Штурм-Лиувиллдің шекаралық есебі

 
    
МАЗМҰНЫ
АННОТАЦИЯ
КІРІСПЕ
I-БӨЛІМ
- Түрлендіру операторы.
- Кесінді бойындағы Штурм-Лиувиллдің шекаралық есебі.
- Кеңістік туралы түсінік.
II-БӨЛІМ
- Мәселенің мәні.
- Кері операторды тұрғызу.
- Алынған нәтижелерді белгілі формулалармен салыстыру.
- кеңістігіндегі интегралдық оператордың сыңары туралы лемма.
- Штурм-Лиувилл операторына кері оператордың сыңары.
- Штурм-Лиувиллдің бастапқы операторының сыңары.
- Негізгі нәтижелер.
- Алынған нәтижелердің Айнс пен Левинсонның теоремаларынан өзгешілігі.
- Штурм-Лиувилл операторының тегінің жалқы болуының бір белгісі туралы.
ҚОРЫТЫНДЫ
ҚОЛДАНҒАН ӘДЕБИЕТТЕР ТІЗІМІ
АННОТАЦИЯ
В настоящей дипломной работе получены новые критерии симметричности и самосопряженности в существенном регулярного модельного обратимого оператора Штурма-Лиувилля. Полученные результаты сформулированы в терминах свойств коэффициентов граничных условий оператора Штурма-Лиувилля.
АННОТАЦИЯ
Бұл дипломдық жұмыста тұрлаулы моделді Штурма-Лиувилл операторының симметриялы болуының, сонымен бірге, түбірі жалқы екендігінің жаңа белгілері табылған. Алынған нәтижелер шекаралық шарттардың коэффициенттерінің қасиеттері ретінде тұжырымдалған.
THE SUMMARY
In the present degree job the new criteria of symmetry and самосопряженности in essential of the regular modelling convertible operator of Storm - Lyuvill are received. The received results are formulated in the terms of properties of factors of boundary conditions of the operator of Storm -Lyuvill.
КІРІСПЕ
 Табиғатта симметрия заңдары маңызды қызмет атқарады, белгілі бір гильберттің
  кеңістігінде анықталған
 кеңістігінде анықталған
  операторының жалқылығы да симметрияның бір көрінісі болып табылады. Табиғаттың көптеген құбылыстары шекаралық есептер арқылы өрнектеледі, олардың ішінде сызықтылары көптеп кездеседі. Бұл шекаралық есептер зерттелетін құбылыстың математикалық моделі болып табылады және олар болмысқа белгілі бір дәлдікпен сәйкес келеді. Математикалық модель адекватты болуы керек, яғни модель арқылы алынған нәтижелер эксперимент арқылы алынған нәтижелерде асаалшақ кетпеуі керек. Сызықты біртекті шекаралық есептерге сызықтық операторлар сәйкес келеді. Егер система тұйық болса, онда мұндай системаға жалқы оператор келеді. Системаның тұйықтығы, оған сырттан әсер етуші күштердің жоқтығын білдіреді, немесе сыртқы күштер мен ішкі күштердің тепе-теңдігін білдіреді, қалай болғанда дасистеманың жалпы энергиясы сақталуы керек. Сонымен жалқы операторлар арқылы өрнектелетін системаларда толық энергия сақталады, демек мұндай операторлардың маңызы зор, сондықтан жеке зерттеуді қажететеді.
 операторының жалқылығы да симметрияның бір көрінісі болып табылады. Табиғаттың көптеген құбылыстары шекаралық есептер арқылы өрнектеледі, олардың ішінде сызықтылары көптеп кездеседі. Бұл шекаралық есептер зерттелетін құбылыстың математикалық моделі болып табылады және олар болмысқа белгілі бір дәлдікпен сәйкес келеді. Математикалық модель адекватты болуы керек, яғни модель арқылы алынған нәтижелер эксперимент арқылы алынған нәтижелерде асаалшақ кетпеуі керек. Сызықты біртекті шекаралық есептерге сызықтық операторлар сәйкес келеді. Егер система тұйық болса, онда мұндай системаға жалқы оператор келеді. Системаның тұйықтығы, оған сырттан әсер етуші күштердің жоқтығын білдіреді, немесе сыртқы күштер мен ішкі күштердің тепе-теңдігін білдіреді, қалай болғанда дасистеманың жалпы энергиясы сақталуы керек. Сонымен жалқы операторлар арқылы өрнектелетін системаларда толық энергия сақталады, демек мұндай операторлардың маңызы зор, сондықтан жеке зерттеуді қажететеді.
Система ұғымы жиын ұғымы сияқты жалпы ұғымдар қатарына жатады, сондықтан оған анықтама берілмейді. Олардың ең қарапайым үлгісі қара жәшік (1-ші суретке қара ) .
Системаға белгілі бір ақпарлар беріледі және белгілі бір ақпарлар одан алынады. Олшекаралық есеп, дифференциалдық немесе интегралдық теңдеу болуы мүмкін. Тіптім функцианалдық немесе айырымдық схемалардан тұратын теңдеулер системасы да болуы мүмкін. Ең маңыздысы оған бастапқы ақпар беріледі және соңғы ақпар алынады.
Шығармамыздың біртұтастығы үшін негізгі анықтамаларды келтіре кетейік, кейінірек олар кеңінен қолданылады
  АНЫҚТАМА 0. 1.
 
 Гильберттің
  кеңістігінің сызықтық
 кеңістігінің сызықтық
  көпсаласының әрбір элементіне осы кеңістіктің белгілі бір элементін сәйкес қоятын сызықтық түрлендіруді осы кеңістікте анықталған сызықтық оператор дейміз.
 көпсаласының әрбір элементіне осы кеңістіктің белгілі бір элементін сәйкес қоятын сызықтық түрлендіруді осы кеңістікте анықталған сызықтық оператор дейміз.
  - сызықтық көпсаласы
 - сызықтық көпсаласы
  операторының анықталу аймағы болып саналады.
 операторының анықталу аймағы болып саналады.
  АНЫҚТАМА 0. 2.
 
 Жұптпрдан құралған
  кеңістігінің мына жиыны
 кеңістігінің мына жиыны
 . (0. 1)
 . (0. 1)
 - сызықтық түрлендіруінің графигі деп аталады. .
 - сызықтық түрлендіруінің графигі деп аталады. .
  АНЫҚТАМА 0. 3.
 
