.
Цель дипломной работы - повышение качества обслуживания с помощью
рассмотрения эффективного состояния работы IP-контакт-центра. Он основан
на анализе работы данного центра при помощи статистических данных о
поступающем вызове и на построении имитационной модели.
Для достижения поставленной цели в проекте приведены современное
состояние контакт-центра, его функции и характеристики, преимущества
эксплуатации контакт-центра на базе IP-телефонии. А также, сделан анализ
статистики о поступающем вызове и результаты показаны в виде графиков. В
программном обеспечении GPSS World произведено моделирование вызова
время обслуживания, которого распределено по экспоненциальному и
логнормальному закону.
В проекте рассмотрены вопросы безопасности жизнедеятельности и был
произведен рассчет системы вентиляции в операторском помещении .
В технико-экономической части разработано научно-исследовательское
обоснование ведения данного проекта и получен эффективный экономический
результат.
Мазмұны
Кіріспе . . . 8
1 Қымзет көрсету орталықтарының математикалық модельдеріне талдау………. 9
1. 1 Ақпараттық қызметтерді көрстеу орталықтарының дамуы . . . …. 9
1. 2 Телефондық қызмет көрсету орталықтарының математикалық
моделі . . . 12
1. 3
Шақыруларға қызмет көрсететін заманауи орталықтарының
математикалық моделі . . . 7
1. 4 Байланыс орталығында off-line анықтау . . . 18
1. 5 Дипломдық жобаның мақсаты . . .
2 Мультисервисті байланыс орталықтарында сұраныстарға қызмет көрсетудің
бастапқы моделі . . .
2. 1 Мультисервисті байланыс орталығының операторлық жүйесіндегі
әртүрлі трафигінің функционалды моделі . . . 25
2. 2 Мультисервисті байланыс орталықтарындағы операторлық жүйенің
ЫУС зерттеу . . .
2. 3 МБО-ға келіп түсетін трафиканализі және оған қызмет көрсе-тетін
үрдістер . . . 29
. . . 30
2. 5 Салыстырмалы артықшылықтармен МБО ортақ үлгiсі . . . 38
2. 6 Көп сервистiк түйiспелi қызмет көрсетудiң басты үлгiлерiнiң
сипаттамаларының сандық бағалау орталықтары . . . 40
2. 7 Қызмет көрсететудің бастапқы және соңғы процесстерін ұйымдас-
тыруды салыстыру . . . 42
. . . 44
. . . 44
. . . 46
3. 3 Приоритетсіз және приоритетті шақыруларға қызмет көрсету кезіндегі
байланыс орталығының имитациялық моделі
4 Тіршілік қауіпсіздігі . . . 58
4. 1 Жобаланған қондырғы орындарында бөлмеде ауаны баптау жүйесі
негізінде сипаттама беру . . . 58
4. 2 Еңбек жағдайын талдау . . . 58
4. 3 Ауаны баптау жүйесін есептеу . . . 59
4. 4 Қолданылатын материалдардың, техникалардың экологиялық
сараптамасы . . . 66
5 Техника-экономикалық негіз . . .
5. 1 Жұмыстың мақсаты . . .
5. 2 Жұмыстың орындалу бағдарламасы . . .
5. 3 Жасалынған жұмыстың бағасын есептеу . . .
5. 4 Интеллектуалды еңбек бағасы . . .
Қорытынды . . .
Әдебиеттер тізімі . . .
Қысқартылған сөздер тізімі . . .
А қосымшасы . . . 86
Ә қосымшасы . . . 87
Кіріспе
Қазіргі таңда әлемдік телекоммуникациялық қоғамның назары келесі
ұрпақ желісі (NGN) сияқты, бірыңғай желілі инфраструктура негізінде
электробайланыстың кез келген қызметін көрсете алатын желі концепциясына
аударылған.
Салаларда
бәсекелестіктің өсуі,
сонымен қатар
телекоммуникациялық желелерді қолданушылар талаптарының өсуі байланыс
желілері және қызметтерінің конвергенциясына негізделген қызмет көрсеудің
сапалы жаңа әдістері мен құралдырының пайда болуына алып келді.
Ақпараттық қызметтер дамуының перспективті бағыттарының бірі
шақыруларға қызмет көрсету орталығы (ШҚО) ұйымы болып табылады.
