Кәсіпорын жұмысына инвестициялар мен инновациялар: түрлері, жоспарлау және экономикалық тиімділік

КӘСІПОРЫН ЖҰМЫСЫНДАҒЫ ИНВЕСТИЦИЯ МЕН ИННОВАЦИЯЛАР
Нарық жағдайында өнеркәсіп өндірісі жаңа технологиялық базаға көшу кезінде, ұдайы өндіріске капитал салудың нәтижесінде "инвестиция" мен "инновация" түсініктері негізгі болып саналады. Өйткені нарық жағдайындағы үрдісте инвестиция негізінде жаңалық түрін өндіріске енгізу арқылы өнімнің жаңа немесе жетілдірілген түрін шығару, өндіріс техникаларын жаңалау, технология тұтынушылардың сұранысын қанағаттандыру іске асырылады.
Сонымен, өндірісті инновациялық деңгейде жүргізу деп ғылыми және техника жетістіктер негізінде тиімді, пайдалы өсім беретін, тұтынушылардың талабын жаңа әдіспен қамтамасыз етілуін айтамыз.
Ал инвестиция термині біздің экономикамызға енген жаңа ұғым - "күрделі қаржы салу" деген ұғымды білдіреді. Бұл ұғым қазіргі экономикалық жағдайында "күрделі қаржы салу" ұғымына қарағанда кең, мағыналы ұғым.
Инвестиция нақты және портфельді немесе қоржынды инвестиция болып бөлінеді. Нақты инвестиция бірінші жағдайда инвестор өзінің өндіріс көлемін кеңейтуде - өндірістік негізгі және айналым қорларын ұлғайтса, екінші жағдайда - инвестор құнды бағалы қағаздар үлесінен дивидент алу арқылы өзінің қаржы капиталын ұлғайтады. Ал айналым құралына салынған инвестицияны күрделі қаржы салымы деп есептеуге болмайды. Күрделі қаржыны қолдану бағытына қарай өндірістік және өндірістік емес етіп жіктеуге болады.
Өндірістік күрдеді қаржы - кәсіпорынның дамуына бағытталған салым, ал өндірістік емеске әлеуметтік шеңбердегі дамуды қамтамасыз ететін қаржы жатады.
Ұдайы өндірісте негізгі қорлар өзіне түрлері бойынша күрделі қаржыны жұмсауда төмендегідей болып ажыратылады:
• жаңадан салынатын құрылысқа жұмсалатын қаржылар;
•істеп тұрған кәсіпорынды қайта құру және техникалық қайта қарулануына арналған қаржылар;
• істеп тұрған кәсіпорынды кеңейтуге арналған қаржылар;
• жабдықтарды талапқа сәйкес жаңалауға арналған қаржылар.
Қаржыландыру көзіне қарай күрделі қаржыны орталықтандырылған және орталықтындырылмаған деп бөледі. Күрделі қаржы құрылымының түрін төмендегідей айыруға болады:
• технологиялық;
• ұдайы өндіріотік;
•салалық;
•аймақтық.
Технологиялық құрылымдағы мақсатқа күрделі қаржы бөлу мұнда қандай болмасын бөлінетін ірі құрылыс объектісіне арналған шығын көлемінің жалпы сметадағы құн үлесіне қатынасымен анықталады;
Бұл құрылымды жоғарғы сатыға көтеруде үйлесімді деңгейіне жасалынған смета жобасының құнында машина және жабдықтардың үлесін ұлғайтуды көздейді. Келешекте кәсіпорында технологиялық құрылымға күрделі қаржы бөлу үшін негізгі өндіріс қорларының белсенді және енжарлы негізгі бөлімдерінің арақатынасын қалыптастырады.
Бөлінген күрделі қаржы арқылы белсенді бөлімінің өсу деңгейін, кәсіпорынның өндіріс қуаттылығын арттыруға жағдай жасалынады.
Ұдайы өндіріс құрамына күрделі қаржы бөлу - негізгі өндіріс қорының ұдайы өндіріс түріне бөлінген күрделі қаржының жалпы сметадағы құнына үлес қатынасын білдіреді Мұнда жаңа құрылысқа, қайта құру, істеп тұрған өндірісті техникалық жабдақтау, кеңейту және модернизациялауға жұмсалатын күрделі қаржы деп бөлек есептейді.
Салалар құрылымына күрделі қаржы болу - тұтас алғанда халық шаруашылығына және өнеркәсіп салалары бойынша бөлінген қаржының қатынасын білдіреді, Барлық халық шаруашылығының ішіндегі ғылыми - техникалық үрдісті тездетіп, тез уақытқа - пропорционалды дами алатын салаларға күрделі қаржы бөлу тиімділігін арттырады.