 Егер
  жиыны
 жиыны
  кеңістігі тұйық болса, онда
 кеңістігі тұйық болса, онда
  операторы тұйық операторы деп аталады.
 операторы тұйық операторы деп аталады.
  АНЫҚТАМА 0. 4.
 
 және
 және
  операторы
 операторы
  кеңістігінде анықталсын делік. Егер
 кеңістігінде анықталсын делік. Егер
  болса, онда
 болса, онда
  операторын
 операторын
  операторының ұлғайтындысы дейміз, ал
 операторының ұлғайтындысы дейміз, ал
  операторын
 операторын
  операторының тарылдысы дейміз, бұл сәтте
 операторының тарылдысы дейміз, бұл сәтте
  деп жазамыз. Басқаша айтқанда
 деп жазамыз. Басқаша айтқанда
  сонда және тек сонда ғана қашан только если
 сонда және тек сонда ғана қашан только если
  және
 және
  барлық
 барлық
  үшін.
 үшін.
  АНЫҚТАМА 0. 5.
 
 Егер
  операторының тұйық ұлғайтындысы бар болса, онда оны қабынатын оператор дейміз. Осындай қабына алатын
 операторының тұйық ұлғайтындысы бар болса, онда оны қабынатын оператор дейміз. Осындай қабына алатын
  операторының ең кіші қабындысы бар және
 операторының ең кіші қабындысы бар және
  арқылы белгілейді.
 арқылы белгілейді.
  ЛЕММА 0. 1.
 
 Егер
  қабынатын оператор болса, онда
 қабынатын оператор болса, онда
  .
 .
  АНЫҚТАМА 0. 6.
 
 дегеніміз Гильберттің
 дегеніміз Гильберттің
  кеңістігіндегі шектеулер сызықтық оператор болсын, оған сыңар оператор деп мына формула
 кеңістігіндегі шектеулер сызықтық оператор болсын, оған сыңар оператор деп мына формула
 (0. 2)
 (0. 2)
 кез келген
  ,
 ,
 арқылы анықталатын сызықтық шектеулі
  операторын айтамыз, мұндағы
 операторын айтамыз, мұндағы
  - дегеніміз
 - дегеніміз
  кеңістігіндегі скаляр көбейтінді.
 кеңістігіндегі скаляр көбейтінді.
Сыңар оператор ұғымын шектеусіз, бірақ тығыз анықталған операторларға енгізуге болады.
  АНЫҚТАМА 0. 7.
 
 дегеніміз Гильберттің
 дегеніміз Гильберттің
  кеңістігіндегі тығыз жиында анықталған оператор болсын делік, ал
 кеңістігіндегі тығыз жиында анықталған оператор болсын делік, ал
  дегеніміз
 дегеніміз
  элементі табылып, мына теңдік
 элементі табылып, мына теңдік
 (0. 3)
 (0. 3)
 барлық
  үшін орындалатындай
 үшін орындалатындай
  элементтерінің жиыны делік. Онда кез келген
 элементтерінің жиыны делік. Онда кез келген
  үшін
 үшін
 . (0. 4)
 . (0. 4)
 болсын деп келеміз, міне осы
  операторын
 операторын
  операторының сыңары дейміз.
 операторының сыңары дейміз.
 Рисстің әйгілі леммасы бойынша барлық
  үшін мына теңсіздік
 үшін мына теңсіздік
 ,
 ,
  (0. 5)
 (0. 5)
 орындалғанда ғана
  .
 .
 қатыстығынан
 қатыстығынан
  қатыстығы туындайды. .
 қатыстығы туындайды. .
 Тағы бір айта кетер жай,
  элементі (0. 3) формуласы арқылы бірмәнді анықталуы үшін
 элементі (0. 3) формуласы арқылы бірмәнді анықталуы үшін
  жиынтық Гильберттің
 жиынтық Гильберттің
  кеңістігінде тығыз орналасуы қажет, анықтама тек сонда ғана мәнді болады.
 кеңістігінде тығыз орналасуы қажет, анықтама тек сонда ғана мәнді болады.
 Егерде
  операторының анықталу аймағы
 операторының анықталу аймағы
  жиыны Гильберттің
 жиыны Гильберттің
  кеңістігінде тығыз орналасса, онда
 кеңістігінде тығыз орналасса, онда
  операторын да анықтауға болады (бірақ бұл бола бермеді ) .
 операторын да анықтауға болады (бірақ бұл бола бермеді ) .
Дифференциалдық теңдеулерге арналған шекаралық есептерді сызықтық операторлар теориясы арқылы зерттегенде келесі терминдер аса ыңғайлы.
  АНЫҚТАМА 0. 8.
 
 Егер барлық
  ,
 ,
  -лар үшін
 -лар үшін
 (0. 6)
 (0. 6)
 теңдігі орындалса, әрі
  тығыз жиында анықталса, онда бұл екі операторды өзара сыңарлас операторлар дейміз.
 тығыз жиында анықталса, онда бұл екі операторды өзара сыңарлас операторлар дейміз.
 Сыңарлас оператор біреу ғана емес, мысалға сыңарлас
  операторының кез келген
 операторының кез келген
  тарындысы да
 тарындысы да
  операторына сыңарлас болады. Егер
 операторына сыңарлас болады. Егер
  мен
 мен
  шектеулі операторлар болса және
 шектеулі операторлар болса және
  болса, онда
 болса, онда
  .
 .
  операторының нағыз сыңары
 операторының нағыз сыңары
  операторы барлық сыңарлас операторлардың ең үлкен ұлғайтындысы екені ешбір күмән туғызбаса керек.
 операторы барлық сыңарлас операторлардың ең үлкен ұлғайтындысы екені ешбір күмән туғызбаса керек.
АНЫҚТАМА 0. 9. Егер екі шекаралық есептерге сәйкес екі дифференциалдық операторлар өзара сыңар (сыңарлас) деп атаймыз.
  АНЫҚТАМА 0. 10.
 
 Егер кез келген
  үшін
 үшін
  ,
 ,
  және
 және
  операторы гильберттің
 операторы гильберттің
  кеңістігінде тығыз анықталған болса, онда
 кеңістігінде тығыз анықталған болса, онда
  операторын осы кеңістіктегі симметриялы дейміз, және мұны былай жазамыз
 операторын осы кеңістіктегі симметриялы дейміз, және мұны былай жазамыз
  . Бұған әлдес шарт мынадай, барлық
 . Бұған әлдес шарт мынадай, барлық
  үшін
 үшін
  (0. 7)
 (0. 7)
 теңдігі орындалғанда ғана
  симметриялы оператор.
 симметриялы оператор.
  АНЫҚТАМА 0. 11.
 
