Ауырлық күші


Лекция № 11, 12.
Тақырыбы: «Масса», «Күш», «Салмақ» ұғымдарын қалыптастырудың әдістемесі.
Лекция жоспары:
1. Ұғымдарды әдістемелік тұрғыдан талдау.
2. М а с с а ұғымын қалыптастыру.
3. Күш, Салмақ ұғымдарын қалыптастыру.
1. Физика курсының қандай да бір бөлігін өтпестен бұрын мұғалім қолданылытын физикалық ұғымдар жүйесіне әдістемелік талдау жасап алуы тиіс. Оқушылардың ғылыми дүниетанымын дамытудағы ол ұғымдардың рөлі мен маңызын анықтау қажет және ұғымдарды қалыптастырудың жолдары мен әдістерін айқындап алу керек болады.
Методологиялық талдау мынадай мәселелерді ашып алудан тұрады:
1. Ұғымның мазмүны, құрылымы және диалектика - материалистік анықтамасы.
2. Қарастырылып отырған физикалық теориядағы ұғымның рөлі мен маңызы.
3. Әлемнің физикалық суреттемесінің эволюциясы кезінде ұғым мазмұнының дамуы мен өзгерісі.
4. Ұғымның қолданылу шекарасы.
5. Әдебиеттерде кездесетін осы ұғым жөніндегі қате түсініктерді сынау.
Қарастырылатын ұғымның сипаты мен ерекшеліктеріне байланысты көрсетілген мәселелердің көлемі, мазмұны және ара салмағы әр түрлі болуы мүмкін, бірақ кез келген физикалық ұғымды методологиялық тұрғыдан талдау үшін осы келтірілген мәселелерді жан-жақты анықтап алған дүрыс.
Масса ұғымы. Масса ұғымының терең философиялық мағынасы оның материя, қозғалыс, кеңістік, уақыт ұғымдарымен тығыз байланыстылығында. Ол материяның кейбір іргелі қасиеттерін сипаттайды. Масса ұғымының көптеген аспектілерінің болуы, оның құрылымының күрделі екендігін көрсетеді.
Қарастырылатын мәселелердің сипатына қарай физикада масса ұғымы мынадай мағыналарда қолданылады:
1. Инерттілік өлшемі (дененің инерттік массасы) .
2. Тартылыс өлшемі (дененің гравитациялық массасы) .
3. Дене энергиясының өлшемі (массаның жылдамдыққа байланыстылығы, масса мен энергияның өзара байланыстылық заңы) ;
4. Электромагниттік процестер сипаттамасы ("электромагниттік" масса) .
5. Денелер қасиеттерінің өзара әсерлесу жағдайларына байланыстылығының сипаттамасы ("көлденең" және "бойлық" масса) .
6. Элементар бөлшектердің құрылымдық байланыстарының сипаттамасы ("масса ақауы") .
7. Денедегі заттың мөлшері (классикалық атомизм, химия) .
8. Әр түрлі физикалық процестерді сипаттайтын математикалық тендеулерде пропорционалдық коэффицент (ұғымның математикалық аспектісі) .
Масса ұғымының осынша күрделі құрылымының табиғаты жөніндегі мәселе осы кезге дейін айтыс тудырып келеді. Масса жөніндегі пікірталастарға тоқталмай-ақ физика курсында масса ұғымын қалыптастырудың методологиялық тұрғыдан маңызды жақтарын ғана қарастырайық.
Масса әр түрлі физикалық процесте әр түрлі болып көрінетіндіктен оны бір мағынада және жеткілікті етіп анықтау мүмкін емес. Физика курсының әр бөлімінде массаның әр қырынан көрінетіндігі масса ұғымын мектепте ендіру мәселесін тіпті қиындатып жібереді. Сондықтан физика мұғалімінің міндеті - мектепте физиканы оқыту барысында оқушыларға осы ұғымның әр түрлі көрінуін жөне оның әр түрлі қырларын түсіндіре білу.