Аймақтық құрыслысқа күрделі қаржы бөлу еліміздегі аудандарға күрделі қаржы бөлу арқылы дамыту қатынасын білдіреді;
Сонымен, нақталы инвестиция еліміздің экономикасында және жеке кәсіпорынның қай - қайсысы болмасын өмірінде келесі бағыттар бойынша маңызды рөл атқарады:
• ұлғаймалы ұдайы өндіріс саясатын іске асыруда және кәсіпорынның негізгі өндіріс қорын үнемі жаңалауда;
• өнім сапасын жақсарту және ғылыми - техникалық прогресті тездетуде;
• барлық халық шаруашылық салаларының тең дамуына және қоғам өндіріс құралдарының қайта құрылуында;
• өнеркәсіпке керекті шикізат базаларын жасауда;
• азаматтық құрылыстар, денсаулық сақтауды дамыту, жоғарғы және орта мектептерді дамытуда;
• жұмыссыздық мәселелерін шешуде немесе жеңілдетуде;
•табиғатты қорғау және басқадай мақсаттарға жетуде. Мұндай тізімдерді көп келтіруге болады. Сонымен, инвестиция бірінші жағдайда еліміздің экономикасын көтеріп, соның негізінде көптеген әлеуметтік жағдайларды шешуге, ең алдымен халықтың әл ауқатын, тұрмысын көтеруге қосатын үлесі өте зор.
Өкінішке орай, алғашқы реформа жылдары (1992-1998) күрделі қаржы бөлу, күрделі құрылыс жасау күрт төмендеді. Оның себептеріне келесі жағдайларды жатқызуға болады: экономикалық дағдарыс нәтижесінен туындаған отандық өнімдердің азаюы ұлттық табыстың төмендеуіне әкеліп соқты; инфляция қазірде ұзақ уақытта орындалатын жобаға ақша қаражатын бөлу көп жағдайда тиімсіз болып келді; кәсіпорындардың көпшілігінде экономикалық жағдайларының нашарлауына (ақша қаражатының жетіспеуінен) байланысты өндірісті жаңа техникамен, технологиямен жабдықтау, қайта құру және т. б. жұмыстары тоқтады.
Бүгінгі күні экономикалық дағдарыстан шығып, экономикалық өсу кезеңде инвестициялық қызметтерді қарқынды жандандыру қажет, ондай жұмыстарға бірінші кезекпен келесілерді жатқызуға болады: • еліміздегі экономикалық жағдайды тұрақтануы;
• инфляция қарқынының төмендеуі;
• салық салу жүйесінің жетілдірілуі;
• шетел инвестицияларын елімізге белсенді түрде тарту, отандық инвестицияларды кеңінен пайдалану мүмкіндіктері.
Еліміздің экономикалық өсуін тұрақтандыруға инвестицияға қажетті қор жинақтау, ұлттық табысты және жалпы ұлттық өнімді көбейту мәселелерін тез арада шешу жатады.
Еліміздің экономикасын тұрақтандыру шарасына инфляцияны төмендету жатады. Банк несиенің ставкасы инфляция үрдісіне тығыз байланысты болып келеді.
Іс жүзінде салынған инвестиция күтілген табыс мөлшеріне (М т ) және инвестицияға қойылған сұраныстың пайыздық ставкасына (С п ) бағынышты.
Ставка пайызы жоғары болған сайын, инвестицияға сұраныс төмен болады; инвестицияға сұраныс пен күтілген таза табыс мөлшер арасындағы байланыс сол үшін өте маңызды болып келеді.
Егер М
Т
>С
П
- пайыз ставкасынан таза табыс мөлшері артып түссе, онда инвестициялау пайдалы болады, Егер С
п
> М
т
- пайыз ставкасы күтілген таза табыс мөлшершем артып кетсе, онда инвестициялау пайдасыз.
Инвестиция жоғарғы деңгейде қатысқан жағдайда, әсіресе гиперинфляциада, банк несиесінің пайызы өте жоғары болады. Мұндай жағдайда күтілген таза табыс мөлшері банк несие пайызынан жоғары болса кәсіпорынға пайдалы болады.
Дәл қазіргі кезде осындай жобаны кәсіпорынға тауып беру ете қиын мәселе болып саналады. Сондықтан, гиперинфляция инвестиция жұмысының жандануына елеулі кедергі әкелетіні сөзсіз.