 Егер
  болса, онда оны жалқы оператор дейміз, яғни
 болса, онда оны жалқы оператор дейміз, яғни
  сонда және тек сонда ғана қашан
 сонда және тек сонда ғана қашан
  және
 және
  .
 .
 Симметриалы оператор қабынатын оператор, себебі
  , демек
 , демек
  жиыны
 жиыны
  кеңістігінде орналасқан. Егер
 кеңістігінде орналасқан. Егер
  -симметриалы оператор болса, онда
 -симметриалы оператор болса, онда
  оның тұйық ұлғайтындысы. Сондықтан
 оның тұйық ұлғайтындысы. Сондықтан
  операторының ең кіші әрі тұйық тарындысы
 операторының ең кіші әрі тұйық тарындысы
  әлгі
 әлгі
  операторының тарындысы болу керек. Сонымен симметриалы операторға мына қатыстықтар
 операторының тарындысы болу керек. Сонымен симметриалы операторға мына қатыстықтар
 . (0. 8)
 . (0. 8)
әркез орындалады.
Тұйық симметриялы оператор үшін
 , (0. 9)
 , (0. 9)
Ал жалқы оператор үшін
 , (0. 10)
 , (0. 10)
 болады, мұнан
  операторы симметриялы болғанда ғана тұйық симметриялы
 операторы симметриялы болғанда ғана тұйық симметриялы
  операторы жалқы болатынын байқаймыз.
 операторы жалқы болатынын байқаймыз.
Жалқы операторлар мен тұйық симметриялы операторлар арасындағы айырмашылық тым үлкен. Жалқы операторлар симметриялы дифференциалдық теңдеулердің жайлы есептеріне сәйкес келеді, ал тұйық симметриялы операторлар симметриялы дифференциалдық теңдеулердің әсіресе қойылған есептеріне сәйкес келеді.
Енді өте маңызды түбі (тегі) жалқы оператор ұғымын енгізейік.
  АНЫҚТАМА 0. 12.
 
 Егер симметриялы
  операторының қабындысы
 операторының қабындысы
  жалқы оператор болса, онда
 жалқы оператор болса, онда
  операторын түбі (тегі) жалқы оператор дейміз. Егер
 операторын түбі (тегі) жалқы оператор дейміз. Егер
  тұйық операторының
 тұйық операторының
  аймағындағы бөлігінің қабындысы сол
 аймағындағы бөлігінің қабындысы сол
  операторы болса, онда
 операторы болса, онда
  аймағы
 аймағы
  операторының маңызды аймағы дейміз.
 операторының маңызды аймағы дейміз.
 Егер
  операторының түбі жалқы болса, онда оның тек бір ған жалқы ұлғайтындысы бар. Шынында да егер
 операторының түбі жалқы болса, онда оның тек бір ған жалқы ұлғайтындысы бар. Шынында да егер
  -ның
 -ның
  -ның жалғыз ұлғайтындысы десек, онда
 -ның жалғыз ұлғайтындысы десек, онда
  тұйық және
 тұйық және
  шартынан
 шартынан
  шарты туындайды. Олай болса,
 шарты туындайды. Олай болса,
  , демек
 , демек
  .
 .
 Бұған кері тұжырым да орынды, яғни егер
  операторының тек бір ғана жалқы ұлғайтындысы боса, онда бұл түбі жалқы оператор.
 операторының тек бір ғана жалқы ұлғайтындысы боса, онда бұл түбі жалқы оператор.
 Түбі жалқы оператор ұғымы тұйық емес, бірақ симметриялы операторға қолданылады. Егер мұндай оператордың түбі жалқы екенін көрсете білсек, онда оған тек бір ғана жалқы
  оператор сәйкес келеді. Басқаша айтқанда, егер
 оператор сәйкес келеді. Басқаша айтқанда, егер
  түбі жалқы оператор болса, онда оның анықталу аймағын дәл сипаттау шарт емес (бұл көп сәтте күрделі, әсіресе дербес туындылы дифференциал операторлар үшін) белгілі бір маңызды аймағын сипаттау жеткілікті. Бұл осысымен құнды.
 түбі жалқы оператор болса, онда оның анықталу аймағын дәл сипаттау шарт емес (бұл көп сәтте күрделі, әсіресе дербес туындылы дифференциал операторлар үшін) белгілі бір маңызды аймағын сипаттау жеткілікті. Бұл осысымен құнды.
Міне дәл осы себепті дифференциал теңдеулерге қойлған жалқы шекаралық есептердің спекртральдік теориясы оңай құрылады.
Келесі мысал, симметриялы оператордың жалқы ұлғайтындыларының көп болуы мүмкін екенін көрсетейік.
  МЫСАЛ 0. 1.
 
 - дифференциалдық
 - дифференциалдық
 ,
 ,
  (0. 11)
 (0. 11)
 операторы
  кеңістігіндегі симметриялы оператор екеніне жай ғана бөліктеп интегралдау арқылы көз жеткізуге болады.
 кеңістігіндегі симметриялы оператор екеніне жай ғана бөліктеп интегралдау арқылы көз жеткізуге болады.
 ,
 ,
  ,
 ,
  ,
 ,
  (0. 12)
 (0. 12)
 Операторының тек
  болғанда ғана жалқы операторлар болатынына көз жеткізуге онша қиын емес.
 болғанда ғана жалқы операторлар болатынына көз жеткізуге онша қиын емес.
 Барлық
  үшін
 үшін
  болғандықтан симметриялы тұйық
 болғандықтан симметриялы тұйық
  операторының континум жалқы ұлғайтындылары бар.
 операторының континум жалқы ұлғайтындылары бар.
Маңызды аймақ ұғымы, дифференциал теңдеулердің шекаралық есептеріне сәйкес дифференциал операторларды зерттегенде аса-маса пайдалы, осы ұғымға сүйеніп негізгі іс-әрекеттерді тұйық емес оператордың анықталу аймағында жүргізуге болады, бұл жиындар көпшілік жағдайда біртегіс функциалардан тұрады. Следует отметить, что существуют примеры симметрических операторов, которые совсем не имеют самосопряженных расширений.
  ЕСЕПТІҢ ҚОЙЫЛУЫ.
 
