Электр зарядының екі таңбасы


Дәріс тақырыбы: Электродинамиканың негізгі ұғымдарын оқып үйрену әдістемесі .
Жоспары:
- Электр заряды. Кулон заңын оқыту.
- Электр өрісі. Электр өрісінің кернеулігі ұғымын қалыптастыру.
- Потенциал, потенциалдар айырмасы, кернеу.
1. Электр заряды мен олардың арысындағы өзара әсер жөніндегі мәселені бастағанда оқушылардың бұрын 8-сыныпта денелердің электрлену құбылысымен танысқанын, зарядтар таңбасының екі түрлі болатындығына тәжірибеде көз жеткізгенін, атомның құрлысы туралы ұғым алғандығын және бірқатар құбылыстарды зарядтардың өзара әсері арқылы түсіндіруге болатынын оқығандығын ескеру қажет. Мұғалім оқушылардың сол алған білімдерін жаңғырып, жаңа мағлүматтармен толықтырып, дамыта және тереңдете түсуі тиіс.
Көзделіп отырған мақсатқа жету үшін тақырыпты түсіндіруді мынадай жоспармен жүргізу қолайлы деп есептейміз.
1. Денелердің электрленуі. Бірнеше тәжірибелер көрсету арқылы электрленген денелердің жеңіл денелерді өзіне тартатындығы қорытындылады. Электрленген денелердің тек жеңіл денелерді ғана емес ауыр денеледі де өзіне тартатындығын көрсету үшін мынадай тәжірибені жасауға болады: ұзын металл труба (түтікше) алып (≈2м), дәл ортасынан жіңішке жіпке байлап, іліп қояды; егер электрленген таяқшаны трубаның бір ұшына жақындатсақ, онда оның таяқшаға тартылатындығын анық байқауға болады; иеталл трубаның орнына ұзын ағаш таяқшаны да қолданады.
2. электрленген денелердің өзара әсерлесуі. Денелердің электрленуін көрсеткеннен кейін электрленген денелердің өзара әсерлесуі бірдей болмайтындығын анықтап алған жөн: кейде - электрленген денелер бірін бірі тартады, кейде-олар бірін бірі тебеді. Бұл құбылысты демонстрациялау үшін алдынала сәйкес тәжірибелерді таңдап алу керек. Осыған байланысты электрлену дәрежесінің әртүрлі болатындығын көрсету керек, ол үшін электроскопты пайдаланамыз. Екі электроскоптың бірін электрлеп, екіншісімен зарядник арқылы жалғастырып, денелердің электрлену қасиеті бір денеден екінші денеге берілетіндігіне оқушылар назарын аударуға болады. бұл тәжірибелер оқушыларды заряд ұғымына жақындата түседі.
3. Электр зарядының екі таңбасы. Электрленген денелерді зарядталған, заряды бар деп айту қалыптасып кеткен. Қарама қарсы таңбалы зарядпен электрленген денелер бірін бірі тартады, ал бірдей таңбалы зарядпен электрленген денелер бірін бірі тебеді. Бұл қорытындыны тәжірибелермен дәлелдеу керек. Мұнан соң қарама -қарсы таңбалы зарядтардың бір -бірін бейтараптап жіберетіндігі айтылып, тәжірибе көрсетіледі.
4. Денелерді электрлеудің әдістері. Жоғарыда көрсетілген тәжірибелерге сүйеніп және жаңадан тәжірибелер көрсету арқылы денелерді екі түрлі әдіспен электрлеуге болатындығы жөнінде қорытынды жасауға болады: денелерді тиістіру арқылы және ықпал арқылы. Кейбір әдіскерлер, механизмін түсіндірмей-ақ гальвани элементтері батареясы және жарық әсері көмегімен электрлеу әдістерін де көрсетуді қолайлы деп есептейді. Әсіресе электроскоптың жарық әсерінен разрятталуы оқушыларда жақсы әсер қалдырады.
5. элементар заряд. Оқушылардың алған осы мәліметтері элементар заряд ұғымын ендіруге жеткілікті. Ең бастысы -зарядтың денемен немесе бөлшекпен байланысты екендігін, кейбір элементтар бөлшектердің (электрон, протон және т. б) ол ажырамас қасиеті екендігін түсіндіре білу. Табиғатта бейтарап элементтар бөлшектер (нейтрон және т. б) болғанымен материялдық тасушысыз заряд болмайтындығы айтылуы тиіс. Электрондық және протондық тұрғыдан жоғарыда көрсетілген тәжірибелерді қайта түсіндіру қажет.