Қызмет көрсетудің және мүмкіндіктерінің үлкен жиынтығы бар, жалпы
қолданыстағы телефон желілерінен (ЖҚТф) келесі ұрпаққа (NGN) көшуінен,
дәстүрлі қоңырауларға қызмет көрсету центрінен қоңырауларға қызмет
көрсетудің мультисервисті центріне немесе мультисервисті байланыс
орталығына (МБО) көшу эволюциясын байқауға болады. МБО мақсаты
қолданушыға ол дыбыстық не видео қоңырау болсын, электронды пошта
бойынша сұраныс немесе мәтіндік диалог болсын, қоғамдық желілер сұранысы
немесе сұранысты қабылдау болсын ақпараттық қызметтерді алудың ыңғайлы
құралдарын ұсыну болып табылады. Қызмет көрсетлетін сұраныстар типінің
әртүрлілігі алдыңғы ұрпақ жүйелерімен салыстырғанда қарастырылып отырған
МБО функционалды структурасының өзгерісіне алып келеді. Заманауи
телекоммуникациялық қызметтерді ұсынудың жаңа принципиалды жолы,
келесі ұрпақ (NGN) байланыс желісіне бағтталған, мұндай орталықтардың
зерттелу моделін және жобалау әдістерін өзекті етеді.
1 Қымзет көрсету орталықтарының математикалық модельдеріне
талдау
1. 1 Ақпараттық қызметтерді көрстеу орталықтарының дамуы
Шақыруларға қызмет көрсететін орталықтар (ШҚО) [1] ШТЖ телефон
станцияларының базасы; шақыруларды өңдеудiң үлестiрiлген кеңiрек
функционалдық мүмкiндiктерiмен бұл болған iстiң орталары телефон
станцияларымен салыстырғанда, шақыруларды автоматты үлестiрудi
интеграцияланған жүйемен салынды. Бастапқы ШҚКО
ресурстарды
шектеулiлiктiң алдында бiрыңғай телефон шақыруларының үлкен санды
қызмет көрсетуiн эффективтілігі үшiн арналды. Бiрiншi мұндай орталықтарды
функционалдық жалпы иелену желiсiнiң анықтамасы
-
ақпараттық
қызметтерiмен шектелдi. ШҚО бұдан әрi IVR () дауыс
мәзiрлерiнiң жүйесi дамыды және (зияткерлiк сызықтарды оған беру)
шақыруларды маршрутизацияның жүйесiн жетілдірді.
Мысалы, ұқсас
жүйелердi парасат бiр оператордағы шақыруларын сан туралы ортақ өнiмдiлiк
ШҚО туралы статистикалық есептердi беру жиiлетiп кете шектелдi.
Кезектен шақыруларды таңдауын тәртiптiң ШТЖ-тың жүйенiң ерте
нұсқаларында байқалған циклдiк iздестiруде бiрiншi болған қолы бос оператор
кезекте бiрiншi тұратын шақырудың маршрутизациясын ескередi. Егер
оператор аты бiрдей бiлiктiлiктер болса, қолданушылық басқа жағдайда
қызметкерлер құрамының квалификацияланған шамадан тыс жүктемесiне
шақырым жетелеген жасайтын трафик бiр қалыпты болса, мұндай
шақыруларды таңдаудың тәртiбi жақсы жұмыс iстейдi. Егер жасайтын трафик
әркелкi болса, операторларды бiлiктiлiк әр түрлi болса, онда одан басқа
стратегия сияқты операторлардың арасындағы жүктеме бiр қалыптырақ бөлiнiп
орналасуға ерiк береді, тұрып қалған операторды терминалға кезекте бiрiншi
тұратын шақыру орынна маршруттайды.
Кезекке шақырулар орнатылған. Дәстүрлі қызмет көрсету FIFO
тәртiбiмен сәйкес өңделдi - "бiрiншi iстедi - бiрiншi қызмет көрсеткен".
Дегенмен, ШТЖ жүйенiң алдыңда тұрған мәселелердi әр түрлiлi түсу ғана емес
кезектен шақыруларын таңдау өндіру мүмкiндiктерін керек ұйымдастырудың
тәртiбiнiң түрлендiрулерi ретiнде шақырымды келтiредi.
