Функцияның нүктедегі шегі


Кіріспе.
І бөлім. Функция ұғымы.
1. 1. Функция ұғымы, функцияның берілу тәсілдері.
1. 2. Функциялардың негізгі қасиеттері.
1. 3. Негізгі элементар функциялар.
ІІ бөлім. Функцияның шегі және үзіліссіздігі .
2. 1. Функцияның нүктедегі шегін есептеудің әдістері.
2. 2. Функцияның шегін есептеуге қажетті формулалар.
2. 3Функцияның бір қалыпты үзіліссіздігі
ІІІ бөлім Функцияның қасиеттері
Функцияның қасиеттері: өсуі жəне кемуі, шектеулілігі, жұптылығы мен тақтылығы, периодтылығы, таңба тұрақтылық аралықтары
Қорытынды.
Қолданылған әдебиет.
К І Р І С П Е
Мектеп математикасы курсындағы функция ұғымы негізгі ұғымдардың біріне жатады. Функциялық тәуелділік өмірдегі өзгерісті нақты және толық түрде кескіндеуге мүмкіндік береді, ол шамалар арасындағы өзара байланысты түсініп анықтауға үлкен септігін тигізеді.
Функция ұғымы тек математикада ғана емес, басқа оқу пәндерінде де кеңінен пайдаланылады. Өйткені, табиғат құбылыстары арасындағы байланыстар математикалық түрде өрнектелгенде, яғни қарастырылып отырған шамалар арасында функциялық тәуелділік берілгенде ғана, тек сонда ғана нақты заңдылық түрінде тұжырымдама алатындығы белгілі. Сондықтан, мектеп оқушыларының функция ұғымын дұрыс меңгеруіне көп көңіл бөлінуі керек. Функция ұғымының ғылымға енуі Р. Декарттың “айнымалы шама” ұғымымен тығыз байланысты. “Функция” ұғымын ғылымға (XVII ғ-ң аяғында) Г. Лейбниц енгізді. Ол латынның “функтус” деген сөзінен шығып, қазақ тілінде “атқару” деген мағынаны білдіреді.
Табиғат құбылыстарын зерттеу жаратылыстану ғылымдарында кездесетін шамалар ұғымдарына алып келеді. Табиғат құбылыстарын байқау, тәжірибелер арқылы білу, физикалық, химиялық, биологиялық т. б. ғылымдарда кездесетін шамалардың өзара байланыста болатындығын көрсетеді. Мысалы:
1. Өткізгіштің бойымен электр тогы жүргенде, өткізгіш температурасы өзгеріп, жылу пайда болады. Электр тогының күші, өткізгіш кедергісі, уақыт және жылу мөлшерінің арасындағы тәуелділікті байқаймыз. Бұл мысалда электр тогының күші, өткізгіш кедергісі және уақыттың белгілі бір мәніне жылу мөлшерінің бір мәні сәйкес келеді.
2. Белгілі бір биіктіктен өз еркімен түсіп келе жатқан дененің қозғалысын байқап, уақыт пен дененің жүрген жолы ұзындығының арасындағы өзара байланысқа назар аударалық. Мұнда уақыттың әрбір мезетіне жолдың бір тиянақты ұзындығы сәйкес келеді.
Осындай мысалдарды көптеп келтіруге болады.
Анықтама. Егер бір белгілі ереже немесе заңдылық бойынша
жиынындағы
-ң әрбір мәніне
жиынының тиянақты бір
мәні сәйкес келсе, онда
-ті
жиынында анықталған немесе берілген функция деп атайды және оны былай жазады:
т. б. (1)
жиынында өзгеретін айнымалы
-ті тәуелсіз айнымалы немесе функцияның аргументі деп ататйды,
жиынында өзгеретін айнымалы
-ті тәуелді айнымалы немесе функция деп атайды. Тәуелсіз айнымалы немесе аргумент
өзгеретін
жиынын функцияның анықталу облысы деп атайды, ал тәуелді айнымалы немесе функция
өзгеретін
жиыны функция мәндерінің облысы деп аталады. Сонымен, функция, аргумент ұғымдары - өзімізді қоршап тұрған табиғаттың құбылыстарын зерттеудің нәтижесінде пайда болған ұғымдар.
І бөлім. Функция ұғымы.