Сонда мектепте масса ұғымын оның қайсы көрінуінен бастаған дұрыс? Әрине, оны Эйнштейн формуласьшдағы (Е=mс 2 ) масса ұғымынан бастай алмаймыз, өйткені ол үшін оқушының оған жеткілікті білім қоры болуы тиіс.
Оку және ғылыми әдебиеттерде осы кезге дейін массаны "материя мөлшері", немесе "зат мөлшері" ретінде карастырып келеді. Бұл анықтаманы кезінде Ньютон енгізген болатын. Мүмкін масса ұғымын осы мағынада алған дұрыс болар? Расында бұрынғы совет мектебі тұсында осындай әрекеттер болды, қазірдің өзінде кейбір мемлекеттерде масса ұғымын осы тұрғыдан ендіру әлі орын алып отыр. Классикалық атомистикада белгілі дәрежеде массаны зат мөлшері ретінде қарастыруға болады, өйткені, онда тек бір текті денелер қарастырылады (және v < с), массалары бірдей денелерден молекулалар мен атомдар саны бірдей. Қазіргі замандағы ғылым атомистік көзқарастың шектеулі екендігін көрсетіп беріп отыр. Олай болса, жалпы түрде, масса ұғымын зат мөлшері ретінде кабылдауға болмайды, ол - материя ұғымын оның көптеген қасиеттерінің бірімен алмастыру болып табылады.
Масса ұғымын гравитациялық қасиеті тұрғысынан да ендіру қолайсыз. Өйткені, біріншіден, 7-сынып оқушыларының масса мен салмақ ұғымдарын бір - бірінен айыруы қиын, екіншіден, массаны гравитациялық қасиеті тұрғысынан ендіру оның инерттік қасиетін түсіндіруді қиындатып жібереді.
Сондықтан бір-ақ мүмкіндік қалады, ол - масса ұғымын инерттік көрінуі арқылы, заттардың инерттік қасиеті тұрғысынан ендіру. Қазіргі кезде жалпы білім беретін мектептерде осы әдіс іске асырылуда.
Күш ұғымы. "Күш" ұғымы "өзара әсер" ұғымымен тығыз байланысты. Сондықтан, осы екі ұғымның бір-бірінен айырмашылығын түсіне білген дүрыс. Дайындалған оқу - әдістемелік құралдарда қарастырылатын құбылыстарды талдау кезінде "өзара әсер" ұғымына жеткілікті көңіл бөлінбейді де, тіпті кей жағдайда оның орнына күш ұғымы қолданылып кетеді. Бұл кемшіліктерді жою физиканы оқытудың ғылыми деңгейін жоғарылатуға көмегін тигізген болар еді.
"Өзара әсер" ұғымын дұрыс қалыптастыру - физика курсының барлық материалдарын оқытудың методологиялық негізі болуы тиіс.
Кез келген материалдық объектінің құрылымы өте күрделі және ол ішкі де, сыртқы да болып табылатын өзара әсердің әр түрлі түрімен сипатталады. Ол өзінше оқшау өмір сүре алмайды, ол басқа объектілермен белгілі жүйедегі байланыста және қатыста болады. Басқа объектілермен қандай да бір өзара әсерде болмайтын объекті дүниеде жок, Материалдық объектілер тек өзара әсер арқылы ғана танылады. Кеңістік пен уақыт қасиеттері де қозғалыстағы материяның өзара әсерлесу сипатымен анықталады. Өзара әсер материяның кез келген құрылымдық деңгейінен байқалады, ол элементар бөлшектер немесе атомдар бола ма, молекулалар немесе макро денелер бола ма, космостық денелер немесе жұлдыздар шоғыры бола ма, галактика мен метагалактика бола ма - бәрі бір. Өзара әсер - материяның ортақ абсолют атрибуты.