Маман телефон станцияларының базасы жүзеге асырылған шақыруларды
өңдеудiң дәстүрлi орталықтарының қадiр-қасиеттерiн жабдықтың болатынын
қолданудың мүмкiндiгi көп жылдар бойында тексерiлген биiк сенiмдiлiктермен
белгiленедi. Дегенмен бастапқы шешiм басқа ақпараттары бар кiрiгудiң шектi
функциялары болды - коммуникациялық жүйелермен бекiтiлген жұмыста
мұндай жүйелерiн математикалық үлгiлері қарастырылған [5, 6, 7] .
ШҚО негiзгi мiндеті ең төменгi ысыраптармен биiк қарқындылықтың
шақыруларын ағынның қызмет көрсетуi болып табылады, ол үшiн қызмет
көрсетудiң процедурасы шақыруларды үлестiрудiң иiлгiш алгоритмдары қажет
болады. Call
-
орталық көпшiлiк бүгiнгi күнге автоматты телефон
станцияларының базасында шақыруларды автоматты үлестiретін жүйе немесе
коммутатор болады.
Операторлық орталықтардың эволюциясының келесi сатысы - Call -
орталықтар. Барлық, ШТЖ жүйелердiң функционалдық мүмкiндiктерi туралы
айтылғандар call- орталықтарға жатады. ШТЖ жүйе - бұл call арнаулы
функциялармен анықталатын коммутацилық жүйе, а - орталық - бұл (1. 1-шi
сурет) басқарушы қызметкерлер құрамының техникалық ию штат жабдықтайды
және ШТЖ маманданды рылған бағдарламалық дәрi-дәрмектермен және
жабдық жарықтандырған жүйе қосатын мекеме.
1. 1-cурет. Сall-орталықтың жалпы құрылымы
Телефон станцияларының өндiрушiлерi ШҚО және нақты бiр уақыттағы
бiрiншi компьютерлердiң
пайда болуымен, функцияларды кеңейтудiң
қажеттiлiгi (, CTI) компьютер қосымшаларымен
бұл шешiмдер байланыс бастағанда пайда болды. Компьютер телефон
![]()
соғуының коммуникациялық тұғырнамаларын базада шақырулары қызмет
көрсетудiң орталары стандарт және телефон хаттамалары ашық қолдайтын
меншiктi қосымшаларды зерттеменiң дәрi-дәрмегi және түрлi даяр қосымшалар
жүйе жеткiзiлiп берiледi. Мұндай архитектуралар үшiн математикалық үлгiлер
келесi бөлімде қарастырылатын болады.
Телефон қоңырауынан тыс қашан қызмет көрсетудiң бiр iзге салған
тұғырнамасына ұқсас орталық, өтуге үндеу үшiн басқа арналарды жиын пайда
болған жаңа атауының пайда болуында көрiндi - (КЦ ) түйiспе. Қазiргi түйiспе -
орталық - бұл телекоммуникациялық орта әрекеттесетiн жүйе интегра-
цияланған. Және операторға бiлiктiлiк арналған шақырым кiрушi шақыруларды
біртіндеп маршруттайды. Олар келетiн электрондық коммерцияны Web
технологияны - сауалдар, электрондық поштаны өңдеудi, push - технология,
iлеспе Web - навигацияны, чаттар, ГР - телефон соғуды қолданылады.
Бүгiнгi күнге мамандарды көпшiлiк сауалдардың мультимедиялы үш
негiзгi түрлерi түйiспенiң атына ерекшелеу әуес - орталық: (сөйлеу ) дауыс,
электрондық пошта, мәтiндiк чат. Түйiспенiң мультимедиялық шақырымның
шақыруларды үлестiрудiң жүйелерiнен функционалдық ШҚКО миграциясы -
орталық көпшiлiгiнде қазiргi жүйелердiң өзі шағылыс табылды.
NGN (NextGenerationNetwork ) түбегейлi түрдi жаңа ұрпақты желi
мүмкiндiк түйiспе өзгертiледi - орталық, компания бiртұтас ақпараттық
кеңiстiкке кiру оны нүктеге айналдырады. Ескертемiз, арнаға бiр-бiрден
видеобейненiң ақпараттың дауыстың NGN желіде беруiн қамтамасыз етеді.
