Анықталмаған және анықталған интегралдар мен интегралдау әдістері; көп айнымалы функциялар: дербес туындылар, градиент және Лагранж әдісі арқылы шартты экстремум


Жұмыс түрі:  Материал
Тегін:  Антиплагиат
Көлемі: 28 бет
Таңдаулыға:   

СЕГІЗІНШІ ЛЕКЦИЯ

ИНТЕГРАЛ

Анықталмаған интеграл . f(x) және F(x) функциялары ақырлы немесе ақырсыз Х аралықта анықталған функциялар болсын.

Анықтама. Х аралығында дифференциалданатын

\[F\left(\,\mathcal{X}\right)\]
функциясы

\[F^{\prime}(x)\]
= f(x)

теңдігін қанағаттандырса F(x) функциясы f(х) функциясының алғашқы функциясы деп аталады.

\[F\phi(x)=t g a\,=f(x)\]
Мысалы , F(x) =x 3 функциясы f(x) =3x 2 функциясының алғашқы функциясы болады,

себебі

\[F^{\prime}(x)\]
туындының геометриялық мағнасы y=F(x) функциясына х нүктеде жүргізілген жанаманың бұрыштық коэффициенті. Сонда,
\[f({\boldsymbol{x}})\]
функцияның алғашқы функциясын табу дегеніміз х нүктеде жүргізілген жанамасының бұрыштық коэффициенті сол нүктедегі
\[f({\boldsymbol{x}})\]
функциясының мәніне тең болатын y=F(x) қисығын табу деген сөз, яғни

\[F\,\phi(x)=t g c a\,=f(x)\]
.

\[f({\boldsymbol{x}})\]
функцияның алғашқы функциясы бірмәнді анықталмаған. Шынында да, мысалдағы f(x) =3x 2 функцияларының алғашқы функциялары ретінде мына функцияларды алуымызға болады: x 3 +1 , x 3 -5 , x 3 +C , мұндағы С -қандай да бір нақты сан (себебі, бұл функциялардың туындысы 3x 2 болады) . Жалпы жағдайда айтсақ,
\[f({\boldsymbol{x}})\]
функцияның алғашқы функциясы y=F(x) табылса, онда F(x) +С функциясы да
\[f({\boldsymbol{x}})\]
функцияның алғашқы функциясы болады, себебі
\[\left(F(x)+C\right)^{\phi}=F\,\forall x)+0=f(x)\]
. Геометриялық тұрғыдан қарастырсақ,
\[F\,\phi(x)=t g c a\,=f(x)\]
шартын қанағаттандыратын бір y=F(x) функция табылса, онда функция графигін Оу осі бойымен С шамаға жылжыту арқылы осы шартты қанағаттандыратын қисықтарды аламыз (бұлай жылжыту бұрыштық коэффициентті өзгертпейді) .

Мынадай теорема дұрыс болады.

Теорема. Егер Х аралығында

\[F\left(\,\mathcal{X}\right)\]
және Ф(х) функциялары f(х ) функциясының алғашқы функциясы болса, онда қандай да бір С саны табылып, мына теңдік орындалады:

Ф(х) = F(x) + C .

Бұл теоремадан егер

\[F\left(\,\mathcal{X}\right)\]
функциясы f(х ) функциясының алғашқы функциясы болса, онда F(x) + C өрнегі f(х) функциясының барлық алғашқы функцияларының жиынын беретіндігі шығады.

Анықтама. f(х) функциясының алғашқы функцияларының жиыны оның анықталмаған интегралы деп аталады және

\[[f(x)d x\]
деп белгіленеді, мұндағы - интеграл белгісі; f(х) - интеграл астындағы функция; f(х) dx - интеграл астындағы өрнек. Сонымен,

\[f(x)d x\]
= F(x) + C , (1)

мұндағы F(x) - алғашқы функция, C - ерікті тұрақты .

Мысалдағы, f(x) =3x 2 функциясының алғашқы функциясы F(x) =x 3 болғандықтан, анықтама бойынша .