Физиканың барлық заңдары, ұғымдары және принциптері қалай болғанда да өзара әсер категориясымен байланысты. Осы кездегі физикаға белгілі өзара әсердің әр алуан түрлерін төрт негізгі (фундаментальды) өзара әсер түрлеріне жатқызуға болады. Олар - гравитациялық, электромагниттік, күшті жөне әлсіз өзара әсерлер. Бұл әсерлердің бір-бірінен айырмашылығы олардың әсер ету радиусына, салыстырмалы интенсивтілігіне және бірқатар физикалық шамалардың сақталу заңына байланысты. Фундаментальды өзара әсерлердің байқалу аумағы кеңістіктік диапазонмен анықталады және материяның әр түрлі құрылымдык деңгейіне тәуелді. Макроскопиялық деңгейде гравитациялық және электромагниттік өзара әсерлер "жұмыс істейді де", ал ядролық деңгейде күшті және әлсіз өзара әсерлер көрінеді. Мектеп курсында бұл айтылған негізгі өзара әсерлердің барлығы түгел қарастырылады.
Енді күш ұғымына қайтадан оралайык, Бұл ұғым сонау механикалық көзқарас үстемдік етіп тұрған кезде кеңінен қолданыла бастады, ол кезде барлық процестерді қозғалыстың механикалық түрімен түсіндіруге тырысты. Күш ұғымының соншалықты кеңінен қолданылғанын мынадан байқауға болады. Тіпті кейіннен оны физикалық ұғымның мазмұны мен мағынасы сәйкес келмесе де шаманы күш арқылы анықтау орын алып кетті. Мысалы: "ток күші", "электрқозғаушы күш", "жарық күші", "дыбыс күші" және т. б., кейде метафоралық мағынада да қолданылады - "табиғат күші", "рухани күш", т. с. с.
Көшпілік оқу-әдістемелік және ғылыми әдебиеттерде күшті қозғалыс өзгерісінің себебі ретінде қарастырады. Бұл методологиялық тұрғыдан тіпті қате, олай ету - күш ұғымын өзара әсер ұғымымен ауыстыру болып табылады. Диалектика-материалистік тұрғыдан алғанда күш - өзара әсер ұғымынын өлшемі, оның сандық сипаттамасы. Олай болса, күш - өте кен "өзара әсер" ұғымы сипаттамаларының бірі ғана. Денелердін өзара өсерін сипаттау үшін тек күш ұғымы ғана емес, көп жағдайда оған қарағанда терең және толығырақ сипаттайтын энергия, импульс және басқа да физикалық шамалар алынады. Күш ұғымын қолданудың белгілі шекарасы бар екендігін де ұмытпаған дұрыс. Мысалы, оны жылу процестерін, химиялық реакцияларды, элементар бөлшектердің әсерлесуін және т. б. құбылыстарды түсіндіру үшін пайдалануға болмайды, олар үшін энергия ұғымы қолданылады.
7-сыныпта күш туралы ұғым ауырлық күші, серпімділік күші, үйкеліс күші және молекулалар арасындағы өзара әсер күші арқылы қалыптастырылады.
Салмақ ұғымы. Салмақ ұғымы тартылыс күші, ауырлык күші ұғымдарымен тығыз байланысты. Тартылыс күші деп кез келген екі дене арасындағы гравитациялық әсер нәтижесінде пайда болатын немесе Ньютонның бүкіләлемдік тартылыс заңымен анықталатын күшті айтады. Жердің денелерді тартуы тартылыстың дербес жағдайы. Жер бетіндегі денелерді Жердің тарту күші ауырлық күші деп аталады. Сырт қарағанда
тартылыс күші мен ауырлық күші барабар сияқтанып көрінеді. Шындығында олай емес. Жермен байланысты санақ жүйесі инерциялық жүйе бола алмайтындықтан, бұл екі күш бір-бірімен дәлме-дәл келмейді. Тартылыс күші Жердің центріне қарай бағытталған, ал ауырлық күшінің бағыты сол орындағы тіктеуіштің бағытымен сәйкес болады.