1. 1. Функцияның берілу тәсілдері және оның негізгі қасиеттері.
Функциялар әр түрлі тәсілдер арқылы берілуі мүмкін. Біз функциялардың кестелік, графиктік және аналитикалқ тәсілдермен берілуіне тоқталамыз.
1. Функцияның кестелік тәсілмен берілуі. Функция кестелік тәсілмен берілген жағдайда алдымен аргумент мәндері алынады да, сонан кейін әр аргументке сәйкес келетін функция мәндері анықталып, кесте құрылады.
функциясы үшін кесте құрамыз:
















Берілген аргументтердің мәндері бойынша функцияның мәндерін анықтау біздерге қиын есеп емес. Алгебра курсынан белгілі:
жағдайы үшін
функцияларының мәндері кесте арқылы анықталған,
аралығында өзгергенде
функциясының мәндері, ал
үшін
функциясының мәндері кесте арқылы анықталған. Логарифмдік функцияның кестесі де функцияның кестелік тәсілмен берілуінің мысалы бола алады.
2. Функцияның графиктік әдіспен берілуі.
Анықтама.
қос сандар жиынын
функциясының графигі деп атайды. Функцияның графигін координаттық жазықтыққа салады. Өзара перпендикуляр екі координаттық түзу және оларға ортақ
координаттар басы орналасқан жазықтықты координаттар жазықтығы дейді. Горизонталь орналасқан түзуді абсциссалар осі деп атайды да,
-пен белгілейді, вертикаль орналасқан түзуді ординаталар осі деп атап,
арқылы белгілейді, ал олардың қиылысу нүктесін координаттар басы дейді, оны
әрпімен белгілейді. Тәуелсіз айнымалы
-ң мәндері абсциссалар осіне салынады. Ал
-ң мәндері ординаталар осінің бойына салынады.
нүктелер жиыны берілсін.
осіне параллель түзулердің кез келгені осы нүктелер жиынын бір ғана нүктеде қиып өтетін болса, онда бұл нүктелер жиыны бір мәнді
функциясын анықтайды.
Сонымен, абсциссалары - тәуелсіз айнымалы, ал ординаталары - функция мәндері болып келген
жазықтығындағы
нүктелер жиынын
функциясының графигі деп атайды.
Бір мәнді
функциясының графигі
жазықтығында орналасқан (функцияның анықталу облысына байланысты) біртұтас қисық. Анықталу облысының ішінде
осіне параллель жүргізілген түзулер қисықпен бір ғана нүктеде қиылысады
қисығы -
анықталу облысы болатын функцияның геометриялық кескіні.
3. Функцияның аналитикалық тәсілмен берілуі. Айнымалылар арасындағы сәйкестік формуламен берілсе, онда функция аналитикалық түрде берілді дейді. Төменде берілген функциялар аналитикалық тәсілге мысал бола алады:
1) Тура пропорционалдық тәуелділік -
, мұнда
- тұрақты,
- тәуелсіз айнымалы,
- тәуелді айнымалы.
2) Кері пропорционалдық тәуелділік -
мұнда
- тұрақты,
- тәуелсіз айнымалы,
- тәуелді айнымалы.
3) Сызықтық функция -
, мұнда
және
- тұрақты сандар,
- тәуелсіз айнымалы,
- тәуелді айнымалы.
4) Көрсеткіштік функция -
, мұнда
- тәуелсіз айнымалы,
- тәуелді айнымалы.
5) Логарифмдік функция -
, мұнда
- тәуелсіз айнымалы,
- тәуелді айнымалы.
6) Дәрежелік функция -
мұнда
- кез келген нақты сан,
- тәуелсіз айнымалы,
- тәуелді айнымалы.
7) Тригонометриялық функциялар -
, мұнда
- тәуелсіз айнымалы,
- тәуелді айнымалы.
8) Кері тригонометриялық функциялар -
, мұнда
- тәуелсіз айнымалы,
- тәуелді айнымалы.
Міне, осы функциялардың барлығы - аналитикалық тәсілмен беріліп тұрған функциялар. Осы функциялардың көптеген қасиеттерін білеміз. Анықталу облыстарын және мәндерінің өзгеру облыстарын анықтай аламыз. Графиктерін құра аламыз.