Берілген функцияның алғашқы функциясын табу амалы функцияны интегралдау деп аталады. Функцияны интегралдау амалы дифференциалдау амалына кері амал.

Интеграл анықтамасынан мынадай қасиеттер шығады.

1. .

2.

\[d(\otimes f(x)d x)=f(x)d x\]
.

3.

\[\scriptstyle j P(x)\]
= F(x) + C.

4. Берілген аралықта f(x) және g(x) функцияларының алғашқы функциялары бар болса, онда f(x) + g(x) функциясының да алғашқы функциясы бар болады және

\[\textstyle\int\!f(x)+g(x))d x\]
\[=\delta f(x)d x+\]
\[\{g(x)d x\]
.

5.

\[\Pi f(x)d x=\]
\[k{\bigl|}f(x)d x\]
.

6. Егер

\[|f(x)d x\]
= F(x) + C болса, онда

\[|f(a x+b)d x\]
=
\[\frac{1}{\overline{{{Q}}}}\]
F(ax+b) + C.

7. Егер интеграл астындағы функцияның алымы бөлімнің туындысы болса, онда интеграл бөлімнің абсолют шамасының натурал логарифміне тең, яғни

\[{\frac{u{\dot{q}}d x}{u}}=\ln|u|+C\]
, мұндағы u=u(x) .

Анықталмаған интегралдар кестесі:

1
\[{\mathfrak{J}}d x\]
= C
2
\[|d x\]
= x + C
1: 3
=C:
\[\textstyle{\xi{\mathfrak{X}}^{a}\,d x}\]
=
\[\frac{\chi^{a+1}}{Q\ +1}\]
+ C, x>0,
\[a\ ^{\perp}\ -1\]
2: 4
=x+C:
\[\frac{d x}{x}\]
= ln x + C, x
\[\frac{\overline{{\pi}}}{\overline{{\overline{{r}}}}}\]
0
1: 5
=C:
\[\vert i^{x}d x\]
=
\[\frac{a^{X}}{\ln a}\]
+ C,
\[0
2: 6
=x+C:
\[\textstyle{\int_{0}^{x}d x}\]
=
\[e^{X}\]
+ C
1: 7
=C:
\[\scriptstyle{\mathrm{poo}}+d{\mathrm{t}}\]
= sinx + C
2: 8
=x+C:
\[\textstyle\operatorname*{lim}x d x\]
=- cosx + C
1: 9
=C:
\[\textstyle{\frac{|d x}{\cos^{2}x}}d x\]
= tgx + C,
\[x^{\ 1}\ {\frac{p}{2}}+k\pi\]
2: 10
=x+C:
\[\textstyle{\frac{|d x}{\sin^{2}x}}d x\]
=- ctgx + C,
\[x\ \ \ w x\]
1: 11
=C:

\[\frac{d x}{\sqrt{1-x^{2}}}\]
= arcsinx + C,

-1<x<1

2: 12
=x+C:

\[\textstyle{\sqrt{a^{2}-x^{2}}}\]
= arcsin
\[\frac{\mathcal{X}}{\mathcal{Q}}\]
+ C,

-a<x<a

1: 13
=C:
\[\textstyle\int\!{\frac{\ d x}{1+x^{2}}}\]
= arctgx + C
2: 14
=x+C:
\[\textstyle\bigsqcup_{a^{2}+x^{2}}\]
= artg
\[\frac{\mathcal{X}}{\mathcal{Q}}\]
+ C
1: 15
=C:
\[\frac{d x}{x^{2}-a^{2}}\]
=
\[\frac{1}{2a}\]
ln + C
2: 16
=x+C:
\[{\delta\frac{d x}{\sqrt{x^{2}+k}}}=\]
ln
\[\left|x+{\sqrt{x^{2}+k}}\right|\]
+C

ИНТЕГРАЛДАУ ӘДІСТЕРІ

1. Бірден интегралдау . Белгілі формулалар көмегімен интегралды бір немесе бірнеше кестелік интегралға келтіруге болатын кезде қолданамыз. Мысалдар қарастырайық.