Салмақ - ауырлық күші әсерінен дененің горизонталь тіреуішке әсер ететін немесе аспаны керетін күш. Олай болса ауырлық күші дененің өзіне, ал салмақ тіреуішке немесе аспаға әсер етеді. Бұл күштердің табиғаты да әр түрлі екендігін мұғалім естен шығармауы тиіс. Егер дене тыныштықта болса немесе үдеусіз қозғалатын болса, онда ауырлық күші мен салмақ өзара тең болады. Дененің қозғалысы бірқалыпты болмаса аталған күштер тең болмайды, тіпті белгілі жағдайда салмақ жоғалып кетеді, бұл құбылысты салмақсыздық деп атайды.
Салмақ ұғымын қалыптастырудың бір қиыншылығы мынада: салмақ ұғымымен оқушылар тұрмыстан таныс және оны кейде күш ретінде, кейде масса ретінде кабылдайды, оның үстіне тұрмыста салмақты әдетте килограммен өлшеу қалыптасып кеткен. Сондықтан мұғалім, бір жағынан, ауырлық күші мен салмақ арасындағы, екінші жағынан, салмақ пен масса арасындағы айырмашылықтар оқушыларға мәселені түсіндіруді қиындатып жіберетіндігін ескеріп отыруы тиіс.
2. Масса ұғымы - механиканың ең қиын ұғымдарының бірі, сондықтан алғашқы сабақтан бастап, оқушылар масса жөніңде дұрыс түсінік алуы үшін жеткілікті түрде көрнекілікті қамтамасыз ету керек.
Алдыңғы параграфта айтқанымыздай 7-сыныпта оқушыларға ең алдымен инерттік масса жөнінде бастапқы ұғым беріледі. Ол үшін, айтылмағанымен, шын мәнісінде қозғалыс мөлшерінің сақталу заңы пайдаланылады. Екі дененің өзара әсерлесуі кезінде олардың жылдамдықтары өзгереді, оны былайша жаза аламыз: m
i
Егер денелер алғашқыда тыныштықта болса, онда теңдеу скаляр формада мына түрде жазылады:
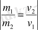
m 1 v 1 = m 2 v 2 , немесе абсолют шамалары бойынша
, яғни, әсерлескен екі дененің массалары олардың жылдамдықтарының өзгерісіне кері пропорционал. Міне, 7-сыныпта масса ұғымын енгізудің негізінде осы айтылған идея жатыр.
Масса ұғымын қалыптастыру бірнеше сатыдан. тұрады.
Алгашқы сатыда денелердің әсерлесуі нәтижесінде олардың жылдамдығының өзгеретіндігін қарастыру керек. Ол үшін мынадай тәжірибелерді көрсетуге болады:
1. Жіңішке жіпке ілінген екі шарды қарама-қарсы жаққа тартып апарып, қоя береді. Шарлар бір-біріне соғылып, біріне-бірі әсер етеді де, олардың қозғалыс жылдамдықтары өзгереді.
2. Бірдей екі шар алып, оның біреуін тепе-тең қалыпта қалдырып, екіншісін бір жақка тартып апарады да қоя беріп жібереді. Соқтығысудың нәтижесінде қозғалыстағы шар тоқтайды да, ал тыныштықта болған шар шамамен сондай жылдамдықпен қозғалады.
Мынадай қорытынды жасалады: егер дене жылдамдығын өзгертсе, онда әсері сол өзгерісті туғызатын басқа бір немесе бірнеше денені әрқашан көрсетуге болады.
Екінші сатыда мынадай мәселені шешіп алған дұрыс: "Денелер өзара әсерлескенде олардың жылдамдықтарының өзгерісі кдндай шамаға тәуелді болады?".
Бұл мәселені шешу үшін әсерлесетін денелердің жылдамдықтарының өзгерістері олардың массаларына байланысты болатындығын тағайындайтын тәжірибелер жасап, соларға сүйену кажет. Әдістемелік әдебиеттерде баяндауды мынадай тәжірибеден бастағанды дұрыс деп есептейді: кішкене резеңке доп жөне пластмасадан, ағаштан не металдан жасалған шар алынады. Доп пен шарды жалпақ баумен мықтап бекітіп, баудың ұштарын жіңішке жіппен байлайды (8-сурет) .