Енді функциялардың негізгі қасиеттеріне тоқталайық
1. 2. Жұп және тақ функциялар.
Егер
жиынында оның кез келген
элементімен қатар
элементі де бар болса, онда бұл жиын симметриялы жиын деп аталады. Мысалы,
- симметриялы жиындар.
Анықтама. Егер
функциясының анықталу облысының кез келген
үшін
теңдігі орындалса, онда ол жұп функция деп аталады.
Анықтама. Егер
функциясының анықталу облысының кез келген
үшін
теңдігі орындалса, онда ол тақ функция деп аталады.
Мысалы,
- жұп функция, себебі:
- тақ функция, себебі:
Ал
функциясы жұп функцияға да, тақ функцияға да жатпайды, себебі:
Жұп функцияның графигі ордината осіне қарағанда симметриялы қисық болады. Тақ функцияның графигі бас нүктеге қарағанда симметриялы қисық болады.
Мысалы: 1.
; 2.
функцияларының графиктерін салайық.
1.
- жұп функция.


Енді осы нүктелерді координаталар жазықтығына түсірелік. Нүктелерді толқынды қисықпен қоссақ,
параболасы шығады .
2.
- тақ функция.


Осы нүктелерді координаттар жазықтығына түсіріп, оларды толқынды қисықпен қоссақ,
кубтық параболасы шығады (4-сурет) .
Тригонометриялық функциялардан
- жұп функция, ал
функциялары тақ функциялар болып табылады.
Мысалы: а)
; б)
; в)
функцияларын жұп-тақтылыққа зерттеу керек.
Шешуі: а)
, олай болса,
, барлық
үшін функция жұп болады.
б)
, олай болса,
, барлық
үшін функция тақ болады.
в)
, яғни
және
болғандықтан, функция жұп та, тақ та емес.
3. Бірсарынды функциялар.
функциясын
аралығында қарастырайық.
Анықтама. Егер
функциясының анықталу жиынындағы кез келген
сандары үшін
теңсіздігі орындалса, онда
функциясы өспелі функция деп аталады.
Анықтама. Егер
функциясының анықталу жиынындағы кез келген
сандары үшін
теңсіздігі орындалса, онда
функциясы кемімелі функция деп аталады.
Анықтама. Егер
функциясының анықталу жиынындағы кез келген
сандары үшін
болса, онда
функциясын кемімейтін (өспейтін) функция деп атайды.
Мысалы,
және
екі көрсеткіштік функцияларын алайық. Бірінші функцияның негізі
, сондықтан ол өспелі функция болады. Оны анықтама арқылы тексеріп көрсек болады.
деп алайық,
, яғни
, ал
. Өспелі функцияның анықтамасындағы теңсіздік орындалды. Екінші
функциясының негізі
. Бұл жағдайда
, ал
, сонда
. Демек,
функциясы - кемімелі функция. Функциялардың графиктері төмендегідей болады (5-сурет) .
Өспелі және кемімелі функцияларды және өспейтін функцияларды бірсарынды функциялар деп атайды. Мысалы,
функциясына назар аударсақ,
аралығында функция - кемімелі, ал
аралығында функция - өспелі.
функциясы
аралығында - өспелі функция.
4. Периодты функциялар.
Егер
функциясының аргументі
-ке
санын қосқаннан функцияның мәні өзгермесе, яғни
теңдігі орындалса, онда ол периодты функция деп аталады.
және
нүктелері - функцияның анықталу облысындағы нүктелер.
саны функцияның периоды деп аталады.
Мысалы: а)
функциялары -
периодты функциялар,
. Бұл функциялар үшін
- ең кіші периоды. Сонымен бірге, бұл функциялар -
периодты функциялар, яғни
,
.
б)
функциялары -
периодты функциялар, яғни
,
- бұл функциялардың ең кіші периоды. Сонымен бірге, бұл функциялар -
периодты функциялар, яғни
,
. Тригонометриялық функциялардың периодты функция болатындығын дәлелдеу қиын емес.
функциясының периодтылығын дәлелдейік, яғни
болатынына көз жеткізейік. Ол үшін
формуласын пайдаланамыз. Сонда
, ал
екенін ескерсек,
. Демек,
.
1. 3. Негізгі элементар функциялар.