а)

\[\begin{array}{c}{{\S(x^{2}-\ 3\overline{{{\mathcal{V}}}}x+1)d x=\S x^{2}d x-\Im\overline{{{\mathcal{V}}}}\ \int x^{\frac{1}{3}}d x+\S{1}d x}}\end{array}\]
= =
\[\frac{x^{3}}{3}\]
Equation. 3 +
\[{\Im}7\]
\[{\frac{2}{3}}{\frac{1}{1}{\frac{1}{3}}+1}\]
+ x+C=
\[\frac{x^{3}}{3}\]
Equation. 3 +
\[{\Im}7\]
\[\frac{4}{4}\]
+ x+C

б)

\[\delta^{\mathrm{cos}}\,\,x d x=\frac{1+\cos2\,x}{2}d x=\]
\[\delta_{\widetilde{\otimes2}}^{\mathrm{cl}}+\frac{1}{2}\cos2x_{\widetilde{\vartheta}d x}^{\widetilde{0}}=\frac{1}{2}\,x+\frac{1}{4}\sin2x+C\]
.

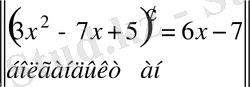
в)

\[\delta(3x+4)^{\bar{17}}d x=\frac{1}{3}\frac{\left(3x+4\right)^{\vert8}}{18}+C=\frac{\left(3x+4\right)^{\vert8}}{54}+C\]
(6-қасиет бойынша есептелді) .

г)

\[{\mathfrak{d}}{\frac{6x-7}{3x^{2}-7x+5}}d x=\]
=
\[\ln\left|3x^{2}\ -\ 7x+5\right|\]
+С.

2. Айнымалыны алмастыру әдісі. I=

\[[f(x)d x\]
интегралын қарастырайық. Айталық, x=g(t) дифференциалданатын функция болсын. Сонда dx=g’(t) dt және

\[\delta f(x)d x=\]
\[[f[g(t)]g\,\phi(t)d t\]
.

Бұл әдіс айнымалыны ұтымды алмастыруға негізделген. Айнымалыны алмастыру арқылы интеграл бірден немесе бірнеше амалдардан кейін кестелік интегралға келтіріледі. Мысалдар қарастырайық.

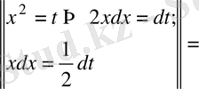
а)

\[\frac{1}{2}\partial e^{t}d t=\frac{1}{2}e^{t}+C=\]
\[{\frac{1}{2}}e^{x^{2}}\]

б)

\[{\frac{x^{2}d x}{1+x^{6}}}=\]
\[\frac{1}{3}\ \stackrel{\ Q t}{\ 1+t^{2}}d t=\frac{1}{3}\]
arctgt+C= =
\[\frac{1}{\overline{{{\overline{{\overline{{\mathcal{S}}}}}}}}}\]
arctgx 3 +C

в )

\[\underline{{\partial x}}{\underline{{\partial}}}{\underline{{\partial}}}{\underline{{x(1+\ln x)}}}=\]
\[\left\|1+\ln x=t{\textbf{p}}\,{\frac{d x}{x}}=d t\right\|=\]
\[{\frac{d t}{t}}=\]
lnt+C=ln1+lnx+C

3. Бөліктеп интегралдау әдісі. Бұл әдіс мынадай қатынасқа негізделген:

d(uv) = udv + vdu

\[\longrightarrow{\overset{}{\longrightarrow}}\]
udv = d(uv) - vdu

мұндағы u=f(x) және v=g(x) функциялары туындылары бар функциялар. Теңдіктің екі жағынан да интеграл алсақ,

\[{\textstyle\bigwedge}d\nu=\setminus\bigcup(u\nu)-\bigcup\mathcal{U}d u\]
,

осыдан

\[{\partial}d\nu=u\nu-{\partial}^{}d u\]
.