Жіпті күйдіріп жіберсек шар мен доп екі жаққа қарай домалайды. Осы тәжірибе кезінде қайсы дененің қозғалыс жылдамдығының өзгерісі көп, қайсысынікі аз болатындығына оқушылардың назарын аудару қажет. Себебі
шардың массасы доптың массасына қарағанда үлкен деген қорытынды жасалады.
Осыдан кейін . оқулықта көрсетілген тәжірибелер жасалады. Бұл тәжірибелердің кемшілігі сол - әсер етіп тұрған серіппе мен магнит емес екендігін, тек денелердің өздері әсерлесіп тұрғандығын түсіндіруге тура келетіндігі. Бұл тәжірибелер де жоғарыда жасалған қорытындыны растайды.
Массаның анықтамасы қалай тұжырымдалса да оқушылар үшін қиын болғандықтан оны жаттатпай-ақ, өзара әсерлескенде қайсы арбаның массасы көп болатыңцығы айтылса жеткілікті.
Үшінші сатыда бір дененің массасын бірлік ретінде алып, басқа денелердің массасын онымен салыстыруға және өлшеуге болатындығы жөнінде түсінік беріледі. Осыдан кейін оқушыларды масса бірлігі - килограммен таныстырады. - Физикалық кабинетте бар болса 1 кг, 2 кг, 5 кг -дық гирлерді көрсетіп, 1 литр судың массасының 1 кг, 1 куб. метр су массасы 1 тонна болатындығын және т. б. мысалдармен хабардар еткен жөн.
Денелердің массаларын өлшеудің әр түрлі тәсілдерінің табылғандығы окушыларға айтылады. Әрбір дененің массасы сол денені құрайтын өте көп молекулалардың массаларынан құралатындығын, әрбір молекуланың массасы өте аз екендігін түсіндіреді.
Қалыптастырылып отырған ұғымды бекіту мақсатында бірнеше сапалық және сандық есептерді шығарған пайдалы. Соңынан оқулықтағы осыған ұқсас есептер үйге беріледі.
Төртінші сатыда денелер массасын таразымен өлшеуге үйрету қажет, оған екі сабақ арналады. Бірінші сабақтың бас кезінде масса ұғымын оқушылардың қалай меңгергенін тексеру қажет. Онан соң сыртқы түрлері бірдей екі денені арбашаларға орналастырып, олардың өзара әсерлері арқылы қайсысының массасы артық екендігін анықтаған жөн. Бұл жұмыс оқушылардың масса жөніндегі алған білімдерін бекітуге керек. Осыдан кейін денелердің массаларын таразы көмегімен жеңіл және дәл анықтауға болатындығы айтылады. Массасы үлкен дене салынған табақша жағы басып кететіні, егер массалары тең болса табақшалар тепе-тең күйде болатындығы тәжірибе жасап көрсетіледі. Таразыны демонстрация көрсететін столға орналастырып, оқушыларды оның құрылысымен таныстырады. Ол таразьшың техникалық таразы болғаны дүрыс, таразының баска да типтерін көрсетуге болады. Сонан соң оқушыларды таразыны пайдалану ережелерімен таныстырады.
Денелерді өлшеуге арналған жұмыс физикалық кабинет үшін үлкен материалдық құны бар жабдықтармен жүргізілетін бірінші жұмыс болып табылады. Егер ұсақ гирлер жоғалса, таразы призмасының қыры зақымдалса, онда оның кейін пайдалануға жарамсыз болып калатындығы ескертіледі, бұл жұмысты әрқашан үлкен ұқыптылықпен орындау қажеттілігі айтылады. Сондықтан, оқушылардың қолына таразы мен ұсақ гирлерді бермес бұрын жан-жақты дайындық жұмысын жүргізу керек. Бұл сабақты жоғарғы дәрежеде ұйымдастыра білу мектеп курсында жүргізілетін басқа лабораториялық жұмыстардың табысты өтуіне едәуір септігін тигізеді.