Элементар функцияларға дәрежелік, көрсеткіштік, логарифмдік, тригонометриялық және кері тригонометриялық функциялар жатады.
1. Дәрежелік функция.
түріндегі функция осылай аталады, мұндағы
- кез келген нақты сан, яғни
болғанда рационал функция
шығады және ол сан түрінде анықталады.
болғанда
және
функциялары шығады. Бұлардың графиктерін тиісінше квадрат және кубтық парабола дейді.
Осыған орай, кейде
функциясының графигін
-ші дәрежелі парабола деп те атайды. Егер
бүтін теріс сан болса, яғни
, онда
функциясын алар едік, ол координаттар жүйесінің бас нүктесінда анықталмайды, яғни
аралығында анықталады.
болғанда
функциясы шығады және оның графигінің тең бүйірлі гипербола деген арнайы атауы бар. Егер
(мұндағы
- оң бүтін сан) болса, онда
иррационал функция шығады. Қарастырған мысалдарға сүйеніп, дәрежелік функцияны
аралығында анықталады деп айтуымызға болады.
Көпмүшелер. Мынадай функция қарастырайық:
Көпмүше - дәрежелік функциялар мен тұрақты сандардың көбейтінділерінің қосындысы болғандықтан, ол бүкіл нақты сандар жиынында анықталған.
болғанда біріші дәрежелі көпмүше аламыз:
, мұны сызықтық функция деп атайды. Ол нақты сандар жиынында анықталған. Мысалы,
сызықтық функциясын қарастырайық. Шешуі: сызықтық функцияның графигі түзу болады. Ал түзуді салу үшін оның екі нүктесін білу жеткілікті. Кестені толтырайық.


(
аргументіне 0 мен 4 мәндерін бердік те,
формуласы бойынша
-ң сәйкес мәнін таптық) Координаталық жазықтықта
және
нүктелерін белгілейміз де, осы нүктелер арқылы түзу жүргіземіз. Сондай-ақ, функцияның абсцисса және ордината осьтерімен қиылысу нүктелерін табу үшін функцияның сәйкесінше нөлдерін анықтау қажет. Ордината осімен қиылысу нүктесін жоғарыда
деп алып,
-ті таптық, ал абсцисса осімен қиылысу нүктесін табу үшін
теңдеуін шешу жеткілікті.
, яғни
нүктесінде
функциясының графигі абсцисса осін қиып өтеді.
функциясының графигі
болған жағдайда мынадай болады (7-сурет) .
болғанда
нақты сандар жиынында анықталған, графигі парабола болатын квадрат үшмүше аламыз:
.
болса, параболаның тармағы жоғары, ал
болғанда - төмен бағытталады (8, а, б, в-сурет) .
Күрделі функция ұғымы
функциясы берілсін. Тәуелсіз айнымалы
, яғни
жиынында өзгерсін, ал функция мәндерінің жиыны
болсын. Айнымалы
өз кезегінде айнымалы
-ке тәуелді функция деп қарастырайық. Сонда
-
жиынында анықталған функция, ал
. Осы шарттар орындалған жағдайда
жиынында анықталған
функциясын күрделі функция деп атайды.
Мысалы: а)
, ал
. Сонда
айнымалы
бойынша күрделі функция; б)
, ал
. Сонда
-
бойынша күрделі функция; в)
, ал
, сонда
- айнымалы
бойынша күрделі функция.
ІІ Бөлім Функцияның шегі және үзіліссіздігі.
Функцияның шегі.x саны x 0 санына ұмтыла берсін, бірақ оған тең болмасын. Бұны x→x 0 деп белгілейміз.
Мысалы мына сандар тізбегінің n -ші мүшесі, n өскен сайын нөлге ұмтылады (бірақ нөлге тең болмайды) :
, …
Аңықтама.
A саны y=f(x) функциясының x→x 0 ұмтылғандағы шегі деп аталады, егер x 0 санына ұмтылған кез келген x 1 , x 2 , x 3 , … сандар тізбегі үшін сәйкесінше f(x 1 ), f(x 2 ), f(x 3 ), … сандар тізбегі A санына ұмтылса.
Бұны
= A деп белгілейді.