Бұл әдісті қолданғанда u және v функцияларын

\[\textstyle{\sqrt{d u}}\]
интеграл
\[{\mathfrak{J}}d\nu\]
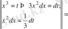
интегралға қарағанда оңай алынатындай етіп таңдайды. Мысалдар қарастырайық.

а)

\[|x e^{x}d x=\]
\[x e^{x}-\,{\mathfrak{g}}e^{x}d x=x e^{x}-e^{x}\]
+С=

=

\[e^{x}(x{-}1)\]
+C.

б)

\[J=\textsf{f r a c x}\]
\[e^{x}\cos x+\delta e^{x}\sin x d x=\]

\[={\left\Vert e^{x}\,d x=u\,\textbf{p}\,d u=\cos x d x\right\Vert}=\]
\[e^{x}\cos x+e^{x}\sin x-\ \vert e^{x}\cos x d x=\]
\[=e^{x}(\cos x+\sin x)-J\]
.

J=

\[{\mathcal{C}}^{X}\]
(cosx+sinx) -J
\[\longrightarrow{\overset{}{\longrightarrow}}\]
J=
\[\frac{\mid}{\overbrace{\sum}}\]
\[{\mathcal{C}}^{X}\]
(cosx+sinx) +C.

Төмендегі интегралдар тобы тек бөліктеп интегралдау әдісімен есептелінеді:

\[\left|x^{n}\ln x d x\right|\]
;
\[\left[\chi^{n}\mathrm{~arccsin~}x d x\right]\]
;
\[\left\{x^{n}{\mathrm{~arccos}}\,x d x\right.\]
;
\[|x^{n}a r c t g x d x\]
.

Рационал функцияларды интегралдау.

\[a_{0}+a_{1}x+a_{2}x^{2}+...+a_{n}x^{n}\]
түріндегі өрнекті n- дәрежелі көпмүшелік деп атайды. Мұндағы - нақты сандар (
\[a_{n}\neq0\]
, n >0) . Көпмүшеліктердің қатынасы түрінде берілген өрнек рационал өрнек болады.

Мысалы

\[\frac{3x-1}{x^{2}+1}\]
,
\[\frac{x^{3}\cdot5x^{2}+1}{x-1}\]
бөлшектер рационал өрнектер.

Егер бөлшектің алымындағы көпмүшеліктің дәрежесі бөліміндегі көпмүшелік дәрежесінен кем болса, бөлшек дұрыс деп, ал кем болмаса бөлшек бұрыс деп аталады. Мысалдағы бірінші бөлшек - дұрыс, ал екінші - бұрыс бөлшек.

Кез келген бұрыс бөлшекті алымын бөлімге бөлу арқылы дұрыс бөлшекке келтіріп алуға болады.

Мысалы,

\[\textstyle{\frac{x^{3}\cdot5x^{2}+1}{x-1}}\]
бөлшекті дұрыс бөлшекке келтірейік:

Сонымен, берілген бөлшектің бүтін бөлігін бөліп дұрыс бөлшекке келтірдік:

\[{\frac{x^{3}\,\dots\,5x^{2}+1}{x\,\ 1}}=x^{2}\,\cdot\,4x-\,4-\,{\frac{3}{x-1}}\]
.

Мектеп курсынан көпмүшеліктің мынадай қасиеті белгілі: Кез келген көпмүшелікті

\[(x-a)^{a}\]
және
\[(x^{2}+p x+q)^{\beta}\]
түріндегі көбейткіштерге жіктеуге болады.

