Тәжірибені оңтайлы басқару режимінің технологиялық үрдісі


ҚАЗАҚСТАН РЕСПУБЛИКАСЫ БІЛІМ ЖӘНЕ ҒЫЛЫМ МИНИСТРЛІГІ
ҚАРАҒАНДЫ МЕМЛЕКЕТТІК ИНДУСТРИЯЛЫҚ УНИВЕРСИТЕТІ
«Металдарды қысыммен өңдеу» кафедрасы
«МҚӨ процестерін зерттеу әдістері және тәжірибе жоспарлау» бойынша
Курстық жұмыс
Тақырыбы: «Тәжірибені оңтайлы басқару режимінің технологиялық үрдісі»
Орындаған: ТОМД15к-2 тобының студенті Мансұр С. М.
Қабылдаған: Аға оқытушы
Ержанов А. С.
Теміртау 2017ж
МАЗМҰНЫ
Тапсырма Кіріспе 1. Сызықтық үлгіні постуландыру
2. Араластыру жүйесіндегі коэффициентті анықтау 3. Тәжірибе жоспарын әріптермен белгілеу
4. Тәжірибе жоспарының қасиеттерін тексеру
5. Тәжірибелік шарттар кестесі
6. Тәжірибені рандомизациялау
7. Тәжірибенің дисперсиясын есептеу
8. Дисперсияның біртектілігін тексеру
9. Үлгі коэффициенттерін есептеу
10. Үлгі коэффициенттерінің статистикалық маңыздылығын тексеру
11. Үлгілердің адекваттылығын тексеру
12. Үлгіні интерпретациялау
13. Үлгіні пайдалану туралы шешім қабылдау
14. Үлгі кодталған факторлардан табиғи өрнектерге өтуі
15. Кодталғаннан бастап табиғи факторларға көшудің дұрыстығын тексеру
16. Күшті көтерілу әдісі бойынша оңтайлы нүктеге жылжу
17. Күшті көтерілу тиімділігін бағалау
18. Үлгіні одан әрі пайдалану туралы шешім қабылдау
Қорытынды
Қолданылған әдебиеттер тізімі
АННОТАЦИЯ
Жұмыста бастапқы деректер бойынша тәжірибені жоспарлау қарастырылған, процесті оңтайландырудың сызықтық үлгісі есептеледі және үлгінің статистикалық талдауы жүргізіледі.
Тікелей көтерілу әдісімен қозғалыс және оңтайландыру жүзеге асырылады, оның нәтижесі шешім болып табылады.
Тапсырма
Нұсқа -10
Электр желілерін жеткізудегі тұрақты режимдерді оңтайлы басқару бойынша тәжірибе жүргізіледі.
Параметрді оңтайландыру У=J 3 - үшінші электр станциясының жүктемесі A
ФАКТОР
Х 1 =P 1 - бірінші станцияның жүктемесі МBr;
X 2 =P 2 - екінші станцияның жүктемесі МBr;
X 3 =P 3 - үшінші станцияның жүктемесі МBr;
X 4 =P 4 - төртінші станцияның жүктемесі МBr;
X 5 =P н. с - тұтынушылардың жиынтық жүктемесі МBr;
X 6 =P пер - қуат ағыны МBr.
Кесте 1 - факторлардың өзгеруінің базалық деңгейлері мен аралықтары
Фактор
Негізгі деңгей
Вариациялық аралық
Х 1
1350
150
Х 2
755
195
Х 3
280
70
Х 4
285
85
Кесте 2 - 2 4 матрицасын жоспарлау және эксперименттер нәтижелері
КІРІСПЕ
Көптеген зерттеулер тәжірибелік функционалдық немесе статистикалық қатынастары арқылы, бірнеше мөлшерде немесе тәжірибелі мәселелерді шешуге арналған. Тәжірибе жасаудың классикалық әдісі қабылданған жағдайларда оның өмір сүру жолында белгілі бір жолмен өзгерген, бір мәннен басқа барлық айнымалы мәндерді бекітуді қарастырады. Бұл әдіс бір факторлы тәжірибенің негізін құрайды. Таңдалған деңгейде бір тұрақтандырушы фактор және барлық басқа түрлі тәжірибелік өлшем қатары, бір ғана фактор бойынша саны тәуелділікті зерттейді.