 Гильберттің кеңістігінде Штурм-Лиувиллдің мынадай
 Гильберттің кеңістігінде Штурм-Лиувиллдің мынадай
 ,
 ,
  , (0. 13)
 , (0. 13)
 (0. 14)
 (0. 14)
 операторын қарастырайық, мұндағы
  
 - кез келген комплекс сандар. .
 - кез келген комплекс сандар. .
 Осы оператордың
  
 коэффициенттері қандай шарттарды қанағаттандырғанда бұл операторлар түбі (тегі) жалқы операторлар болады- деген сұрақ туады.
 коэффициенттері қандай шарттарды қанағаттандырғанда бұл операторлар түбі (тегі) жалқы операторлар болады- деген сұрақ туады.
Қойылған мәселеге байланысты белгілі деректерге тоқталайық.
  ТЕОРЕМА 0. 1 [1] .
 
 Егер
  
 коэффициенттері нақты сандар болса, онда Штурм-Лиувиллдің есебінің (немесе Штурм-Лиувилл операторының) жалқы болуы үшін
 коэффициенттері нақты сандар болса, онда Штурм-Лиувиллдің есебінің (немесе Штурм-Лиувилл операторының) жалқы болуы үшін
 (0. 15)
 (0. 15)
 теңдігінің орындалуы қажетті және жеткілікті, мұндағы
  -
 -
 (0. 16)
 (0. 16)
 матрицасының
  -ші мен
 -ші мен
  -ші бағандарынан құралған анықтауыш.
 -ші бағандарынан құралған анықтауыш.
 Егер
  
 коэффициенттері комплекс сандар болса, онда жалқылық белгісі мынадай [2] .
 коэффициенттері комплекс сандар болса, онда жалқылық белгісі мынадай [2] .
  ТЕОРЕМА 0. 2 [2] .
 
 , Егер
  (х) -оң,
 (х) -оң,
  (х) - үздіксіз нақты функция,
 (х) - үздіксіз нақты функция,
  (х) функциясы
 (х) функциясы
  интервалында абсалютті үздіксіз болса, онда
 интервалында абсалютті үздіксіз болса, онда
 ,
 ,
 . (0. 17)
 . (0. 17)
Штурм-Лиувилл операторының жалқы болуы үшін
(0. 18)
теңдіктерінің орындалуы қажетті және жеткілікті
 Егерде
  -коэффициенті нақты болса, онда тек соңғы шарт жеткілікті екенін айта кетейік.
 -коэффициенті нақты болса, онда тек соңғы шарт жеткілікті екенін айта кетейік.
Шын мәніде бұл теоремалар Штурм-Лиувилл операторының симметриялық шартын ғана береді, ал жалқылық және түбі (тегі) жалқы операторлар кейінірек пайда болды және олар оператордың қабындылы ұғымымен байланысты.
Дипломдық жұмыстың бірінші бөлімі көмекші қызмет атқарады, онда негізгі ұғымдар мен анықтамалар берілген. Негізгі нәтижелер екінші бөлімде, неді соларға тоқталайық.
 Екінші бөлімнің екінші бөлімшесінде Штурм-Лиувилл операторына кері
  операторы тұрғызылады.
 операторы тұрғызылады.
  ТЕОРЕМА 2. 1.
 
 Егер
  функциясы
 функциясы
  кесіндісінде үздіксіз және
 кесіндісінде үздіксіз және
 , (0. 19)
 , (0. 19)
 (0. 20)
 (0. 20)
болғанда, (0. 21)
 онда
  операторына
 операторына
  кері оператор бар және ол мынадай болады
 кері оператор бар және ол мынадай болады
 
 . (0. 22)
 . (0. 22)
Екінші бөлімнің үшінші бөлімшесінде формула бұрыннан белгілі нәтижелермен салыстырылды, ондағы мақсат формуламыздың дұрыстығына көз жеткізу.
 Екінші бөлімнің төртінші бөлімшесінде
  кеңістігінде интегралдық опертордың сыңары туралы лемма дәлелденді.
 кеңістігінде интегралдық опертордың сыңары туралы лемма дәлелденді.
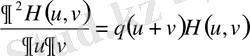
ЛЕММА 4. 2. Мына
, (0. 23)
интегралдық оператор келесі
 , (0. 24)
 , (0. 24)
 Интегралдық оператордың
  кеңістігіндегі сыңары болу үшін
 кеңістігіндегі сыңары болу үшін
 . (0. 25)
 . (0. 25)
 теңдігінің орындалуы қажетті және жеткілікті. Мұндағыт
  ,
 ,
  ядролары Гильберт-Шмидтің класынан екенін айта кеткен жөн, яғни
 ядролары Гильберт-Шмидтің класынан екенін айта кеткен жөн, яғни
Екінші бөлімнің бесінші бөлімшесінде, әлгі, леммаға сүйеніп Штурм-Лиувилл операторына кері оператордың сыңары тұрғызылады.
  ТЕОРЕМА 5. 1.
 
 Егер
  ,
 ,
  
 - комплекс сандар және
 - комплекс сандар және
 , (0. 26)
 , (0. 26)
 (0. 27)
 (0. 27)
болса, онда
 (0. 28)
 (0. 28)
 шарты орындалған сәтте
  операторына
 операторына
  кері оператор бар және оның сыңары мынадай болады
 кері оператор бар және оның сыңары мынадай болады
 , (0. 29)
 , (0. 29)
мұндағы
 (0. 30)
 (0. 30)
Екінші бөлімнің алтыншы бөлімшесінде сыңар оператордың шекаралық шарттары табылған
ТЕОРЕМА 6. 1. Егер
 ,
 ,
  (0. 31)
 (0. 31)
 (0. 32)
 (0. 32)
 Штурм-Лиувилл операторы
  кеңістігінде қайтымды оператор болса, онда оған сыңар оператор төмендегідей болады
 кеңістігінде қайтымды оператор болса, онда оған сыңар оператор төмендегідей болады
 ,
 ,
  (0. 33)
 (0. 33)
Екінші бөлімнің жетінші бөлімшесінде қайтымды Штурм-Лиувилл операторының симметриялы болуының үзілді-кесілді шарты табылған. .
ТЕОРЕМА 7. 1. Егер
 , (0. 34)
 , (0. 34)
болса, онда мына
 ,
 ,
  (0. 35)
 (0. 35)
 (0. 36)
 (0. 36)
Штурм-Лиувилл операторы симметриалы болу үшін мына шартардың
,
, (0. 37)
 .
 .
орындалуы қажетті және жеткілікті.
Екінші бөлімнің сегінші бөлімшесінде алынған нәтиже бұрыннан белгілі деректермен салыстырылып жаңа екеніне көз жеткізілді.
Соңғы тоғызыншы бөлімшеде зерттеуіміздің негізгі нәтижесі алынады.
ТЕОРЕМА 9. 3. Егер
  (а)
 