Мынадай тұжырым дұрыс болады: Егер дұрыс рационал бөлшек бөлімі

\[(x-a)^{\alpha}\]
және
\[(x^{2}+p x+q)^{\beta}\]
түріндегі көбейткіштерге жіктелген болса, онда бөлшектімынадай қарапайым бөлшектердің қосындысына жіктеуге болады:

\[{\frac{P(x)}{(x-a)^{a}\,(x^{2}+p x+q)^{\beta}}}=\]
\[{\frac{A_{1}}{x-a}}+{\frac{A_{2}}{\left(x-a\right)^{2}}}+\ldots+{\frac{A_{a}}{\left(x-a\right)^{n}}}+\]

\[+\frac{B_{1}x+C_{1}}{x^{2}+p x+q}+\frac{B_{2}x+C_{2}}{\left(x^{2}+p x+q\right)}+\ldots+\frac{B_{b}\,x+C_{b}}{\left(x^{2}+p x+q\right)^{\mathrm{a}}}\]
, (2)

мұндағы Р(х) - белгілі көпмүшелік ,

\[{\cal A}_{1},\,{\cal A}_{2},\ldots,\,{\cal A}_{\alpha}\ ,\]
\[B_{1},B_{2},\ldots,B_{\beta}\,,\]
\[C_{1},C_{2},\cdot\cdot\cdot S_{\beta}\]
- белгісіз коэффициенттер. Ол коэффициенттерді табу үшін белгісіз коэффициенттер әдісін пайдаланамыз: теңдіктің оң жағын ортақ бөлімге келтіреміз; екі бөлшектің бөлімдері тең болатындықтан, алымдарын теңестіреміз; теңдіктің екі жағындағы х айнымалының бірдей дәрежелері алдындағы коэффициенттерін теңестіру арқылы теңдеулер жүйесін аламыз; осы жүйені шешіп белгісіз коэффициенттерді табамыз.

Мысалы

\[\frac{3x^{2}+2x+1}{(x+1)^{2}(x^{2}-\ \bar{\sigma}+1)}\]
бөлшегін қарапайым бөлшектер қосындысына жіктейік.

Бөлшек дұрыс, сондықтан (2) формула бойынша бөлшекті жіктейміз,

\[{\frac{3x^{2}+2x+1}{\left(x+1\right)^{2}\left(x^{2}-{\bar{\sigma}}+1\right)}}={\frac{A_{1}}{x+1}}+{\frac{A_{2}}{\left(x+1\right)^{2}}}+{\frac{B x+C}{x^{2}\cdot x+1}}\]

Белгісіз коэффициенттерді табу үшін теңдіктің оң жағын ортақ бөлімге келтіріп жазайық:

\[\frac{3x^{2}+2x+1}{(x+1)^{2}(x^{2}\cdot\,x+1)}=\frac{A_{1}(x+1)(x^{2}-\,x+1)+A_{2}(x^{2}\cdot\,x+1)+(B x+C)(x+1)^{2}}{(x+1)^{2}(x^{2}\cdot\,x+1)}\]

Бөлімдері бірдей, алымдарын теңестіреміз (оң жақтағы бөлшек алымын ықшамдап, х-тің дәрежесі түрінде жазайық) :

\[3x^{2}+2x+1=(A_{1}+B)x^{3}+(A_{2}+2B+C)x^{2}+(-\,A_{2}+B+2C)x+A_{1}+A_{2}+C\]
.

Теңдіктің екі жағындағы х айнымалының бірдей дәрежелері алдындағы коэффициенттерін теңестіру арқылы теңдеулер жүйесін аламыз:

\[\begin{array}{l}{{{\frac{1}{1}}A_{1}+B=0}}\\ {{{\frac{1}{2}}A_{2}+2B+C=3}}\\ {{{\frac{1}{2}}C_{2}+B+2C=2}}\\ {{{\frac{1}{2}}\sqrt{A_{1}+A_{2}+C=1}}}\end{array}\]

Төрт белгісізді, төрт теңдеуден тұрған жүйені шешіп, белгісіз коэффициенттерді табамыз:

\[A_{1}=-\mathrm{\frac{2}{3}};\quad A_{2}=\frac{2}{3};\quad B=\frac{2}{3};\quad C=1\]
.

Табылған мәндерді теңдіктегі орнына қойып, бөлшектің қарапайым жіктелуін аламыз:

\[\frac{3x^{2}+2x+1}{(x+1)^{2}(x^{2}-\ x+1)}=-\ \frac{2}{3(x+1)}+\frac{2}{3(x+1)^{2}}+\frac{2x+3}{3(x^{2}-\ x+1)}\]
.