Осыдан кейін оқушыларға таразы, ұсақ гирлер жөне шамамен массалары тең, өлшеуге қолайлы заттар таратылып беріледі. Оқушылар өлшеу жұмыстарын оқулықта берілген ережелер бойынша орындайды. Бұл жұмыстың ең негізгі мақсаты - оқушыларды таразымен өлшеу ережелерін мұқият сақтауға және оларды өлшеу жұмысына дағдыландыру.
Барлық оқушылар жұмысты орындап біткеннен кейін олардың алған нәтижелерін талдаған дұрыс.
Бесінші сатыда заттардың тығыздығы жөнінде ұғым енгізіледі. Бұл сабақ негізгі екі бөліктен тұрады. Бірінші бөлікте тығыздық шамасы жөнінде түсіндіріледі, ал екінші бөлігінде денелердің тығыздығын анықтау мақсатында лабораториялық жұмыс жасалады.
Сабақты оқулықта көрсетілген тәсілмен бастаған дұрыс. Массалары тең денелердің көлемдерін, ал көлемдері тең денелердің массаларын салыстыру нәтижесінде тығыздық шамасы енгізіледі. Тығыздықты кг/м 3 -мен есептейтіндігі айтылады. Оқушылардың көмегімен тығыздықты есептеуге арналған формула тағайындалады:
масса m
тығыздық = . немесе
=
көлем V
Енгізіліп отырған ұғымдарды бекіту мақсатында мынандай есептерді ауызша шығарған дұрыс:
1. Мына жазу нені көрсетеді: граниттің тығыздығы 2600кг/м 3 , ауанікі - 1, 29 кг/м ?
2. Оқулықтағы тығыздықтар таблицасында көрсетілген заттардың қайсысының тығыздығы ең азы (көбі) ?
3. 10 см 3 темірдің массасы 78 г. Оның тығыздығы қандай?
Соңғы есептің шешуін пайдаланып тығыздықты куб сантиметрге бөлінген граммен де өрнектеуге болатындығы түсіндіріледі. Оқушылар "масса" ұғымы денеге қатысты, ал "тығыздық" дене жасалатын затқа қатысты екендігін игеруі тиіс және бұл ұғымдарды дұрыс қолдана білуі керек. Сабақтың екінші жартысын мұғалім тәжірибе көрсетуден бастағаны абзал. Бұл тәжірибелерде окушыларға сұйықтың және қатты денелердің көлемін мензурка көмегімен өлшеу әдістері көрсетіледі. Сонан оқушылар қатты денелердің тығыздығын анықтауға арналған лабораториялық жұмысты жасайды, оны окулықта берілген нұскау бойынша орындайды. Бұл жұмыс оқушыларға таразымен, масштабты сызғышпен және мензуркамен жұмыс істеуге мүмкіндік береді Формасы дұрыс болмайтын денелердің тығыздығын мензурканы пайдаланып анықтағаны жөн.
Келесі сабақтың басында жұмысты талдап, оқушылар анықтаған бір заттың тығыздығының әр түрлі мәндерін тақтаға жазып, оның орташа мәнін есептеп табу әдісімен таныстырған пайдалы. Сонан соң заттың тығыздығын молекулалар массасы мен көлем бірлігіндегі молекулалар саны арқылы өрнектеу жөніндегі мәселені қарастыруға болады. Сабақты таңдап алынған есептерді шығарумен аяқтаған жөн.
Масса ұғымын 7-сыныпта қалыптастырудың алтыншы сатысы р =m/V формуласына есептер шығарумен аяқталады. Бұл сабақта өлшем бірліктерін ірілеу және ұсақтау операцияларына көңіл бөлінуі тиіс. Сабақ барысында есептердің шарттарын біртіндеп күрделендіру керек. Үйге оқулықтағы есептерден ұсынған дұрыс.
3. Күш - физикадағы негізгі ұғымдардың бірі. Күш туралы алғашқы түсінікті оқушылар күнделікті тәжірибеден алады. Олар әдетте оны бұлшық еттердің күшімен байланыстырады. Бұл бөлімнің басты міндеті - күш ұғымын физикалық шама ретінде қалыптастыру, күштің бір дененің екінші бір денемен өзара әсерінің сипаты екендігін түсіндіру. Осы әсердің нәтижесінде дененің жылдамдығының өзгеретіндігіне, болмаса дененің оқушылардың көзін жеткізу.