Мысал.
y = x
2
болса онда
. Өйткені нөлге ұмтылған кез келген
x
1
, x
2
, x
3
, …
сандар тізбегі үшін
x
1
2
, x
2
2
, x
3
2
, …
сандар тізбегі де нөлге ұмтылады ғой.
1) .
(
бірінші тамаша шек
) .
2) .
(1+
)
x
=
e
, мұндағы
e
2, 718… (
екінші тамаша шек
) .
Функцияның нүктедегі шегі.
Анықтама. Алдын-ала берілген
саны бойынша
саны табылып, айнымалы
-ң
теңсіздігін қанағаттандыратын барлық мәндері үшін
теңсіздігі орындалса, онда
саны
функциясының аргументі
санына ұмтылғандағы шегі деп аталады. Оны былай жазып көрсетуге болады:
Берілген анықтаманы функцияның нүктедегі шегінің “
” тілінде берілген анықтамасы деп атайды. Бұл анықтама мына мағынаны береді:
нүктесінің
аймағында, яғни
аралығында өзгергенде,
санының
аймағында, яғни
аралығында өзгереді.
2. 1. Функция шегін есептеудің кейбір әдістері.
1. Келтіру әдісі. Функциялардың шектерін табу ережелері (қосындының, көбейтіндінің, бөлшектің шектері туралы теоремалар) “тамаша шектер” деп аталатын
(1)
(2) түріндегі шектерді пайдалануға негізделген.
(1) формуламен берілген шекті “бірінші тамаша шек”, (2) формуламен берілген шекті “екінші тамаша шек” деп атайды. Формуладағы айнымалыны белгілі бір шарттарды қанағаттандыратын функциямен алмастырғанда да формуладағы негізгі заңдылық сақталады. (1), (2) және т. с. с. формулалар үшін ортақ шарт -
-ң координаттар басында шектеусіз аздығы. Мұны жалпылап, яғни
шектеусіз аз шама деп қарастырамыз да,
-ң орнына
-ны қойып, жалпы түрде жазылған формулаларды аламыз.
немесе
;
;
;
;
;
.
Функцияның шегін есептеу негізінен осы формулалар арқылы орындалады және бұлар есеп шығаруда пайдалануға қолайлы. Бұл формулаларды пайдалану үшін алдымен берілген есептің құрылымы осы формулалардың бірімен ұқсас болуы және ондағы шарттар орындалуы керек. Берілген өрнектің ұқсастығы аз болса, тиісті түрлендірулер жасалады да, құрылымы жағынан ұқсас өрнекті функцияның оң жағындағы санмен алмастырады. Есепті осы әдіспен шығаруды формулаға келтіру немесе қысқаша келтіру әдісі дейді.
1-мысал. Мынадай шекті табу керек:
. Бұл шекті (1) формулаға келтіру арқылы табамыз, ол үшін бөлшектің алымын да, бөлімін де бір санға немесе функцияға көбейткенде бөлшектің мағынасы сақталатындықтан, берілген шекті былай жазуға болады:
. Енді көбейтіндінің шегі туралы теореманы және тұрақты санды шектің алдына шығаруға болатындығын пайдалансақ:
.
Біз бұл арада
екенін пайдаландық.
2-мысал. Мынадай
функциясының
шегін табу керек. Бұл мысалды да түрлендірудегі мақсатымыз - бірінші тамаша шекті және функцияның шектерінің ережелерін пайдалану. Ол үшін берілген функцияны әр түрлі формулаларға немесе ережелерге келтірілетін құрылымдарға жіктеп жазу керек. Сонда:
.
3-мысал. Шекті табыңыз:
.
Біз алдымен
функциясы мен
функциясының
шектерін жеке-жеке есептейік. Бұл функциялар
нүктесіеде үзіліссіз. Үзіліссіз функцияның анықтамасы бойынша, олардың шектерін табу үшін
-ң орнына нөлді қос\йса болғаны. Сонда
;
.
Осылардың негізінде
.
4-мысал.
.
Шек белгісінің астында тұрған функцияның негізі
функциясының
шегі
-ке ұмтылады, ал
функциясының
шегі 1-ге тең, ал 1 саны оң болуына байланысты, қарастырып отырған шекті табу үшін (3) теңдіктердің біріншісін пайдалану керек. Сонда
.
5-мысал.
.
Негіздегі және көрсеткіштегі функциялардың
шегін табайық:
.