Енді осы рационал бөлшекті интегралдайық.

\[\delta\frac{3x^{2}+2x+1}{(x+1)^{2}(x^{2}-\,x+1)}d x=\frac{\ddot{\Theta}}{\xi}\frac{2}{3(x+1)}+\frac{2}{3(x+1)^{2}}+\frac{2x+3}{3(x^{2}-\,x+1)}\frac{\ddot{\Theta}}{\dot{\phi}}t x=0\quad,\]

\[=-\;\frac{2}{3}\,\Theta_{\;\;x+1}^{\;\;d x}+\frac{2}{3}\,\partial\frac{d x}{\left(x+1\right)^{2}}+\frac{1}{3}\;\frac{2x+3}{x^{2}-x+1}d x\]

Әр интегралды жеке қарастырайық.

1)

\[{\frac{d x}{x+1}}=\]
\[\ln\vert x+1\vert+C\]
, мұнда бөлшектің алымы бөлімінің туындысы болғандықтан 7-қасиетті пайдаландық.

2)

\[\delta{\frac{d x}{(x+1)^{2}}}=\]
\[\left\|x+1=t\right\|=\]
+ С=
\[-{\frac{1}{t}}\]
+C=
\[-\ {\frac{1}{x+1}}\]
+C;

3)

\[{\frac{2x+3}{x^{2}-x+1}}d x={\frac{\left(2x-1\right)+4}{x^{2}-x+1}}d x=\]
\[{\mathfrak{O}}{\frac{2x-1}{x^{2}-\ x+1}}d x+{\mathfrak{O}}{\frac{4d x}{x^{2}-\ x+1}}=\]

+4

\[\frac{1}{\sqrt{3}}\,a r c t g\,\frac{x-\frac{1}{2}}{\frac{\sqrt{3}}{2}}{2}\nonumber\]
+С=

= +

\[\frac{8}{\sqrt{3}}a r c t g\frac{2x-1}{\sqrt{3}}\]
+C,

мұнда бірінші қосылғышты алымы бөлімінің туындысы болғандай етіп түрлендірдік те 7-қасиетті пайдаландық. Ал екінші қосылғышта бөлімінің толық квадратын бөліп алып, интегралдар кестесіндегі 14-формуланы пайдаландық.

Сонымен,

\[\delta\frac{3x^{2}+2x+1}{(x+1)^{2}(x^{2}-x+1)}d x=\]
\[-{\frac{2}{3}}\]
ln x+1 -
\[\frac{2}{3({\tilde{\sigma}}+1)}\]
Equation. 3 +

\[+{\frac{1}{3}}\]
Equation. 3 +
\[\frac{8}{3\sqrt{3}}\,a r c t g\frac{2x-1}{\sqrt{3}}\]
+C.

Иррационал және тригонометриялық функцияларды интегралдау.

1.

\[|R(x,{\sqrt{x}})d x\]
түріндегі интегралды қарастырайық. Мұндағы иррационалдықты
\[t={\sqrt{x}}\]
деген белгілеу енгізіп, рационал функцияға келтіруге болады.

Мысал.

\[\delta{\frac{\sqrt{x}}{x+1}}d x=\]
\[\left\|x={\sqrt{x}}\ \mathbf{p}\ \ x=t^{2}\right\|=\]
\[{\frac{2t^{2}}{t^{2}+1}}d t=\]
\[2{\delta}\frac{t^{2}+1-1}{t^{2}+1}d t=\]

\[=2{\delta}_{\frac{\hat{\wp}}{\hat{\wp}}}^{\hat{\infty}}-\frac{1}{t^{2}+1}\frac{\hat{\frac{9}{4}}d t}{\phi}=\]
2(t - arctgt) +C=2(
\[\sqrt{x}\]
- arctg
\[\sqrt{x}\]
) +C.