Мультифакторлық процесті жан-жақты зерттеу үшін бір факторлы тәжірибенің қолданылуы, тәжірибелердің өте көп болуын талап етеді. Бірқатар жағдайларда оларды іске асыру үшін бақылауға алынбайтын факторлардың тәжірибе нәтижелеріне әсер етуі айтарлықтай өзгеруіне мүмкін уақытты қажет етеді. Осы себепті көптеген тәжірибелердің деректері теңдестірілмейді. Мультифакторлы жүйелерді зерттеу кезінде алынған бір факторлы тәжірибелердің нәтижелері практикалық қолдану үшін жиі аз пайдаланады. Сонымен қатар эксперименттік мәселелерді шешу кезінде көптеген тәжірибелер туралы деректер қажетсіз болып табылады, өйткені олар оңтайлы берілген аймақ үшін алынады. Көпфункционалды жүйелерді зерттеу үшін тәжірибені жоспарлаудың статистикалық әдістерін қолдану ең пайдалы болып табылады. Тәжірибені жоспарлау кезінде біз қажетті дәлдікпен мәселені шешу үшін қажетті тәжірибелердің санын және шарттарын анықтау үдерісін білдіреді.
Тәжірибені жоспарлау математикалық статистиканың жаңа бөлімі болып табылады. Ол тәжірибиелі жоспарлаудың статистикалық әдістерімен жан-жақты айналысады. Бұл әдістер тәжірибенің ең аз саны бар көптеген жағдайларда көп факторлы процестердің моделін алуға мүмкіндік береді.
Осы процестердің маңызды сипаттамаларын көптеген бөлу, тығыз қалыпты бөлу мынадай кездейсоқ айнымалылар болып табылады, фактісіне байланысты жоспарлау процестерінің статикалық әдістерін қолдану тиімді.
Тәжірибені жоспарлау процесінің тән ерекшеліктері тәжірибенің санын барынша азайтуды қалайды, барлық зерттелген факторлардың бір мезгілде өзгеруі арнайы ережелермен алгоритмдер, математикалық құралдарды қолдану, зерттеушінің көптеген әрекеттерін рәсімдейді, стратегияны таңдау, тәжірибелердің әр сериясынан кейін ақпараттандырылған шешімдер қабылдауға мүмкіндік береді.
1 СЫЗЫҚТЫҚ ҮЛГІНІ ПОСТУЛАНДЫРУ
Тәжірибелерді жоспарлаудың бірінші кезеңінде оңтайлы қозғалыс бағытын анықтау және реакция бетінің үстіңгі көтерілуі, бірінші дәрежесі бар ең орынды белгісіз жауап функциясы. Сәйкесінше бір функцияны басқа функциямен ауыстыру кейбір мағынада - бірге тең. Бірінші дәрежелі көптеген факторлардың берілген санына факторларының ең аз саны тең болады және оңтайландыру параметрінің ең тез жетілу бағытын анықтайды, градиенттің бағыты туралы қажетті ақпаратты қамтиды. Жалпы формасындағы бірінші дәрежедегі (сызықтық модел) бірнеше теңдеу арқылы анықталады:
Y=B 0 +B 1 X 1 +…+B i X k (1)
Біздің жағдайда яғни 2 4 толық факторлық тәжірибе үшін теңдеудің формасы бар:
Y=B 0 +B 1 X 1 +B 2 X 2 +B 3 X 3 +B 4 X 4, (2)
мұнда B 0 , B 1 , B 2 , B 3 , B 4 - нақты коэффициенттерді бағалау;
X 1 , X 2 , X 3 , X 4 - факторлар.
2 АРАЛАСТЫРУ ЖҮЙЕСІНДЕГІ КОЭФФИЦИЕНТТІ АНЫҚТАУ
Процесс әрдайым сызықтық үлгімен сипатталмайды. Көбінесе бір фактордың әсері басқа фактор болатын деңгейге байланысты болған кезде мұндай сызықтық емес, екі фактордың өзара әрекеті орын алады. Бұл жағдайда үлгіге ұқсас:
Y=B 0 +B 1 X 1 +B 2 X 2 +B 3 X 3 +B 4 X 4 +B 12 X 1 X 2 +B 13 X 1 X 3 +B 14 X 1 X 4 +B 23 X 2 X 3 +
+B 24 X 2 X 4 +B 34 X 3 X 4 (3)
ТФТ өзара әрекеттесудің санын анықтауға мүмкіндік береді. Бізге тиісті (сәйкес бағандарды көбейту) X 1 X 2 , X 1 X 3 , X 1 X 4 , X 2 X 3 , X 2 X 4 , X 3 X 4 бағандарын 3 кестеге жазамыз.