Денелердің қозғалыс жылдамдығының өзара әсер кезінде өзгеруін оқушылар масса ұғымын енгізген кездегі тәжірибелерден біледі. Сол тәжірибелерді еске түсіру қажет және жаңа бірнеше көрнекі тәжірибелерді ұйымдастыру керек. Ондай тәжірибелерді оқулықтан және оқу-әдістемелік әдебиеттерден алуға болады. Тәжірибелерді талдау "қозғалыс жылдамдығының өзгерісі" сөзін ұғындыруды жеңілдетеді. Тәжірибелердің келер тобы, әр дененің екінші денеге әсерінің нәтижесінде, денелердің өлшемдері мен формасы елеулі өзгерістерге түсетіндігін көрсетуге арналады. Ол мақсат үшін кеуек паралонды, резеңке бауды, болат сызғышты, серіппені пайдаланған тиімді.
Көрсетілген тәжірибелерді қорытындылап, дене қозғалысының өзгерісі және оның деформациялануы осы денеге қандай да бір басқа денелердің әсерінің сипаты екендігі, басқаша айтқанда денеге күш әсер еткендігінің белгісі екендігі тұжырымдалады.
Бұл тәжірибелерде өзара әсерлескен денелердің бір-бірімен жанасқан кезде пайда болатын күштер көрсетілгенін, ал денелер жанаспасада ондай күштердің пайда болатындығына оқушылардың көңілін аудару керек. Ол үшін мынадай екі тәжірибені көрсету орынды болған болар еді:
Біріншісі - ыдыстағы судың бетінде калқып жүрген тақтайша үстіндегі темір кесегін магниттің алыстан тартуы;
Екіншісі - электрленген таяқшаның жеңіл нәрселерді тартуы.
Соңғы тәжірибелер оқушылардың күш жөніндегі түсінігін кеңейтіп, олардың ауырлық күші жөніндегі мәселені оқып үйренуін жеңілдетеді.
7-сыныпта күштер жөніндегі ұғымды қалыптастыру үшін мысал ретінде ауырлық күші, серпімділік күші, үйкеліс күші және молекулалар арасындағы өзара әсер күші карастырылады. Олар мынадай ретпен оқылады.
... жалғасы- Іс жүргізу
- Автоматтандыру, Техника
- Алғашқы әскери дайындық
- Астрономия
- Ауыл шаруашылығы
- Банк ісі
- Бизнесті бағалау
- Биология
- Бухгалтерлік іс
- Валеология
- Ветеринария
- География
- Геология, Геофизика, Геодезия
- Дін
- Ет, сүт, шарап өнімдері
- Жалпы тарих
- Жер кадастрі, Жылжымайтын мүлік
- Журналистика
- Информатика
- Кеден ісі
- Маркетинг
- Математика, Геометрия
- Медицина
- Мемлекеттік басқару
- Менеджмент
- Мұнай, Газ
- Мұрағат ісі
- Мәдениеттану
- ОБЖ (Основы безопасности жизнедеятельности)
- Педагогика
- Полиграфия
- Психология
- Салық
- Саясаттану
- Сақтандыру
- Сертификаттау, стандарттау
- Социология, Демография
- Спорт
- Статистика
- Тілтану, Филология
- Тарихи тұлғалар
- Тау-кен ісі
- Транспорт
- Туризм
- Физика
- Философия
- Халықаралық қатынастар
- Химия
- Экология, Қоршаған ортаны қорғау
- Экономика
- Экономикалық география
- Электротехника
- Қазақстан тарихы
- Қаржы
- Құрылыс
- Құқық, Криминалистика
- Әдебиет
- Өнер, музыка
- Өнеркәсіп, Өндіріс
Қазақ тілінде жазылған рефераттар, курстық жұмыстар, дипломдық жұмыстар бойынша біздің қор #1 болып табылады.

Ақпарат
Қосымша
Email: info@stud.kz