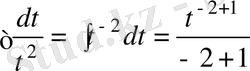
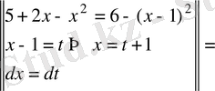
2.

\[|R(x,{\sqrt{a x^{2}+b x+c}})d x\]
түріндегі интегралды қарастырайық. Қарапайым жағдайларда мұндай интеграл кестелі интегралға келтіріледі. Ол үшін квадрат үшмүшеліктен толық квадрат бөліп алып, айнымалыны алмастыру керек.

Мысал.

\[{\mathfrak{Q}}{\frac{x d x}{{\sqrt{5+2x-x^{2}}}}}=\]
\[\scriptstyle({\frac{t+1)t}{\sqrt{6\cdot t^{2}}}}\,=\]

\[=\delta{\frac{t d t}{\sqrt{6-t^{2}}}}+\]
\[{\frac{d t}{\sqrt{6-t^{2}}}}=\]
\[\ -{\frac{1}{2}}\delta{\frac{d z}{\sqrt{z}}}+\]
\[\delta{\frac{d t}{\sqrt{\left({\sqrt{6}}\right)\cdot t^{2}}}}=\]

\[=-\,\frac{1}{2}\frac{z^{\frac{1}{2}+1}}{\cdot\frac{1}{2}+1}+\]
arcsin
\[\frac{t}{\sqrt{6}}\]
+C=
\[-\;{\sqrt{z}}+\]
arcsin
\[\frac{t}{\sqrt{6}}\]
+C=
\[\textstyle{\overline{{\sqrt{6\cdot t^{2}}}}}+\]

+arcsin

\[\frac{x-1}{\sqrt{6}}\]
+C=
\[-\;\sqrt{5+2x-x^{2}}\;+\]
arcsin
\[\frac{x-1}{\sqrt{6}}\]
+C.

3.

\[|R(\sin x,\cos x)d x\]
түріндегі интегралды қарастырайық. Бұл интегралды
\[t=t g\,\frac{x}{2}\]
(
\[\lnot p\ ) - универсал алмастыру жасау арқылы рационал функцияны интегралдауға келтіреді. Шынында да,

\[\sin x={\frac{2t g\,{\frac{x}{2}}}{1+t g^{2}\,{\frac{x}{2}}}}\]
=
\[\frac{2t}{1+t^{2}}\]
;
\[\cos x={\frac{1-t g^{2}\,{\frac{x}{2}}}{1+t g^{2}\,{\frac{x}{2}}}}\]
=
\[\frac{1-t^{2}}{1+t^{2}}\]
;

\[t=t g\,\frac{x}{2}\]
\[\implies\]
x=2arctgt
\[\implies\]
dx=
\[\frac{2d t}{1+t^{2}}\]
.

Мысал .

\[\delta{\frac{d x}{\sin x}}=\]
\[\frac{2d t}{{\frac{1+t^{2}}{2t}}}{\frac{2d t}{1+t^{2}}}\]
\[{\frac{d t}{t}}=\]
ln t + C = ln
\[\left|g\,{\frac{x}{2}}\right|\]
+C.

4.

\[\mathbf{jin}^{m}\ x\cos^{n}\ x d x\]
түріндегі интегралды қарастырайық. Бұл интегралда екі жағыдай болуы мүмкін:

а) т немесе п сандарының біреуі тақ оң сан. Егер т -тақ сан болса cosx=t деген, ал егер п -тақ сан болса, sinx=t деген алмастыру жасалады.

б) т және п сандары жұп оң сан. Онда мынадай формулаларды пайдаланады:

sinxcosx=

\[\frac{1}{\overline{{\mathcal{D}}}}\]
sin2x;

\[\sin^{2}x={\frac{1}{2}}\left(1-\cos2x\right)\]
;
\[\cos^{2}x={\frac{1}{2}}(1+\cos2x)\]
.

АНЫҚТАЛҒАН ИНТЕГРАЛ

y=f(x) функциясы [ a; b ] кесіндісінде үзіліссіз болсын. [ a; b ] кесіндісін n бөлікке бөлеміз:

\[a=x_{0}\ .