Кесте 3- Коэффициенттерді араластыру жүйесі
3 ТӘЖІРИБЕ ЖОСПАРЫН ӘРІПТЕРМЕН БЕЛГІЛЕУ
Кесте 4- Әріптік белгіленудің матрицалық жоспарыЖиі жоспардың матрицасының жазу көлемін азайту үшін эксперименттердің әліпби жазбалары қолданылады. Ол үшін әр фактор латын алфавитінің әріпімен байланысты Х 1 - а, Х 2 - b, Х 3 - с, Х 4 - d. Содан кейін матрицаның әр жолы үшін біз осы тәжірибиеде жоғарғы деңгейде тұрған факторларды ғана білдіретін әріптерді жазамыз. Төменгі деңгейдегі барлық факторлармен тәжірибені білдіреді (1) .
4 ТӘЖІРИБЕ ЖОСПАРЫНЫҢ ҚАСИЕТТЕРІН ТЕКСЕРУ
Матрицалар факторлардың санына қарамастан жалпы қасиеттері бар. Біз үлгілердің сапасын анықтаймыз. Өйткені тәжірибе кейбір оңтайлы қасиеттері бар үлгі алу үшін жоспарланған. Матрицалық дизайнның дұрыстығын тексеру үшін 3 матрицалық қасиет пайдаланылады: симметрия, қалыпқа келтіру, ортогоналдылық.
1) Симметрияның қасиеті әр фактордың баған-векторы элементтерінің алгебралық сомасы нөлге тең:
(4)
мұндағы j - коэффициенттің нөмірі;
N - тәжірибелер саны;
i - тәжірибенің нөмірі.
![]()
![]()
![]()
![]()
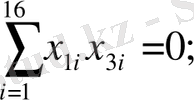
2) Ортогоналдылық қасиеті: жоспар матрицасының кез-келген екі векторлық бағанының құрамына кіретін өнімдердің сомасы нөлге тең болады:
(5)
мұндағы j, 1 - коэффициенттің нөмірі және j=1;
N - тәжірибелер саны;
i - тәжірибенің нөмірі.
![]()
![]()
![]()
![]()
![]()
![]()
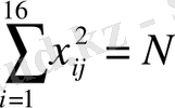
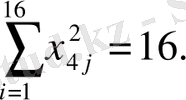
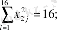
3) Нормализация сипаты - әрбір бағанның элементтерінің сомасы тәжірибелер санына тең:
(6)
мұндағы j - коэффициенттің нөмірі;
i - тәжірибенің нөмірі;
N - тәжірибелер саны.
![]()
![]()
![]()
![]()
Жоспардың матрицасының барлық қасиеттері орындалатындықтан ол дұрыс салынған.
5 ТӘЖІРИБЕЛІК ШАРТТАР КЕСТЕСІ
Тәжірибе шарттарының кестесін құрайық.
Кесте 5-Тәжірибе шарттары
6 ТӘЖІРИБЕНІ РАНДОМИЗАЦИЯЛАУ
Сыртқы жағдайлардан туындайтын жүйелі қателердің әсерін болдырмау үшін матрицада жоспарланған эксперименттердің кездейсоқ реті ұсынылады. Тәжірибелер уақытында рандомизацияланған болуы керек. Тәжірибелердің тәртібі кездейсоқ сандар кестесінен белгіленуі мүмкін. Егер, мысалы 16 эксперимент жасалуы керек болса, онда 1-ден 16-ға дейінгі сандар кестенің кездейсоқ жерінен жазылады 16-дан жоғары және таңдалғандар сандарды тастайды. Нәтижелердің дәйектілігі тәжірибелердің дәйектілігін анықтайды.
Кесте 6- Уақытында тәжірибелерді рандомизациялау
7 ТӘЖІРИБЕНІҢ ДИССПЕРЦИЯСЫН ЕСЕПТЕУ
Әр эксперимент шектеулі материалдық экспериментке байланысты белгісіздік элементін қамтиды. Параллельді эксперименттерді орнату толықтай бірдей нәтиже бермейді, өйткені тәжірибе қатесі әрқашан болады. Бұл қате параллель тәжірибелер арқылы бағалануы керек. Бұл үшін тәжірибе мүмкіндігінше бірдей жағдайларда бірнеше рет қолданылады. Кез-келген тәжірибе нәтижесінің орташа мәннен ауытқуының болуы, қайталама тәжірибелердің өзгеруіндегі өзгермелілікті көрсетеді. Бұл айнымалы мәнді өлшеу үшін мен дисперсияны қолдандым. Дисперсия - орташа мәннен ауытқу квадратының орташа мәні.