Келесі қозғалатын мәселе - зарядтың дискреттілігі. Оқушыларға осы кездегі физиканың зарядтың атомы - элементар заряд- болатындығын көптеген тәжірибелер арқылы дәлелдеп беріп отырғандығы айтылуы тиіс. Бұл мақсатта әдетте Миллекен тәжірибесі айтылады, кейде әдіскерлер электролиз құбылысын пайдаланғанды жөн көреді. Физика курсын оқу барысында оқушылар ондай әр түрлі тәжірибелермен танысады. Онан соң кез келген дененің зарядының сол элементар зарядтың бүтін санына тең болатындығы түсіндіріледі. Қалыпты жағдайда денелерді құрайтын бөлшектердің оң және теріс зарядтары тең, сондықтан дене бейтарап күйде болатындығы, ал денелер электрленгенде қандай да бір зарядты бөлшектердің саны артып кететіндігі айтылуы тиіс.
6. Электр зарядының сақталу заңы. Бұл заң- іргелі табиғи заңдардың бірі, сондықтан оған айрықша көңіл аудару қажет. 10-сыныпта бұл заң екі тұрғыдан берілуі мүмкін. Оның біріншісінде электр зарядының атомистік құрылымы ескеріледі: тұйық жүйеде барлық бөлшектердің заряттарының алгебралық қосындысы өзгермейді, зарядтар пайда болғанда қарама -қарсы таңбалы элементар зарядтар жұбымен пайда болады да, ал бейтараптанғанда -жұбымен бейтараптанады. Заңның айтылуының бұл түрімен қатар екінші айтылу түрі бар, ол макроскопиялық немесе зарядты өлшеуге болатындығы
тұрғысынан айтылады: тұйық жүйедегі зарядтардың алгебралық қосындысы өзгермейді.
Заңның орындалуының дәлелі ретінде денелерді тиістіру арқылы электрленгенде денелердің қарама -қарсы таңбалы зарядтармен электрленетіндігін келтіруге болады. Олай болса, электрлеу дегеніміз денедегі зарядтарды модульі жағынан тең, таңбалары қарама-қарсы зарядтарға бөлу процесі екендігін түсіндіру қажет.
Осы тұста зарядтың тағы бір қасиетіне тоқтала кеткен жөн, ол-зарядтың инварианттығы. Ескерте кететін бір жәйт -оқушылар көп жағдайда «шаманың сақталуы» және «шаманың инварианттығы» ұғымдарын баса ажырта алмайды, сондықтан мұғалім мәселеге көңіл аударғаны дұрыс. Заряд абсолют шама, ол тасымалдаушы бөлшек жылдамдығына байланыссыз, басқаша айтқанда санақ жүйесіне тәуелді шама емес.
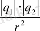
7. Кулон заңы. Кулон заңы да электродинамикаға іргелі заңның бірі, ол электр заряттарының өзара әсерлесуін сан жағынан сипаттайды. Заңды 1785 ж. тәжірибе жүзінде Ш. Кулон (1736-1806ж) тағайындаған болатын.
Кулон заңы жөнінде материалды әңгіме ретінде бастаған дұрыс. Алдымен Кулонның тәжірибесі айтылып, иірілмелі таразының құрылысы мен онымен жұмыс істеу әдісі түсіндіріледі. әңгіме барысында сынып тақтасына жазулардың түскені дұрыс:
F~ q 1
F~ q
2
F~
, F=k
.
F~
айтылуы: тыныштықтағы зарядталған екі нүктелік дененің вакуумдағы өзара әсерлесу күші олардың зарядтарының модульдерінің көбейтіндісіне тура пропорционал және ара қашықтықтарының квадратына кері пропорционал болады, ол күш сол денелердің центрлерін қосатын түзу бойымен бағытталған.
Осыдан кейін физика кабинетіндегі приборлардың мүмкіндігіне қарай, сапа жағынан болса да, электрленген екі дененің арасындағы әсерлесу күшінің зарядтар шамасына және олардың ара қашықтығына тәуелді болатындығын көрсететін тәжірибе ұйымдастырылғаны жөн. Ондай тәжірибелер әр түрлі, қолайлы тәжірибені әдістемелік әдебиеттерден таңдап алуға болады.
Электростатикалық өзара әсерлесу заңы мен гравитациялық күш пен электрлік күштерді өзара салыстырып, электрлік күштің өте басым екендігін түсіндіре кету керек.
Келесі тоқталатын нәрсе -электр зарядының бірлігі. Онымен оқушылар 8-сыныптан таныс. СИ жүиесінде алдымен ток күшінің бірлігі
ампер
енгізілетіндігін, оның бұл жүйеде метр, килограмм және секунд сияқты шаманың бірі болатындығын тағы ескерткен жөн. Сонан соң барып ток күші бір ампер (А) болғанда өткізгіштің көлденең қимасы арқылы бір секундте өтетін заряд мөлшері заряд бірлігі ретінде алынатындығы, оны Кулон (Кл) деп атайтындығы айтылады. Осыған байланысты Кулон заңындағы коэффициентінің физикалық мағынасы ашылып, оның мәні беріледі:
к=
м
2
/Кл
2
бірақ СИ жүйесінде к коэффициенті мына түрде алынатындығы айтылуы қажет:
к=
,
мұндағы
-электр тұрақтысы деп аталады, оның сан мәні мынадай болып шығады:
қортындысында элементар зарядтың сан мәні мен электронның тыныштықтағы массасының сан мәнін берген орынды болған болар еді:
е=1, 6
Кл, m
e
=9, 1
кг.