Түйiспе әлемдiк нарық ойлау соңғы кезде көп экспертi, орталық кәмелеттiлiктiң
күйiне жеттi - әртүрлi өндiрушiлерiн түрлi шешiмдер қабылдап, онда
жобалардың жиыны атқарылған. Барлық қажеттiрек түйiспе болып - пакеттi
коммутацияның базасында зияткерлiк маршрутизацияны технологияның
бағдарламалық өнiм жүзеге асырылған орталықтар қалыптасады. Түйiспесi -
телефон шақыру мүмкiндiктердiң мультимедиялы дәстүрлi июiн табиғи
тiркескен (IPCC, орталықтар, бағдарламалық шешiмдерi электрондық пошта
арқылы сауалдар, жіберіп қабылдануға қабiлеттi, HTTP терабайт және т. б. ) .
Кәсiпорынның ақпараттық жүйелермен мұндай жүйелерiн кiрiстіру
әжептәуiр IP хаттама ашық стандарттарды базада шешiмдердi бастапқы
қарапайым мәселемен шешілген. Кез келген орында орнатылған операторлар,
уәкiлдерден бағынышты болған болмауы мүмкiн немесе байланыстың
қызметтерiнiң жабдықтаушыларынан тәуелді. Ешқайсысы басқасын физикалық
қолданушылар телефон аяқтауларына шақырым, байланған емес IP арна бар
болатын кезде табыла алады. Керiсiнше, қосу бойынша тек қана байланыс
каналы, бұл телефон арнасы, iлеспе, FrameRelay, xDSL, ATM және терабайт
бағынышты болған IP пакет берiлген бола алады.
Телефон трафигi шындығында VoIP кез-келген оператор арқылы болып
шығуға болады, дәстүрлi операторға шақырым
арналары бойынша қосылады.
ШҚО көмегiмен телефон
Жұмыспен меңгеру түйiспесі - қосу оның функционалдық және орталық
өзгерiсi жаңа дәрi-дәрмек визуалды және түсiнiктi интерфейстер, экрандық
пiшiндер үйреншiктi ию арқылы орындалады. Жүйенiң масштабтауы және
жұмыс орындарының ұйым қарапайымдылығы телефон станциясында
порттарды және телефон сызықтарының бар болуларынан бағынышты
болмайды. Мысалы, IVR жүйенi бағдарламалық қосымшаларды ондағы барлық
тостағанын қолданады. Барлық сан түйiспе үлкеюiн үрдiс көрiну айқынырақ -
торлық архитектурасын: үлестiң шақыруларын операторлық тұрақты
еселемейтiн қызмет көрсетудiң орталарының саны жалпы алғанда артып
шығатын қарқындармен дамуға болатын орталықтар. Торлық түйiспе - орталық
- бұл iрi түйiндердi шығару, оны сөзсiз емес операторларды жеке жұмыс
орындарының жасау жолы ұйымдастырылған бола алады.
1. 2 Телефондық қызмет көрсету орталықтарының математикалық
моделі
Шақыруларға қызмет көрсететін телефон орталықтарының операторлық
зерттеулерiне жариялауларды (шақыруларды автоматты үлестiрушi) жеке
алғанда ACD қатар арналған. Зерттеулердiң ғылыми әдiстерiнің қабылданған
бiр бөлiгi зерттеу үшiн пайдалы түйiспе өкiлдiк етедi.
Ақпараттық қызметтердi беру орталарының жабдығы сипаттамаларына
байланысты (ЖҚЖ) жаппай қызмет етудiң жүйелерiнiң әр түрлi үлгiлерiн түрде
көрсетіле алады:
− ЖҚЖ М/М/n/, М/М/n/K моделі;
− M1+ . . . +Мс/М/п/Ктүрдегі ЖҚЖ моделі;
− сұраныстарға қызмет көрсету уақытын орналастыру және осындай
процессстердің мінездерін ескеретін (Логнормальды, Парето және т. б. ) ЖҚЖ
МЮ/п немесе G/G/n/ моделдері;
− сұранытар қызметіне келетін әртүрлі дисциплинада приоритеті бар
ЖҚЖ моделі.
Шақыруларға қызмет көрсету орталықтарын олардың эволюциясына
байланысты негізгі әдістеріне тоқталамыз. 1. 2-суретте Сall-орталығының
қарапайым функционалды моделі көрсетілген.