 , (0. 38)
 , (0. 38)
(б)
,
, (0. 39)
,
болса, онда мына
 ,
 ,
  , (0. 40)
 , (0. 40)
 (0. 41)
 (0. 41)
 Штурм-Лиувилл операторы
  кеңістігінде түбі (тегі) жалқы оператор, яғни оның қабындысы
 кеңістігінде түбі (тегі) жалқы оператор, яғни оның қабындысы
  оперторы
 оперторы
  кеңістігіндегі жалқы оператор.
 кеңістігіндегі жалқы оператор.
- Түрлендіру операторы
 
 интервалында Штурм-Лиувиллдің дифференциалдық теңдеуін қарастырайық:
 интервалында Штурм-Лиувиллдің дифференциалдық теңдеуін қарастырайық:
(1. 1)
 мұндағы
  - осы интервалдағы үзіліссіз комплексті функция, ал
 - осы интервалдағы үзіліссіз комплексті функция, ал
  -комплексті параметр. Кейінірек
 -комплексті параметр. Кейінірек
  функциясын бұл теңдеудің потенциалы немесе
 функциясын бұл теңдеудің потенциалы немесе
  Штурм-Лиувилл операторына сәйкес келетін функция деп атаймыз. Бастапқы берілген (1) теңдеудің шешімін
 Штурм-Лиувилл операторына сәйкес келетін функция деп атаймыз. Бастапқы берілген (1) теңдеудің шешімін
  арқылы белгілейік.
 арқылы белгілейік.
 ,
 ,
  (1. 2)
 (1. 2)
 (здесь индекс «0» означает, что начальные данные задаются в точке 0, а буква
  напоминает, что они такие же, как у функции
 напоминает, что они такие же, как у функции
  , с которой совпадает
 , с которой совпадает
  , если
 , если
  ) .
 ) .
  ТЕОРЕМА 1. 1. (2)
 
 бастапқы берілген (1) теңдеудің шешімі
  мына түрде болады:
 мына түрде болады:
 , (1. 3)
 , (1. 3)
 Мұндағы
  - үзіліссіз функция, Римана функциясы арқылы өрнектелген теңдеу мынадай
 - үзіліссіз функция, Римана функциясы арқылы өрнектелген теңдеу мынадай
 
 ,
 ,
  
мына формуладан
 .
 .
 Интегралдық оператор
  мына формула арқылы анықталған
 мына формула арқылы анықталған
 ,
 ,
 түрлендіру операторы деп атаймыз,
  нүктесінде бастапқы шарт сақталынған. Ол мынадай
 нүктесінде бастапқы шарт сақталынған. Ол мынадай
  функцияны ( (2) бастапқы берілген қарапайым теңдеу (1) түрінің шешімі ) сол сияқты бастапқы берілген (1) теңдеудің шешіміне көшіреді.
 функцияны ( (2) бастапқы берілген қарапайым теңдеу (1) түрінің шешімі ) сол сияқты бастапқы берілген (1) теңдеудің шешіміне көшіреді.
  және
 және
  функциялары
 функциялары
  теңдеуінің шешімінің фундаментальді жүйесін құрастырады. Бастапқы берілген 0-нүктесінде (1) теңдеудің шешімін
 теңдеуінің шешімінің фундаментальді жүйесін құрастырады. Бастапқы берілген 0-нүктесінде (1) теңдеудің шешімін
  операторы бұл теңдеудің кез келген шешіміне түрлендіреді. Сондықтан бастапқы берілген (1) теңдеуінің шешімі
 операторы бұл теңдеудің кез келген шешіміне түрлендіреді. Сондықтан бастапқы берілген (1) теңдеуінің шешімі
  
 Equation. 3,
 Equation. 3,
  (1. 4)
 (1. 4)
Мына түрде қарастырсақ:
 , (1. 5)
 , (1. 5)
мұндағы
 . (1. 6)
 . (1. 6)
 Бастапқы берілген (1) теңдеудің аналитикалық
  шешімі
 шешімі
 Equation. 3,
 Equation. 3,
  (1. 7)
 (1. 7)
Мына түрде беруге болады
 , (1. 8)
 , (1. 8)
мұндағы
 . (1. 9)
 . (1. 9)
Осы 1. 1. теоремасынан мынадай салдар шығады.
САЛДАР 1. 1. (4), (7) бастапқы берілгендер үшін (1) теңдеудің шешімін мына түрде жазуға болады
 , (1. 10)
 , (1. 10)
 , (1. 11)
 , (1. 11)
 мұндағы
  функция,
 функция,
  функциясы (6), (9) формуласындағы (3) операторының
 функциясы (6), (9) формуласындағы (3) операторының
  ядросы бойынша өрнектеледі.
 ядросы бойынша өрнектеледі.
 (3), (10), (11) теңдігінің оң жағында анықталған
  ,
 ,
  ,
 ,
  , операторын 0 нүктесіне байланған түрлендіру операторы деп атаймыз.
 , операторын 0 нүктесіне байланған түрлендіру операторы деп атаймыз.
  ЛЕММА 1. 1.
 
 Егер (2) бастапқы берілгендер үшін (1) теңдеудің
  шешімі барлық
 шешімі барлық
  мәнінде (3) формуламен берілсе, онда
 мәнінде (3) формуламен берілсе, онда
  ядросы мына теңдеуді қанағаттандырады
 ядросы мына теңдеуді қанағаттандырады
 (1. 12)
 (1. 12)
 және, керісінше, егер
  функциясы (12) теңдеуін қанағаттандырса, онда (3) формуласы оң жағындағы барлық
 функциясы (12) теңдеуін қанағаттандырса, онда (3) формуласы оң жағындағы барлық
  мәндерінде үшін (2) бастапқы берілгендер үшін (1) теңдеудің
 мәндерінде үшін (2) бастапқы берілгендер үшін (1) теңдеудің
  шешімі болады.
 шешімі болады.
ТЕОРЕМА 1. 2. (12) теңдеудің жалғыз ғана шешімі бар. Бұл шешім үзіліссіз және мына теңсіздікті қанағаттандырады
 , (1. 13)
 , (1. 13)
мұндағы
 (1. 14)
 (1. 14)
 Егер
  функциясы
 функциясы
  үзіліссіз туындысы болса, онда
 үзіліссіз туындысы болса, онда
  ядросының
 ядросының
  екі жақты алмастыру бойынша үзіліссіз туындысы бар.
 екі жақты алмастыру бойынша үзіліссіз туындысы бар.
  САЛДАР 1. 2.
 