(7)
мұндағы у 0 - орташа мәні ПО;
n 0 -негізгі деңгейдегі тәжірибелердің саны;
y q - негізгі деңгейдегі тәжірибенің ПО мәні;
f 1 - еркіндік дәрежесінің саны;
q - негізгі деңгейдегі тәжірибе саны.
(8)
f 1 =n 0 -1 (9)
f 1 =6-1=5
8 ДИСПЕРСИЯНЫҢ БІРТЕКТІЛІГІН ТЕКСЕРУ
Біз әрқашан операцияны жүргізу үшін қажетті жағдайлар бұзылмағанын қамтамасыз етуіміз керек. Тәжірбелік қате - бұл көптеген қателердің нәтижесіндегі жалпы фактор, факторларды өлшеудегі қателер оңтайландыру параметрін өлшеу кезіндегі қателер және т. б. Тәжірбелік деректерде қайталанып, тәжірибелерде қателік деп аталатын қателіктерді алып тастау өте маңызды. Түзетулерді өз бетімен жасау мүмкін емес. Жалпы қателерді анықтау үшін критерий Стьюдентаны пайдаланылады.
(10)
мұндағы t - Стьюдента критериі;
t табл - Стьюдента критериі маңызды деңгейде қабылданды α=0, 05
сондай-ақ еркіндік дәрежесінің саны f 1 =5, t табл(0, 05; 5) =2, 57;
σ - орташа квадрат қатесі.
(11)
Демек, тәжірибелік деректерде қателік жоқ.
9 ҮЛГІ КОЭФФИЦИЕНТТЕРІН ЕСЕПТЕУ
Біз үлгі коэффициенттерін ТФТ нәтижелерінен ең кішкентай квадраттар әдісімен есептеудеміз. Әдістің мәні мынада Bj үлгілерінің коэффициенттері функциясының минималды болуы шартымен анықталады, мұнда у і - оңтайландыру параметрінің тәжірибелі мәні; y і - оңтайландыру параметрі мәнінің теңдеуі арқылы есептелген.
Жеке туындылардың теңдеуі және оларды нөлге теңестіргеннен кейін теңдеулердің нәтижелі жүйесін шешеміз. Біз үлгі коэффициенттерін есептеу үшін формулаларды аламыз:
(12)
(13)
Қортынды келесі үлгіде болады:
У=450, 48+17, 65Х 1 -49, 24Х 2 +4, 10Х 3 -8, 34Х 4
... жалғасы- Іс жүргізу
- Автоматтандыру, Техника
- Алғашқы әскери дайындық
- Астрономия
- Ауыл шаруашылығы
- Банк ісі
- Бизнесті бағалау
- Биология
- Бухгалтерлік іс
- Валеология
- Ветеринария
- География
- Геология, Геофизика, Геодезия
- Дін
- Ет, сүт, шарап өнімдері
- Жалпы тарих
- Жер кадастрі, Жылжымайтын мүлік
- Журналистика
- Информатика
- Кеден ісі
- Маркетинг
- Математика, Геометрия
- Медицина
- Мемлекеттік басқару
- Менеджмент
- Мұнай, Газ
- Мұрағат ісі
- Мәдениеттану
- ОБЖ (Основы безопасности жизнедеятельности)
- Педагогика
- Полиграфия
- Психология
- Салық
- Саясаттану
- Сақтандыру
- Сертификаттау, стандарттау
- Социология, Демография
- Спорт
- Статистика
- Тілтану, Филология
- Тарихи тұлғалар
- Тау-кен ісі
- Транспорт
- Туризм
- Физика
- Философия
- Халықаралық қатынастар
- Химия
- Экология, Қоршаған ортаны қорғау
- Экономика
- Экономикалық география
- Электротехника
- Қазақстан тарихы
- Қаржы
- Құрылыс
- Құқық, Криминалистика
- Әдебиет
- Өнер, музыка
- Өнеркәсіп, Өндіріс
Қазақ тілінде жазылған рефераттар, курстық жұмыстар, дипломдық жұмыстар бойынша біздің қор #1 болып табылады.

Ақпарат
Қосымша
Email: info@stud.kz