.
теріс сан болғандықтан, іздеп отырған шек келесідей түрде болады:
.
Егер
болса, онда
, ал
болса,
функциясының
шегі нөлге тең болады. Ерекше назар аударатын
жағдайы, бұл жағдайда
функциясы
нүктесінде
түріндегі анықталмағандықты береді.
анықталмағандығын ашу үшін берілген функцияны түрлендіріп, (2) “тамаша шекке” келтіру керек. (2) “тамаша шекке” келтіру деп берілген функцияны түрлендіру арқылы (2) формулаға ұқсастық жасауды айтады. Келтіру үшін былай жасаймыз:
өрнегі шығады. Ары қарай түрлендірулер 2-ші тамаша шектің құрамына байланыстырылған.
Осы өрнекті
дәрежеге шығарайық:
.
Енді осы теңдіктің екі жағынан
шек алсақ, онда
Бұл теңдіктің оң жағындағы фигуралы жақшалардың ішіндегі шек
-ге тең, өйткені ол шек астындағы функция (2) формуладағы қойылған шарттарды толығынан қанағаттандырады. Сонда
.
Теңдік функцияның шегі бар екендігін білдіреді.
Шынында да,
(4)
болса, онда бұл функцияның
шегі
-ке тең болады, ал
(5)
болса, онда нөлге тең болады.
Егер
(6)
(мұндағы
) теңдігі орындалса, онда қарастырып отырған функцияның шегі тұрақты шамаға тең болады. Сонымен, жоғарыда айтылғандарды қорытындылап, былай жазуға болады:
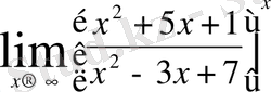
6-мысал.
шегін есептеңіз.
Шек белгісінің астында тұрған функция көрсеткішінің
шегі
-ке тең болатындығы бірден көрініп тұр. Берілген шекті есептеу үшін алдымен анықталмағандықтың бар-жоғын білу керек. Ол үшін негіздің шегін табу керек:
болғандықтан,
анықталмағандығы шығады. Сондықтан, қарастырып отырған шекті табу үшін түрлендіру жасап, оны (2) формулаға келтіруіміз керек. Сонда
.
2. Алмастыру әдісі.
Практикада
өрнегін бірден немесе түрлендіру арқылы есептеу мүмкін болмағанда,
алмастыруын жасайды. Жалпы жағдайда
функциясын алу туралы еш нәрсе айтуға болмайды. Дегенмен,
функциясын
-да жаңа айнымалы
тиянақты бір санға ұмтылатындай етіп және мына
шегін (мұндағы
дегеніміз -
-дағы
-ң ұмтылатын шамасы) бірден түрлендіру арқылы есептеуге мүмкіншілік болатындай етіп таңдап аламыз.
7-мысал. Мынадай шекті табу керек:
.
Түбірден құтылу мақсатында
алмастыруын жасаймыз. Аргументтің шектік
мәнін қойсақ,
теңдеуі шығады. Бас нүктедегі, яғни
нүктесіндегі шекті іздейтіндіктен, тригонометриялық теңдеудің шексіз көп шешімдерінің ішінен
-ді ғана аламыз. Сонымен,
-да
. Сонда
. Ал соңғы теңдіктің оң жағындағы шекті түрлендіру тәсілімен шығаруға болады. Шынында да,
.
Практикада
алмастыруын қолданғаннан гөрі
алмастыруын жасау қолайлырақ болады.
8-мысал. Мынадай шекті табыңыз:
.
Бұл мысалда иррационал өрнекті рационал өрнекпен ауыстыру арқылы алмастыру жасаймыз. Ол үшін
деп аламыз. Сонда
-да
, демек, берілген шек мына түрге көшеді:
.
9-мысал. Мынадай шекті табу керек:
.
Енді тәуелсіз айнымалыны нөлге ұмтылдыру үшін көмекші белгісіз енгіземіз. Шек белгісінің астында тұрақты
санын ұмтылу белгісінің (
) сол жағына шығарып, сонда шыққан
өрнегін көмекші айнымалы
-пен белгілейді. Онда
-да
, яғни
.
2. 2. Функциялардың шегін есептеуге қажетті формулалар.