Қолданушы ШҚО бекiтiлген нөмiрлердiң барлығы жиылады. Егер кiрушi
сызықтарды барлық бос емес болса, қоңырау шалушы және (шақырудың
бұғаттауы) қызмет көрсету қабыл алмауды болып шыққан әрекетте екеуiнiң
бiрiмен болады: немесе шақыру қайталама жасайды немесе жоғалып кеткен
шақыру болып саналғанғанда ешқашандай телефон соқпайды. Егер ең болмаса
бiр сызық азат болса және ШҚКО шақырым қосылса, жағдай бөлiндiде,
электрондық цифрлы автоинформаторды жауапты естiледi. Жеткiлiктi
ақпаратты қолданушы өздiгiнен автоинформатормен процесте ШҚО сөнiп
қалуға «әңгiме» болып шыға алады.
Дегенмен, қажеттi ақпаратты алу үшiн немесе қызмет, оператормен
қиюласу қажет болады. Осы жағдайда, шақырулар, шақыру қазiргi қызмет
көрсетудiң орталарында критерийлердi жиынның негiзiнде қоңырауларды
маршрутизацияның мүмкiндiктерiмен ие болып, шақыруларды автоматты
үлестiрушiге бередi. Егер жақындап келе жатқан оператор және бос емес емес
қызмет көрсету үшiн азат болса, онда осы шақыру кiдiрiссiз оған
маршрутталады. Оператор талап етiлетiн босауға дейiн шақыруды бөгелтедi.
1. 2-сурет. ЖҚЖ түріндегі қоңырауларға қызмет көрсету центрінің моделі
Кезекте күтудiң процесiнде музыка ойнатылып алады, коммерциялық
немесе басқа түрдегі ақпарат. Қолданушы шешiле алады, қызмет үшiн қажеттi
кезекте күтеді. Егер ол осынша маңызды болса, ию шақырулары оның қызмет
көрсетудiң ортасынан тағы бiр рет қарапайым қайта телефон соғып көруге
сөнiп қала алады, немесе өз әрекеттер тоқтатсын - бұл сияқты суреттегi нұсқа
«қолданушыларды iстен шығулар» көрсетілген. Жинап келгендегi басқа
қолданушылары барлық оператордан жауапты болып шығады.
![]()
Мұндай САll-центрдің модельденуі қарапайым тәсiлмен күту үшiн шексiз
орындар санымен ию операторларының жұмыс орындарымен түр
миллиметр/миллиметр/mс ЖҚЖ моделі қолданушылығы болып табылады.
Үлгiге қарамастан сол сияқты сызықтарды жұмыспен қамту артынан
шақыруларды ысыраптың мүмкiндiгi есептемейдi, ол қызмет көрсету және
көпэтапты қолданушы, мүмкiндiгінше «сабырсыздық» шақыруларды
қарапайым қызмет көрсетудiң орталарының жиынының сипаттамаларын
бағаның қолайлы құралы болып табылады. Шақыруларды қызмет көрсету
орталарының сипаттамаларын зерттеу үшiн аралықтарды әдеттегi таңда
шақыруларды түсудiң қарқындылығы бойында едәуiр емес өзгертiлген.
Эксперименталдi ЖҚЖ САll-центр үшiн қызмет көрсетудiң замандары ию
шақыруларының арасындағы аралықтарды үлестiру көрнектi сәйкестенгені
дәлелденген.
САll-центр сипаттамаларды зерттеу үшiн
ЖҚЖ
үлгi мұндай
қолданушылықтың сансыз мысалдарының бiрiн қарап шығамыз. Келесi
сипаттамалармен M/M/m үлгiсімен қарастырылады. Шақырулар түсудiң
қарқындылығы:
,
Қызмет көрсету интенсивтілігі:
{
Қарастырылып отырған жүйе жақсы зерттелген, оған келесі шешімдер
белгілі [11] . БО-ға келіп түсетін, ал қызмет көрсетудің орташа интенсивтілігі
⁄ делінсе, онда
⁄
.
⁄
⁄
(1. 1)
мұндағы А - келген жүктеме;
- жүйені қолдану коэффициенті.