Әр бір [

\[x_{i-1};x_{i}\]
] кесіндіден нүкте алып,
\[\mathrm{D}x_{i}=x_{i}-\,x_{i-1}\]
деп белгілеп, мынадай қосынды құрайық:

\[\overset{n}{\underset{i=1}{n}}f(\xi_{i})\mathrm{D}x_{i}=\]
\[f(x_{1})\mathrm{D}x_{1}+f(x_{2})\mathrm{D}x_{2}+...+f(\xi_{n})\Delta x_{n}\]
(1)

(1) қосынды y=f(x) функциясының [ a; b ] кесіндісіндегі интегралдық қосындысы деп атайды.

Анықтама. y=f(x) функциясының интегралдық қосындысының

\[\mathrm{max}\,\mathrm{L}x_{i}\rightarrow0\]
жағдайдағы шегі функцияның [a; b] аралығындағы анықталған интегралы деп аталады және деп белгіленеді.

Сонымен,

\[\operatorname*{max}_{m a x}\operatorname*{lim}_{t}(\frac{n}{\hbar})\Im x_{i}\]
, (2)

мұндағы а және b сандары интегралдың сәйкес төменгі және жоғарғы шектері деп аталады.

Белгіленуі мен айтылуында ұқсастық болғанымен анықталған және анықталмаған интеграл екеуі түрлі ұғымды береді:

\[[f(x)d x\]
- функциялар жиыны болса; - нақтылы сан болады.

Егер [ a; b ] кесіндіде f(x) >0 болса, онда анықталған интеграл анықтамасынан оның геометриялық мағнасы шығады: - үстіңгі жағынан y=f(x) қисығымен, бүйір жақтарынан x=a, x=b түзулерімен, астыңғы жағынан y=0 түзуімен шектелген қисық сызықты трапеция ауданы.

Анықталған интеграл қасиеттері.

  1. Тұрақтыны шек таңбасы алдына шығаруға болады:

\[{\bar{\Re}}{\tilde{Y}}(x)d x=C\]
.

  1. Екі функцияның алгебралық қосындысының интегралы сол функциялар интегралдарының алгебралық қосындысына тең болады:
... жалғасы

Сіз бұл жұмысты біздің қосымшамыз арқылы толығымен тегін көре аласыз.
Ұқсас жұмыстар
Анықталмаған және анықталған интегралдар: теориясы мен рационал функцияларды интегралдау әдістері
Көп айнымалы функциялардың экстремумдері: қажетті және жеткілікті шарттар, шартты экстремумдар мен Лагранж әдісі
Элементар функцияларды интегралдау: алғашқы функциялар, анықталмаған интегралдар және негізгі формулалар
Анықталмаған және анықталған интегралдар: рационалдық функцияларды интегралдаудың теориясы мен әдістері
Көп айнымалы функциялар теориясы: Евклидтік кеңістік, үзіліссіздік, туындылар және айқындалмаған функциялар
Көп айнымалылы функциялар: анықталуы, дербес және толық туындылары, бағыттық туындылары мен көп еселі интегралдар
Анықталмаған және анықталған интегралдар: анықтамалар, қасиеттер және негізгі интегралдар кестесі
Анықталмаған және анықталған интегралдар: анықтамалар, қасиеттері және қолданылуы
Бір айнымалы функциялардың анықталмаған интегралдары мен интегралдау әдістері
Анықталған интегралдың қасиеттері мен интегралдау әдістері
Пәндер



Реферат Курстық жұмыс Диплом Материал Диссертация Практика Презентация Сабақ жоспары Мақал-мәтелдер 1‑10 бет 11‑20 бет 21‑30 бет 31‑60 бет 61+ бет Негізгі Бет саны Қосымша Іздеу Ештеңе табылмады :( Соңғы қаралған жұмыстар Қаралған жұмыстар табылмады Тапсырыс Антиплагиат Қаралған жұмыстар kz