Бас нүкте


. Сонымен

формулаға
Equation. 3 мәндерiн қойып,
Equation. 3 -ы табамыз.
осыдан
§28. Жазықтықтағы түзудiң теңдеулерi
















24-сурет










теңдеу жазықтықтағы
түзудiң
векторлық теңдеуi
деп аталады. Бұл теңдеу координаттар арқылы былай жазылады
теңдеудi жазықтықтағы
түзудiң
нормаль түріндегі
теңдеуі
деп ата-лады. Бұл теңдеудiң екi жағын нөлден өзге кез келген санға көбейтсек нәти-жесінде
теңдеуге эквивалентті
түзудiң теңдеуін аламыз. Сонымен


теңдеу жазықтықтағы түзудiң
жалпы түрдегі теңдеуі
деп аталады. Бұл теңдеудi әрқашанда нормальді түрге келтіруге болады оны мына санға көбей-тiп


саны нормалаушы көбейткiш деп аталады.
-ың таңбасы
санының таңбасына қарама-қарсы, себебі
оң сан болуы керек.
. 3 болғандықтан
Equation. 3 Олай болса
Equation. 3 ал
Equation. 3 векторы
түзуiне перпендикуляр, себебi ол
векторына коллинеарлы, шынында да
Сондықтан
векторын
түзудiң нормалi деп атайды. Өздерiң көрiп отырғандай жазықтықтағы түзудiң тең-деулерiн кеңiстiктегi жазықтықтың теңдеулерiнiң дербес түрi деп қарас-тыруға болады. Сондықтан кеңiстiктегi жазықтықтың теңдеулерiнен жасал-ған барлық тұжырым жазықтықтағы түзулердiң теңдеулерiне де дұрыс.
Түзудiң жалпы теңдеуiнiң дербес түрлерi:
- Егерболса, ондаEquation. 3 теңдеуi мына түрге келедiEquation. 3 БұлEquation. 3 өсiне параллель түзудiң теңдеуi;
- ЕгерEquation. 3 болса, ондаEquation. 3 түзуiөсiне параллель;
- Егерболса, ондаEquation. 3 теңдеуi бас нүктеEquation. 3 арқылы өте-тiн түзудiң теңдеуi.
Equation. 3 теңдеудi мына түрге келтiруге болады, егер
Equation. 3,


мұндағы
теңдеудi мектептен белгiлi түзудiң
бұрыштық теңдеуi
деп аталады. Мұндағы
бұрыштық коэффициент, ал
тү-зуi мен
өсiнiң оң бағытының арасындағы бұрыш.




Мұндағы
теңдеу түзудiң
кесiндiдегi теңдеуi
деп аталады. Бұл түзу
өсiн
нүктесiнде,
өсiн
нүктеде қиып өтедi.
Екi түзудi қарастырайық






Equation. 3,
Equation. 3 векторлар осы екi түзудiң сәйкес нормаль векторлары. Екi түзудiң арасындағы бұрыш осы екi
Equation. 3 және
Equation. 3 векторлардың арасындағы бұрышқа тең. Скалярлық көбейтiндiнiң бiрiншi анықтамасынан




Егер
Equation. 3 және
Equation. 3 перпендикуляр болса, онда олардың нормальдары да перпендикуляр болады, яғни



теңдiк екi түзудiң перпендикуляр болу шарты. Егер
параллель болса, онда
және
коллинеарлы векторлар, яғни


теңдiк екi түзудiң параллель болу шарты.
Equation. 3 және
түзулер бұрыш-тық теңдеулер арқылы берiлсiн, яғни


Онда
жалпы түрге келтiрiп былай жазуға болады


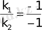
Екi түзудiң перпендикуляр болу шарты
мынандай болады


Екi түзудiң параллель болу шарты
былай жазылады
осыдан
немесе


пен
шарттар бұрыннан белгiлi.
Егер
түзу
нүктесi арқылы өтсе, онда


теңдiгi дұрыс.
теңдiктен
-i алып мына теңдiктi аламыз




мұндағы
және
теңдеулердi түзудiң
бiр нүкте арқылы
өтетiн
теңдеулерi деп аталады. Екi
және
нүкте арқылы өтетiн түзудiң теңдеуi де осылайша анықталады
нүктеден жазықтықтағы түзуге дейiнгi ара қашықтықта нүктеде жазықтық-
тың ара қашықтықтың дербес түрi ретiнде қорытылады, сонымен
түзуiмен
нүктенiң ара қашықтығы


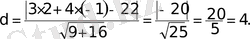
Мысал.
нүктеден
түзуге дейiнгi ара қашықтықты табу керек.
Шешiмi.
формула бойынша
Олай болса
№5 дәрiс.
§29. Екiншi реттi қисық сызықтар
Дәрежелерi екiншi реттi болатын теңдеулермен анықталатын сызықтарды қарастырайық


Бұл теңдеудiң коэффициенттерi нақты сандар және ең кем дегенде
немесе
-ның бiреуi нөлге тең емес. Мұндай сызықтарды
екiншi реттi сызықтар
(
қисықтар)
деп атайды.
Канондық теңдеулермен берiлген кейбiр қисықтарды қарастырайық.