 функциясы (3) түрлендіру операторының ядросы болу үшін
 функциясы (3) түрлендіру операторының ядросы болу үшін
  функциясы Гурс есебінің шешімі болуы қажетті және жеткілікті:
 функциясы Гурс есебінің шешімі болуы қажетті және жеткілікті:
 ,
 ,
  ,
 ,
  . (1. 15)
 . (1. 15)
 Егер
  функциясы үзіліссіз дифференциалданса, онда (1. 15) есебі былай түрленеді:
 функциясы үзіліссіз дифференциалданса, онда (1. 15) есебі былай түрленеді:
 ,
 ,
  ,
 ,
  . (1. 16)
 . (1. 16)
- Ақырғы интервалдағы Штурма-Лиувиллдің шекаралық есебі
 аралығында Штурма-Лиувилл теңдеунің шекаралық есебін қарастырайық:
 аралығында Штурма-Лиувилл теңдеунің шекаралық есебін қарастырайық:
 , (2. 1)
 , (2. 1)
 және екі шекаралық шарттармен
  :
 :
 , (2. 2)
 , (2. 2)
 мұндағы
  - қосатын комплексмәнді функция,
 - қосатын комплексмәнді функция,
  - туындылы комплексті сандар.
 - туындылы комплексті сандар.
 Параметрмәні
  болғанда, мұндай шекаралық есептердің нөлдік шешімдері болса, онда оны меншікті мән деп атаймыз, ал оған сәйкес шешім- меншікті функция деп аталады. (1) теңдеуінің фундаментальді жүйесінің шешімі мына анықталған бастапқы берілгендерді
 болғанда, мұндай шекаралық есептердің нөлдік шешімдері болса, онда оны меншікті мән деп атаймыз, ал оған сәйкес шешім- меншікті функция деп аталады. (1) теңдеуінің фундаментальді жүйесінің шешімі мына анықталған бастапқы берілгендерді
  ,
 ,
  мынау
 мынау
  ,
 ,
  арқылы белгілейік ( сонымен
 арқылы белгілейік ( сонымен
  
 алдынғы бөлімшеде белгіленген ) . Сондықтан (1) теңдеуінің
 алдынғы бөлімшеде белгіленген ) . Сондықтан (1) теңдеуінің
  жалпы шешімі
 жалпы шешімі
  ,
 ,
  :
 :
  функциясының сызықты комбинациясы болса, онда
 функциясының сызықты комбинациясы болса, онда
 , (2. 3)
 , (2. 3)
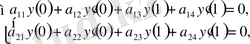
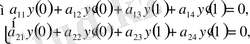
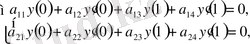
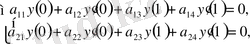
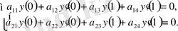
бұдан, (1), (2) шекаралық есептің нөлдік шешімі болады сонда ғана, егер теңдеулер жүйесі
 ,
 ,
 ,
 ,
 коэффициенттерінің нөлдік шешімі болса. Сондықтан меншікті мән қарастырылған есепке квадрат түбірмен оның характеристикалық функциясы сәйкес келеді.
 коэффициенттерінің нөлдік шешімі болса. Сондықтан меншікті мән қарастырылған есепке квадрат түбірмен оның характеристикалық функциясы сәйкес келеді.
 . (2. 4)
 . (2. 4)
 Мына анықтауышты ескере отырып вронскиан
  бірге тең болатындығын көреміз, сол арқылы
 бірге тең болатындығын көреміз, сол арқылы
 , (2. 4
 
  /
 
 )
 , (2. 4
 
  /
 
 )
 Функциясын табамыз. Мұндағы
  -анықтауыш, шекаралық шарттың коэффициенті
 -анықтауыш, шекаралық шарттың коэффициенті
  ,
 ,
  матрица бағандарынан құралған.
 матрица бағандарынан құралған.
 .
 .
 Бұдан
  болғанда, (1) -(2) шекаралық есептің
 болғанда, (1) -(2) шекаралық есептің
  характеристикалық функциясы мына түрге келеді:
 характеристикалық функциясы мына түрге келеді:
 (2. 6)
 (2. 6)
 және қарапайым жағдайда, яғни
  функцисы нөлден өзгеше болғанда меншікті жүйенің толықтығы және тек шекаралық шарттарға қоюға болатын қосарланған функция туралы сұрақ туады. Бұл келесі 3 шарттың орындалу мүмкіндігін көрсетеді:
 функцисы нөлден өзгеше болғанда меншікті жүйенің толықтығы және тек шекаралық шарттарға қоюға болатын қосарланған функция туралы сұрақ туады. Бұл келесі 3 шарттың орындалу мүмкіндігін көрсетеді:
  1)
 
 ;
 
  2)
 ;
 
  2)
 
 ;
 
  3)
 ;
 
  3)
 
 . (2. 7)
 . (2. 7)
Шекаралық шарт бұлардың кемінде біреуін қанағаттандырса, онда ол болымды деп аталады.
  ТЕОРЕМА 2. 1.
 
 (1) -(2) толық болымды шекаралық шарттармен берілген меншікті жүйе және қосарланған функцияның шекаралық есебін
  кеңістігінде қарастырған.
 кеңістігінде қарастырған.
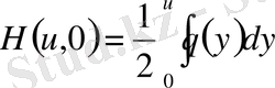
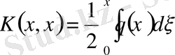
Қосарланған функция анықтамасын еске түсірейік.
 (4) анықтауышын
  элементі арқылы белгілеп, (1) теңдеуінің шешімін құрастырайық:
 элементі арқылы белгілеп, (1) теңдеуінің шешімін құрастырайық:
 . (2. 8)
 . (2. 8)
 (3) формуласынан тура
  -ға тең екендігін көреміз.
 -ға тең екендігін көреміз.
 ,
 ,
 .
 .
 (1) -(2) шекаралық есептің
  меншікті мәні
 меншікті мәні
  - еселік деп аталады, егер
 - еселік деп аталады, егер
  
 функциясының
 функциясының
  еселік түбірі болса.
 еселік түбірі болса.
 ,
 ,
  ,
 ,
болса, онда функция
 ,
 ,
  
 - (2) шекаралық шартын қанағаттандырады, егер
 - (2) шекаралық шартын қанағаттандырады, егер
  болса.
 болса.
  