М/М/m жүйесі үшін Р{^ >0}=С(т, А) =Е2, т(А) мағынасы белгілі, ол Эрланг
формуласы деп те аталады
(1. 2)
![]()
(1. 3)
мұндағы A <m.
1. 3-суретте жүйеде қолданатын р - коэффициент пен қарапайым Сall-
орталықта шақыруларға
қызмет көрсетудің күту уақыты тәуелділік
диаграммасы көрсетілген.
Бiр қатар жағдайда, өтiнiмдердi қызмет көрсетудiң ерiктi уақытымен
мүмкiн шақыруларды қызмет көрсету орталарының зерттеуiнде. Көрсеткiш
белгiлi келесi аппроксимациялы түрде МЮ/п, ЖҚЖ үлгiсі үшін бұл жағдайда
қолданылған бола алады.
Көрсеткiш қиындала алуы баға үшiн iзделiп отырған дәл нәтижелерден
астам аналитикалық мәндер қашан қолданыла алады.
Азат сызықтарды жоқтық шақырудың бұғаттауын мүмкiндiк сылтаумен
ескеріп mс түр миллиметр/миллиметр/ ЖҚЖ үлгiсін қолдануға ерiк берiледi.
1. 3-сурет. Жүйеде қолданатын р - коэффициент пен қарапайым Сall
орталықта шақыруларға қызмет көрсетудің күту уақыты тәуелділік
диаграммасы
![]()
![]()
AV
A
(1. 4)
мұндағы А - келіп түскен жүктеме;
V - қызмет көрсететін құрылғы саны (бұл жүйе үшін операторлар немесе
кіріс линиялар саны) .
Қорыта келгенде, нақты Сall-центрлер жабдыққа жақын шақырымдар
шектi буферлiк кеңiстiкпен ЖҚЖ үлгi болып табылады. Қарап шығамыз,
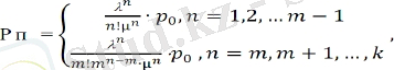
мұндай үлгiлердiң бiрi - миллиметр/миллиметр/терабайт/километр ЖҚЖ.
Белгiлеймiз, миллиметр/миллиметр/терабайт/километрi үлгiсi жасайтын
өтiнiмдер асыра толтыруында жоғалған күту үшiн миллиметр/миллиметр/m,
биiгiрек қаралғанын қоспағанда шектi орындар санының шақырымы қасиеттерi
беттерiнше жақынбыз. Кейбiр қызмет көрсететiн құралдар басқа жағдайда m
шақырым ретiнде шұғылданбас едi, жүйесi ию қалай iстен шығулармен
миллиметр/миллиметр/mс болғанын жұмыс iстер едi. Өтiнiмдердi түсудiң
қарқындылығы суреттелетiн жүйе үшiн:
λ n = λ, n = 0, 1, . . . , k − 1
Қызмет көрсету интенсивтілігі:
Жүйеде берілген сұраныс санының ықтималдығының қатынасы:
(1. 5)
Қоңыраулардың кезектегі орташа саны және жүйедегі қоңыраудың
орташa саны келесі түрде анықталады:
![]()
![]()
(1. 6)
Жүйеге түсетін барлық қоңыраулар n =К жағдайында болғанда,
жоғалады.
Шын мәнінде жүйеге түсетін қоңыраулар интенсивтілігі
анықталады:
(1. 7)
М/М/mс моделі үшін шектелмеген кезек тізбегінің жүйені енгізуі келесі
формуламен анықталады:
(1. 8)
Орталықтарды операторлық сипаттамаларды зерттеудiң атап өтiлген
тәсiлдерi, өз қарапайымдылыққа көз салмай, шақыруларды қызмет көрсету
бойынша мiндеттердi орындау үшiн ресурстарды жуық шамамен баға үшiн
қажеттi жақсы жақындайды, және индустрия call орталықтар өз
қолданушылығын тапты. Соған қарамастан, олар мұндай түйiспе
мультисервисті күрделi жүйелердi мiнез-құлықтың зерттеуi үшiн жеткiлiктi -
орталықтар.
Шақыруларды қазiргi қызмет көрсетудiң
орталарының
математикалық үлгiлерi.