1. Шеңбер.
шеңбердiң канондық теңдеуi.











25-сурет
Егер
болса, онда центрi бас нүкте болатын шеңбердiң теңдеуi


2. Эллипс.
эллипстiң канондық теңдеуi.
Эллипстiң канондық теңдеуi
және
-тiң тек жұп дәрежесiнен тұратын болғандықтан, егер
нүктесi осы эллипстiң нүктесi болса, онда
,
,
нүктелерi де осы осы эллипстiң нүктелерi болады. Сондықтан эллипс
және
өстерiне симметриялы болады, сонымен қатар эллипс бас нүктеге де
-де симметриялы.
,
,
,
нүктелерi эллипстiң төбелерi,
нүктесi эллипстiң центрi.
- эл-
липстiң үлкен жарты өсi,
- кiшi жарты өсi деп аталады. Егер
болса, онда эллипс шеңберге айналады
теңдеудiң сол жағындағы әрбiр қосылғыш бiрден аспайды, яғни
және
немесе
және
Сондықтан эллипстiң барлық нүктелерi
түзулерден тұратын төртбұрыш iшiнде жатады.

теңдеудегi терiс емес қосылғыштардың
және
қосындысы бiрге тең. Сондықтан, егер бiр қосылғыш өссе екiншi қосылғыш кемидi, яғни
өссе онда
кемидi және керiсiнше. Сонымен эллипстiң графигi 26-суреттей болады.
деп белгiлейiк.
эллипстiң эксцентриситетi деп аталады.
және
эллипстiң фокустерi, ал эллипстiң фокусiнен кез келген нүктесiне дейiнгi қашықтықтарды
нүктесiнiң фокальдық радиустерi деп атайды.
Анықтама.
Фокустар деп аталатын екi
және
нүктеден ара қашық-тықтарының қосындысы тұрақты,
болатын, жазықтықтағы нүктелердiң геометриялық орнын
эллипс
дейдi, яғни


Эллипстiң канондық теңдеуiн осы
-ден қорытып шығаруға болады.
эллипстiң кез келген нүктесi. 26-суреттегi
тiкбұрышты үшбұ-рыштан
ал
үшбұрыштан
Бұл өрнектердi
формулаға қойсақ мына өрнектi аламыз.


формуланы былай түрлендiремiз
екi жағын квадраттап
Осыдан
,
тағы
да екi жағын квадраттаймыз
болғандықтан
немесе
бұл теңдеу эллипстiң канондық теңдеуi.
3. Гипербола. Гиперболаның канондық теңдеуi



























Анықтама.
Фокустар деп аталатын екi
және
нүктеден ара қашықтықтарының айырымының абсолют шамасы тұрақты,
болатын, жазықтықтағы нүктелердiң геометриялық орнын
гипербола
деп атайды, яғни


формуланы пайдаланып 27-суреттен
екендiгiн ескерiп гиперболаның канондық теңдеуiнiң
-ке тең екендiгiн дәлелдеуге болады.
- Парабола. Параболаның канондық теңдеуi











Анықтама.
фокустен және директриса деп аталатын түзуден ара қашықтықтары бiрдей болатын нүктелердiң геометриялық орнын
парабола
деп атайды, яғни


- Іс жүргізу
- Автоматтандыру, Техника
- Алғашқы әскери дайындық
- Астрономия
- Ауыл шаруашылығы
- Банк ісі
- Бизнесті бағалау
- Биология
- Бухгалтерлік іс
- Валеология
- Ветеринария
- География
- Геология, Геофизика, Геодезия
- Дін
- Ет, сүт, шарап өнімдері
- Жалпы тарих
- Жер кадастрі, Жылжымайтын мүлік
- Журналистика
- Информатика
- Кеден ісі
- Маркетинг
- Математика, Геометрия
- Медицина
- Мемлекеттік басқару
- Менеджмент
- Мұнай, Газ
- Мұрағат ісі
- Мәдениеттану
- ОБЖ (Основы безопасности жизнедеятельности)
- Педагогика
- Полиграфия
- Психология
- Салық
- Саясаттану
- Сақтандыру
- Сертификаттау, стандарттау
- Социология, Демография
- Спорт
- Статистика
- Тілтану, Филология
- Тарихи тұлғалар
- Тау-кен ісі
- Транспорт
- Туризм
- Физика
- Философия
- Халықаралық қатынастар
- Химия
- Экология, Қоршаған ортаны қорғау
- Экономика
- Экономикалық география
- Электротехника
- Қазақстан тарихы
- Қаржы
- Құрылыс
- Құқық, Криминалистика
- Әдебиет
- Өнер, музыка
- Өнеркәсіп, Өндіріс
Қазақ тілінде жазылған рефераттар, курстық жұмыстар, дипломдық жұмыстар бойынша біздің қор #1 болып табылады.

Ақпарат
Қосымша
Email: info@stud.kz