 функциялары тізбек құралады, біріншісі нөлден өзгеше
 функциялары тізбек құралады, біріншісі нөлден өзгеше
  функциясы меншікті болады, ал келесілері функцияларға қосарланған. (1) теңдеуін
 функциясы меншікті болады, ал келесілері функцияларға қосарланған. (1) теңдеуін
  рет
 рет
  бойынша дифференциалдай отырып, (2) шекаралық шартын және
 бойынша дифференциалдай отырып, (2) шекаралық шартын және
 теңдеуін қанағаттандыратын меншікті және қосарланған функциялар тізбегін қорытып шығарайық.
 теңдеуін қанағаттандыратын меншікті және қосарланған функциялар тізбегін қорытып шығарайық.
Бөліктелген шекаралық шарттармен берілген
 ,
 ,
  (2. 9)
 (2. 9)
шекаралық есептерді қарастыра отырып
 ,
 ,
  ,
 ,
  ,
 ,
  ,
 ,
  . (2. 9
 
  /
 
 )
 . (2. 9
 
  /
 
 )
 аламыз. Бұдан
  болған жағдайда шекаралық шарт болымды, ал меншікті жүйе және қосарланған функция толығымен
 болған жағдайда шекаралық шарт болымды, ал меншікті жүйе және қосарланған функция толығымен
  кеңістігінде жатады.
 кеңістігінде жатады.
 Шындығында, меншікті және қосарланған функциялардың (1), (9) шекаралық шарттары
  кеңістігінде базис құрады. .
 кеңістігінде базис құрады. .
\
  1. 3. 1. Нормаланған кеңістік.
 
 Функцианалдық тандаудағы көбінесе кездесетін жалпы кеңістіктер сызықтық (векторлық) топологиялық кеңістік, яғни
 
   C
  
 комплекс сандар өрісінің (немесе
 
  R
 
 нақты сандарының )
  сызықтық кеңістік болып табылады. Бұл кеңістік бір мезгілде топологиялық және сызықты операциялар осы кеңістікте үзіліссіз. Дербес, бірақ өте қажетті жағдай,
 сызықтық кеңістік болып табылады. Бұл кеңістік бір мезгілде топологиялық және сызықты операциялар осы кеңістікте үзіліссіз. Дербес, бірақ өте қажетті жағдай,
  сызықтық кеңістігінде қасиеттері қарапайым евклидтік кеңістігінің векторлар ұзындығының қасиеттерінің жалпыламасы болатындай векторлар нормасын (ұзындығын) сиғызуға болады. Дәл
 сызықтық кеңістігінде қасиеттері қарапайым евклидтік кеңістігінің векторлар ұзындығының қасиеттерінің жалпыламасы болатындай векторлар нормасын (ұзындығын) сиғызуға болады. Дәл
  элементінің нормасы деп,
 элементінің нормасы деп,
  және
 және
  тек қана
 тек қана
  болған жағдайда орындалатын
 болған жағдайда орындалатын
  - нақты санын атаймыз.
 - нақты санын атаймыз.
 ,
 ,
 , егер(
 , егер(
  )
 )
  болса
 болса
 және
  - ”үшбұрыш теңсіздігі„ орындалса
 - ”үшбұрыш теңсіздігі„ орындалса
 сызықтық кеңістігіндегі екі түрлі
 сызықтық кеңістігіндегі екі түрлі
  және
 және
  нормасын енгізейік.
 нормасын енгізейік.
  және
 және
  номалары эквивалентті деп аталады, егер кез келген
 номалары эквивалентті деп аталады, егер кез келген
  үшін
 үшін
  теңсіздігі орындалатындай
 теңсіздігі орындалатындай
  сандары табылса. Бұдан еуі норма сызықтық кеңістікте эквивалентті
 сандары табылса. Бұдан еуі норма сызықтық кеңістікте эквивалентті
  әрқайсысы бір-біріне тәуелді болатыны анық. Бұл жағдайда егер
 
   Х
  
 сызықтық кеңістігінде екі эквивалентті норма және
 
   Х
   
    1
   
 және
 
   Х
   
    2
   
 - сәйкесінше нормаланған кеңістіктері берілсе, онда берілген кеңістіктердің бірінде жинақталатын қатар, екінші кеңістікте де сондай шекке жинақталады. Бұл жайт, әр кеңістікте өзімізге жұмыс істеуге ыңғайлы эквивалентті нормалардың бірін таңдауға мүмкіндік береді.
 әрқайсысы бір-біріне тәуелді болатыны анық. Бұл жағдайда егер
 
   Х
  
 сызықтық кеңістігінде екі эквивалентті норма және
 
   Х
   
    1
   
 және
 
   Х
   
    2
   
 - сәйкесінше нормаланған кеңістіктері берілсе, онда берілген кеңістіктердің бірінде жинақталатын қатар, екінші кеңістікте де сондай шекке жинақталады. Бұл жайт, әр кеңістікте өзімізге жұмыс істеуге ыңғайлы эквивалентті нормалардың бірін таңдауға мүмкіндік береді.
Егер қарастырып отырған Х кеңістігіміз - ақырлы өлшемді болған жағдайда, норманы таңдау кеңістікті өзгертпейді. Анығырақ: Кез келген ақырлы өлшемді сызықтық кеңістікте барлық нормалар эквивалентті.
   Мысал 3. 1.
  
   Евклид кеңістігі
  
  .
 