Ең соңында зарядталған денелер (бөлшектер) өзара, қасиеттері бізгі әлі таныс емес, өріс арқылы әсерлесетіндігін ескертекету керек.
2 . Оқушылардың электр заряды жөніндегі алған мағлұматтарын қысқаша қорытындылай келіп, заряды бар дене екінші зарядталған денеге қалайша әсер жасайтындығы жөнінде сұрақ қоюға болады. Алдымен бұл құбылысты түсіндіру үшін ғалымдар алыстан әсер ету теориясын жасағанын, бұл теорияның түсіндіруі боййынша әсердің кез келген қашықтыққа лездік түрде берілетінін, кейіннен бұл теорияның тәжірибеде дәлелденбегенін айтуға болады. Сонан соң Фарадей мен Максвелдің жаңа теория ұсынғандығы, жаңа теория бойынша электрленген денелердің айналасында ерекше өріс пайда болатындығы, зарядталған денелердің бір-біріне жасайтын әсері шекті жылдамдықпен берілетіндігі жөнінде айтылуы тиіс. Жаңа теорияны жақыннан әсер ету теориясы деп, ал зарядталған дене айналасындағы өрісті электр өрісі деп атайды.
Электр өрісінің материалдығын мынадай логикалық ойлау жүйесінің көмегімен дәлелдеуге болады. Бір-бірінен r қашықтықта орналасқан А және В зарядтары берілсін. Егер А заряды орнынан жылжыса, белгілі уақыттан кейін оны дереу В заряды сезеді. Олай болса, А зарядынан В зарядына қандай да бір «сигнал» беріледі. Айталық t 0 моментінде А заряды В зарядына «сигнал» жіберген болсын. Егер «сигналдың» таралу жылдамдығы V болса, онда В заряды «сигналды» t 1 уақыт моментінде қабылдайды. «Сигналдың» екі заряд аралығында жүрген уақыты былай анықталар еді:
Егер «сигнал» өте қысқа болса, онда А зариядынан жіберілген «сигнал» В зарядына жетіп үлгермейтін белгілі бір уақыт аралығы бар. Осы кезде А зарядынан жіберілген сигнал қайда болады.
Алыстан әсер ету теориясы бұл сұраққа жауап бере алмайды. Ал жақыннан әсер ету теориясы энергияның айналуы және сақталу заңына сүйеніп, бұл құбылысты төмендегіше түсіндіріп бере алады: біздің «сигнал» деп отырғанымыз тасымалданатын энергия. Уақыттың t 0 моментінде ол электр өрісінің энергиясына айналып, кеңістікте өріс V жылдамдықпен тарайды. Уақыттың t 1 моментінде оны В заряды қабылдайды.
Энергия- материяның қасиеті және одан бөлек өзінше өмір сүре алмайды. Олай болса электр өрісі де, зат сияқты, материяның бір түрі. Ол-бір зарядтың екінші зарядқа әсерін қамтамасыз етуші материялдық орта.
... жалғасы- Іс жүргізу
- Автоматтандыру, Техника
- Алғашқы әскери дайындық
- Астрономия
- Ауыл шаруашылығы
- Банк ісі
- Бизнесті бағалау
- Биология
- Бухгалтерлік іс
- Валеология
- Ветеринария
- География
- Геология, Геофизика, Геодезия
- Дін
- Ет, сүт, шарап өнімдері
- Жалпы тарих
- Жер кадастрі, Жылжымайтын мүлік
- Журналистика
- Информатика
- Кеден ісі
- Маркетинг
- Математика, Геометрия
- Медицина
- Мемлекеттік басқару
- Менеджмент
- Мұнай, Газ
- Мұрағат ісі
- Мәдениеттану
- ОБЖ (Основы безопасности жизнедеятельности)
- Педагогика
- Полиграфия
- Психология
- Салық
- Саясаттану
- Сақтандыру
- Сертификаттау, стандарттау
- Социология, Демография
- Спорт
- Статистика
- Тілтану, Филология
- Тарихи тұлғалар
- Тау-кен ісі
- Транспорт
- Туризм
- Физика
- Философия
- Халықаралық қатынастар
- Химия
- Экология, Қоршаған ортаны қорғау
- Экономика
- Экономикалық география
- Электротехника
- Қазақстан тарихы
- Қаржы
- Құрылыс
- Құқық, Криминалистика
- Әдебиет
- Өнер, музыка
- Өнеркәсіп, Өндіріс
Қазақ тілінде жазылған рефераттар, курстық жұмыстар, дипломдық жұмыстар бойынша біздің қор #1 болып табылады.

Ақпарат
Қосымша
Email: info@stud.kz