Түбірдің дәреже көрсеткіші жоғары болған сайын есептеу процесі қиындай түседі. Мұндай қиыншылықтар шекті есептеуге қажетті формулаларды көбірек пайдалануға мәжбүр етеді. Төмендегі теоремалар осы мәселелерді дұрыс шешу мақсатымен беріліп отыр.
функциясы
ұмтылғанда
анықталмағандығын береді делік, басқаша айтқанда,
.
1-теорема.
Айталық,
және
функциялары
нүктесінде нөлге айналмайтын және
(
- кез келген оң сан) аралығында үздіксіз функциялар, ал
және
функциялары -
нүктесінің
-аймағында бірдей ретті шектеусіз аз шамалар, яғни
болсын, онда
және
функциялары төмендегі:
шарттарын қанағаттандырады.
(мұндағы
мен
- оң рационал сандар) .
Мынадай формуланы аламыз:
(1)
1-мысал.
.
Шешуі:
және
функциялары
-да нөлге ұмтылатындықтан, олардың құрамында қарапайым шектеусіз аз шамалар бар. Бұларды көбейткіштерге жіктеп жазайық:
.
Осы көбейтінділерден:
болғандықтан,
-ді есептеуіміз керек. Сонда:
. Сонымен,
болғандықтан, ізделінді шекті (1) -ді пайдаланып табамыз:
.
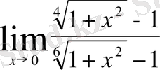
2-мысал. Мына шекті есептеңдер:
.
Шешуі:
нүктесінде
және
функциялары нөлге айналады. Сондықтан олардың құрамынан қарапайым шектеусіз аз функцияларды бөліп шығарамыз. Осы және басқа қажетті аралық есептеулерді екі вертикаль сызықтың арасына жазамыз. Сонда:
Ескерту. Егер
екендігі анықталса, онда
-ді есептеудің қажеті жоқ.
2-теорема.
(
- кез келген оң сан) аралығында үздіксіз
және
функциялары төмендегі шарттарды қанағаттандыратын болсын:
(4)
(5)
(6)
(7)
мұндағы
және
функциялары
нүктесінің аймағында бірдей ретті шамалар, яғни
(8) онда
(9)
Теорема (
) қос таңбамен алынып, жалпы жағдай үшін тұжырымдалған. Біз
функциясы шегінің формуласын қорытамыз.
Дәлелдеу.
және
екімүшелерін,
формуласына сүйеніп, көбейткіштерге жіктейміз:
(10)
Бұл теңдіктерден ізделінді шектің мына шектерге байланыстылығы көрінеді:
және
,
(4), (5) шарттарын пайдалансақ:
(11)
- Іс жүргізу
- Автоматтандыру, Техника
- Алғашқы әскери дайындық
- Астрономия
- Ауыл шаруашылығы
- Банк ісі
- Бизнесті бағалау
- Биология
- Бухгалтерлік іс
- Валеология
- Ветеринария
- География
- Геология, Геофизика, Геодезия
- Дін
- Ет, сүт, шарап өнімдері
- Жалпы тарих
- Жер кадастрі, Жылжымайтын мүлік
- Журналистика
- Информатика
- Кеден ісі
- Маркетинг
- Математика, Геометрия
- Медицина
- Мемлекеттік басқару
- Менеджмент
- Мұнай, Газ
- Мұрағат ісі
- Мәдениеттану
- ОБЖ (Основы безопасности жизнедеятельности)
- Педагогика
- Полиграфия
- Психология
- Салық
- Саясаттану
- Сақтандыру
- Сертификаттау, стандарттау
- Социология, Демография
- Спорт
- Статистика
- Тілтану, Филология
- Тарихи тұлғалар
- Тау-кен ісі
- Транспорт
- Туризм
- Физика
- Философия
- Халықаралық қатынастар
- Химия
- Экология, Қоршаған ортаны қорғау
- Экономика
- Экономикалық география
- Электротехника
- Қазақстан тарихы
- Қаржы
- Құрылыс
- Құқық, Криминалистика
- Әдебиет
- Өнер, музыка
- Өнеркәсіп, Өндіріс
Қазақ тілінде жазылған рефераттар, курстық жұмыстар, дипломдық жұмыстар бойынша біздің қор #1 болып табылады.

Ақпарат
Қосымша
Email: info@stud.kz