Инвестиция саясатында ең маңызды жағдайдың бірі - шетел капиталын тарта білу. Жер жүзі бойынша жыл сайын экспортқа шығатын капитал саны 160-180 млрд АҚШ-доллары есебінде құрайтын көрінеді. Ал біздің Қазақстан Республикасында инвестиция салушыларға жақсы жағдай жасаудың арқасында инвестиция тарту көлемі ТМД-мемлекеттерінің ішінде көрнекті орында, яғни бұл көлем бізде 10 млрд. АҚШ долларын құрайтын көрінеді.
Кәсіпорында инвестицияны жоспарлау - бірі өте маңызды және күрделі үрдіс. Кәсіпорында инвестицияиы салу терең экономикалық талдау жүргізу арқылы негізделіп: жоспарлануы тиіс:
Инвестицияны жоспарлағанда төменде келтірілген ереже ескерілуі тиіс:
- инвестицияланатын қаржының мән - мағынасының болуы
- инвестиция рентабельдігі инфляция қарқынынан асып түсуге тиіс;
- кәсіпорын ақшасын банкте сақтаудан гөрі, инвестиция ретінде жұмсау арқылы көп пайдаға жетеді;
- жобаның дисконттеуді есепке ала отырып, жоғары рентабельді болуы;
- ең үлкен экономикалық пайданы қамтамасыз етіп, төменгі деңгейдегі тәуекелдікке жету.
Күрделі қаржы салуды экономикалық әдіспен негіздеу
Жоспарлы экономика кезінде кәсіпорындар арнаулы бекітілген күрделі қаржы жұмсаудың экономикалық тиімділігін анықтау әдістемесі бойынша жұмыс істеді. Соған сәйкес күрделі қаржының салу тиімділігін абсолюттік және салыстырмалы түрде анықтады. Әр түрлі деңгейдегі абсолюттік күрделі қаржы салу тиімділігін төмендегі формула бойынша есептейді:
а) халық шаруашылық деңгейінде:
мұнда - К х/ш халық шаруашылығы деңгейіндегі күрделі қаржы салудың абсолюттік тиімділік коэффиценті;
Ұт - ұлттық табыстың өсуі;
К - ұлттық табыстың өсуіне қарай күрделі қаржы салу;
У от - күрделі қаржыны өтеу уақыты.
б) салалар деңгейінде (Сg) :
мұнда, Т өмө - таза өнім мөлшерінің өсуі;
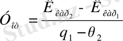
в) кәсіпорын деңгейінде пайдамеа жұмыс істейтін кәсіпорын үшін:
зиянымен жұмыс істейтін кәсіпорын ұшін:
мұнда, П - инвестиция салу есебінен кәсіпорында пайданың өсуі;
Ө 1 - Ө 2 - инвестиция салуға дейін және кейінгі өнім бірлігінің өзіндікқұны;
Ө К2 - күрделі қаржы салудан кейінгі өнім шығару көлемі.
Сонымен, есептелінген мөлшерлік көлемі абсолюттік күрделі қаржы салу көрсеткішімен салыстырылады. Егер олар бірдей немесе күрделі қаржы салу коэффицентінің корсеткішінен артса, онда күрделі қаржы салу экономикалық тиімді болып саналады.
Күрделі қаржы салу коэффициенті мөлшерінің маңызы шаруашылық салаларында жіктелініп, оның көлемі 0, 07-ден 0 25-ке дейін аралықта болады.
Қазіргі жағдайда бұл әдістеменің негізгі кемшілігі - күрделі қаржы салу мөлшерлік коэффициентінің тиімділігі көп дәрежеге темендетілген. Нарық жағдайындағы экономикада оның көлемі, инфляция деңгейінің өзгеруіне байланысты тепе-теңдікте және пайыздық ставкасының деңгейінде болуы тиіс.
Келтірілген шығын түрлерін күрделі қаржы салу тиімділігін салыстыру әдістемесін қолдану арқылы анықтау қажет. Осы әдістеме бойынша келтірілген шығынның төменгі деңгейін қамтамасыз ететін түрін есептейді, яғни
Ш
і
=Ө
і
К
к
К
қарі
+
min
мұнда Ш і - шығын түрі;
Ө і - өнімнің түрлері бойынша өзіндік құны;
К қарі - түрлері бойынша күрделі қаржы салу;
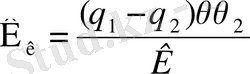
Сонымен, жылдық экономикалық тиімділіктің дұрыс түрін анықтау үшін төмендегі формуланы қолданады,
Э=(Ш 1 -Ш 2 ) =(Ө 1 +К к К қарі 1) -( Ө 2 +К к К қарі 2)
шығынның түрлері бойынша келтіру;
Ө 1 Ө 2 - өнімнің түрлері бойынша өзіндік құн;
К қарі 1, К қарі 2 - күрделі қаржы бөлу түрлері бойыиша.