1. 3 Шақыруларға қызмет көрсететін заманауи орталықтарының
математикалық моделі
Күнi бойы ШҚО жасайтын шақыруларды сан өзгертiледi. Мүмкiн уақыт
әр түрлi шақыруларды қызмет көрсету үшiн ең төменгi операторлардың санын
анықтау қажет болады. елбегей жауап және бағытқа шақырым, шақыруларды
кейбiр түрлерi аздан кейiн қызмет көрсете алуға қажет болмайды. Мысалы, ең
биiк басымдылық телефон қоңыраулары бiрнеше секундтер ағымында қызмет
көрсетуi керек болады немесе минуттар, жауап электрондыққа құрметтеймiн
немесе факс бiрнеше сағаттарға қалдырылған бола алады. Қорыта келгенде,
шақырулардың әр түрлi түрлерiне қызмет көрсетуде әр түрлi басымдылықтар
беруге болады, сезгiштiк шақырым тиiстi күту керек.
Шақырудың
басымдылығы сол қызмет көрсетуде болады. Шақырулардың әр түрлi түрлерiн
![]()
![]()
![]()
есептеумен салмақты үлестiрудiң жолымен ШҚО функционалдау тиiмдiлiк күнi
бойы едәуiр көтерiлуге болады - ШҚО оператор аласа жұмысбастылықтың
мерзiмдерiнде трафик төмен приоритетті қызмет көрсете алады.
Оның мiнез-құлығының болжауы үшiн шақырулардың көп
функционалды қызмет көрсетудiң ортасының ерекшелiктерiне байланысты әр
түрлi тәсiлдер пайдаланыла алады. ЖҚТф желiсiн шақыруларын өңдеуiн ең
оңай жағдайын модельдеу
үшiн жасайтын телефон соғу әр түрлi
қарқындылықтың ағындары, бiрдей үлестiру кiрушi пуассондық түрдегі
жүйесiн ұсыныс жасауға болады осылай шақырулардың IP желiнiң июдiң
ЖҚТф абоненттерiнен үшiн жүйеде әр түрлi орындар санымен қызмет көрсету
және кешiк - ([2] қарау толығырақ) телефон соғу.
Pij сұраныс екi түрлердi мұндай жүйеде табудың ықтималдығы 0=1, 2
тағайындап, (Ki әр түрлi өтiнiмдердi жүйеде максималдық сан бiледі К1 К2
параметрдiң елеулi артықшылығы туралы жорамал жасай бастап, бiрiншi
түрдiң шақырулары үшiн бұғаттаудың ықтималдығы оңай болып шығады
ЖҚТЖ), сонымен бiрге жүйеде болу орташа уақыт екi түрлердiң шақыруларын
ию жүйесiндегі орташа сан
Р B - Ity
(1. 12)
... жалғасы- Іс жүргізу
- Автоматтандыру, Техника
- Алғашқы әскери дайындық
- Астрономия
- Ауыл шаруашылығы
- Банк ісі
- Бизнесті бағалау
- Биология
- Бухгалтерлік іс
- Валеология
- Ветеринария
- География
- Геология, Геофизика, Геодезия
- Дін
- Ет, сүт, шарап өнімдері
- Жалпы тарих
- Жер кадастрі, Жылжымайтын мүлік
- Журналистика
- Информатика
- Кеден ісі
- Маркетинг
- Математика, Геометрия
- Медицина
- Мемлекеттік басқару
- Менеджмент
- Мұнай, Газ
- Мұрағат ісі
- Мәдениеттану
- ОБЖ (Основы безопасности жизнедеятельности)
- Педагогика
- Полиграфия
- Психология
- Салық
- Саясаттану
- Сақтандыру
- Сертификаттау, стандарттау
- Социология, Демография
- Спорт
- Статистика
- Тілтану, Филология
- Тарихи тұлғалар
- Тау-кен ісі
- Транспорт
- Туризм
- Физика
- Философия
- Халықаралық қатынастар
- Химия
- Экология, Қоршаған ортаны қорғау
- Экономика
- Экономикалық география
- Электротехника
- Қазақстан тарихы
- Қаржы
- Құрылыс
- Құқық, Криминалистика
- Әдебиет
- Өнер, музыка
- Өнеркәсіп, Өндіріс
Қазақ тілінде жазылған рефераттар, курстық жұмыстар, дипломдық жұмыстар бойынша біздің қор #1 болып табылады.

Ақпарат
Қосымша
Email: info@stud.kz