 -сызықты жүйесі мүмкін болатын барлық
 
  n
 
 - өлшемді
 -сызықты жүйесі мүмкін болатын барлық
 
  n
 
 - өлшемді
  векторларынан құралсын.
 векторларынан құралсын.
  . Егер
 . Егер
  - кеңістігінде келесі нормалардың бірін енгізе алсақ, яғни
 - кеңістігінде келесі нормалардың бірін енгізе алсақ, яғни
  немесе
 немесе
  , онда
 , онда
  -
  
 евклидтік кеңістігі деп аталатын нормаланған кеңістікті аламыз. Нормалардың аксиомалары сөзсіз тексеріледі. Бұл кезде, екінші норма үшін үшбұрыш теңсіздігі ақырлы қосынды үшін Минковский теңсіздігінің қолдану салдары болып табылады.
   -
  
 евклидтік кеңістігі деп аталатын нормаланған кеңістікті аламыз. Нормалардың аксиомалары сөзсіз тексеріледі. Бұл кезде, екінші норма үшін үшбұрыш теңсіздігі ақырлы қосынды үшін Минковский теңсіздігінің қолдану салдары болып табылады.
  .
 .
 Егер векторлар «координатасы» комплекс сандар болса, онда
  немесе
 немесе
  ,
 ,
 (мүндағы
  -
 -
  -комплекс санның модулі) нормасымен анықталған
 -комплекс санның модулі) нормасымен анықталған
  векторының комплекс бағанынан құралған сызықтық система нормаланған кеңсітік болып және евклидтік кеңістік тәріздес
 векторының комплекс бағанынан құралған сызықтық система нормаланған кеңсітік болып және евклидтік кеңістік тәріздес
  деп белгіленеді.
 деп белгіленеді.
 нүктесі
 нүктесі
  жиынының шектік нүктесі деп аталады, егер
 жиынының шектік нүктесі деп аталады, егер
  нүктесінің кез келген маңайында
 нүктесінің кез келген маңайында
  нүктесінен өзге болатын М жиынының кемінде бір нүктесі жатса. Басқа сөзбен айтқанда,
 нүктесінен өзге болатын М жиынының кемінде бір нүктесі жатса. Басқа сөзбен айтқанда,
  -
 -
  жиынының шектік нүктесі дейміз, егер кез келген
 жиынының шектік нүктесі дейміз, егер кез келген
  шарында
 шарында
  нүктесі табылса.
 нүктесі табылса.
  нүктесі
 нүктесі
  жиынының шектік нүктесі болуы үшін
 жиынының шектік нүктесі болуы үшін
  ,
 ,
  . нүктесіне жинақталатын
 . нүктесіне жинақталатын
  тізбегінің бар болуы қажетті және жеткілікті.
 тізбегінің бар болуы қажетті және жеткілікті.
, ал
- М жиынының шектік нүктелер жиыны болсын. Онда
жиыны М жиынының тұйықталуы деп аталады. Басқа сөзбен айтқанда,
- бұл құрамында М жиыны бар өте кішкентай тұйық жиын.
болатын М жиыны тұйық деп немесе берілген жиын тұйық деп аталады, егер шектік нүктелерінің бәрі өзінде жатса.
сызықтық кеңістігіндегі
жиыны сызықты көпбейнелік деп талады, егер кез келген
және
сандары үшін
сызықтық комбинациясы
жиынында жатса.
жиыны
жиынының бір бөлігі болғандықтан, сызықты көпбейнеліктің анықтамасынан
жиыны да сызықтық кеңістік екендігі шығады. Мұндай
жиыны нормасы бойынша
жиынында тұйық болмайтынын ескерту қажет.
 (
 (
  ) нормаланған кеңістігінде жататын
 ) нормаланған кеңістігінде жататын
  сызықты көпбейнелігін
 сызықты көпбейнелігін
  жиынында тығыз дейміз, егер
 жиынында тығыз дейміз, егер
  и
 и
  саны үшін
 саны үшін
  теңсіздігі орындалатындай
 теңсіздігі орындалатындай
  элементі табылса. Демек, егер
 элементі табылса. Демек, егер
  
 жиынында тығыз болса, онда
 жиынында тығыз болса, онда
  үшін
 үшін
  болатындай
 болатындай
  тізбегі табылады.
 тізбегі табылады.
 Жоғарыда айтылған анықтаманы тұйықталумен салыстырсақ, «
  жиыны
 жиыны
  жиынында тығыз»,
 жиынында тығыз»,
  ,
 ,
  тұжырымы
 тұжырымы
  сызықты көпбейнеліктің
 сызықты көпбейнеліктің
  нормасы бойынша тұйықталуы
 нормасы бойынша тұйықталуы
  -пен сәйкес келетінін байқаймыз. Бұл кезде,
 -пен сәйкес келетінін байқаймыз. Бұл кезде,
  кеңістігін
 кеңістігін
  нормасы бойынша
 нормасы бойынша
  сызықты көпбейнеліктің толықтырушысы деп те атаймыз. Әрбір сызықты нормаланған
 сызықты көпбейнеліктің толықтырушысы деп те атаймыз. Әрбір сызықты нормаланған
  кеңістігінің толықтырушысы бар және бұл толықтырушы
 кеңістігінің толықтырушысы бар және бұл толықтырушы
  -ті өзіне көшіретін изометриялық бейнесіне дейін дәл болатын жалғыз жиын.
 -ті өзіне көшіретін изометриялық бейнесіне дейін дәл болатын жалғыз жиын.
- Іс жүргізу
- Автоматтандыру, Техника
- Алғашқы әскери дайындық
- Астрономия
- Ауыл шаруашылығы
- Банк ісі
- Бизнесті бағалау
- Биология
- Бухгалтерлік іс
- Валеология
- Ветеринария
- География
- Геология, Геофизика, Геодезия
- Дін
- Ет, сүт, шарап өнімдері
- Жалпы тарих
- Жер кадастрі, Жылжымайтын мүлік
- Журналистика
- Информатика
- Кеден ісі
- Маркетинг
- Математика, Геометрия
- Медицина
- Мемлекеттік басқару
- Менеджмент
- Мұнай, Газ
- Мұрағат ісі
- Мәдениеттану
- ОБЖ (Основы безопасности жизнедеятельности)
- Педагогика
- Полиграфия
- Психология
- Салық
- Саясаттану
- Сақтандыру
- Сертификаттау, стандарттау
- Социология, Демография
- Спорт
- Статистика
- Тілтану, Филология
- Тарихи тұлғалар
- Тау-кен ісі
- Транспорт
- Туризм
- Физика
- Философия
- Халықаралық қатынастар
- Химия
- Экология, Қоршаған ортаны қорғау
- Экономика
- Экономикалық география
- Электротехника
- Қазақстан тарихы
- Қаржы
- Құрылыс
- Құқық, Криминалистика
- Әдебиет
- Өнер, музыка
- Өнеркәсіп, Өндіріс
Қазақ тілінде жазылған рефераттар, курстық жұмыстар, дипломдық жұмыстар бойынша біздің қор #1 болып табылады.
 
            
                Ақпарат
Қосымша
Email: info@stud.kz