Күрделі қаржы салу салыстырмалы коэффициентін төмендегі формуламен анықтаймыз:
Егер Қ
салыс
К
к
мұндай жағдайда, күрделі қаржы салудың экономикалық жоспары негізделген деуге болады.
Нарықтық экономикасы дамыған елдерде ондаған жылдар бойы салынатыи инвестицияны анықтау әдістемесі өзінің маңызын жоймай, теориялық және тәжірибелік маңызы барын көрсетіп келді. Бұл әдіс терең ғылыми түрде негізделіп, тәжірибеде кеңінен қолданылды.
Батыс елдірдің экономикалық әдебиеттерінде әдістеменің негізгі баптары егжей-тегжейлі сипатталған. Бұл мәселені шешуде екі тәсіл көптен белгілі.
Бірінші тәсілде инвестиция мөлшерін алынған табыс мөлшерімен салыстырып, байланыстырып және сұраныс бағасын, ұсыныс бағасымен салыстыру арқылы анықтайды. Кәсіпкер салынған инвестицияға құштар, яғни тауар капиталын алуға, ие болуға, егер одан тек қана белгілі бір мезгілде оны пайдаданудан салынған инвестиция мөлшерінен кем емес табысқа ие болғанда ғана ойлаған ойына жеткенін керсетеді. Бірақ, бұл мөлшерді қалай салыстыру керек?
Кәсіпкер тауар үшін белгілі соманы төлеуге міндетті, ал табыс бірден келе қоймай, бірнеше жыл ішінде біртіндеп келуі мүмкін. Инвестиция салынған кезеңнен бастап, келешекте кәсіпкер қанша табыс алатынын анықтау керек. Мұндай есепті жер жүзі тәжірибесінде дисконттірленген деп аталып, ал осы есептің қортындысы бойынша алынған мөлшерді дисконттірленген немесе ағымдағы құны деп атайды. Дисконтірленген құн (Дқ) қандай болмасын табыс (Т) белгілі бір кезеңде (К) пайыздық ставкаға (r) тең болады:
мұнда 1, 2, 3 . . . n - жылдар, осы уақыт ішінде табыстың жылдар бойғы күтілуі Т 1 Т 2 , Т 3 ., ., Т n .
Бұл көрсетілген формуладан байқайтынымыз, дисконттірленген құнның сомасы қандайда төмен жағдайда болса, оның мерзімі ұзақ болғанда, салушы осы арқылы ойлаған (Т) ізделетін соманы алуына, бұл жағдайда пайыздық ставка (т) жоғары болғанда табысқа қолы жетеді.
... жалғасы- Іс жүргізу
- Автоматтандыру, Техника
- Алғашқы әскери дайындық
- Астрономия
- Ауыл шаруашылығы
- Банк ісі
- Бизнесті бағалау
- Биология
- Бухгалтерлік іс
- Валеология
- Ветеринария
- География
- Геология, Геофизика, Геодезия
- Дін
- Ет, сүт, шарап өнімдері
- Жалпы тарих
- Жер кадастрі, Жылжымайтын мүлік
- Журналистика
- Информатика
- Кеден ісі
- Маркетинг
- Математика, Геометрия
- Медицина
- Мемлекеттік басқару
- Менеджмент
- Мұнай, Газ
- Мұрағат ісі
- Мәдениеттану
- ОБЖ (Основы безопасности жизнедеятельности)
- Педагогика
- Полиграфия
- Психология
- Салық
- Саясаттану
- Сақтандыру
- Сертификаттау, стандарттау
- Социология, Демография
- Спорт
- Статистика
- Тілтану, Филология
- Тарихи тұлғалар
- Тау-кен ісі
- Транспорт
- Туризм
- Физика
- Философия
- Халықаралық қатынастар
- Химия
- Экология, Қоршаған ортаны қорғау
- Экономика
- Экономикалық география
- Электротехника
- Қазақстан тарихы
- Қаржы
- Құрылыс
- Құқық, Криминалистика
- Әдебиет
- Өнер, музыка
- Өнеркәсіп, Өндіріс
Қазақ тілінде жазылған рефераттар, курстық жұмыстар, дипломдық жұмыстар бойынша біздің қор #1 болып табылады.
Ақпарат
Қосымша
Email: info@stud.kz