Барлық элементі ноль болатын жолды алып тастау


І МОДУЛЬ. СЫЗЫҚТЫ АЛГЕБРА ЖӘНЕ
АНАЛИТИКАЛЫҚ ГЕОМЕТРИЯ
БІРІНШІ ЛЕКЦИЯ
МАТРИЦА. НЕГІЗГІ ҰҒЫМДАР
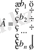
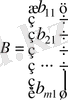
Анықтама. m жатық n тік жолдан құрылған кестені mxn өлшемді матрица деп атайды.
Матрицаны құрайтын сандар матрица элементтері деп аталады. Әдетте матрица латын алфавитінің бас әріптерімен, ал элементтері сәйкес кіші әріптермен белгіленеді:
Қысқаша жазылуы:
Матрица элементінің бірінші индексі жатық жол нөмірі, ал екінші индексі тік жол (бағана) нөмірін көрсетеді. Мысалы,
элементі екінші жатық жол мен үшінші тік жол қиылысында орналасқан.
Бір ғана жатық жолдан құралған матрицаны жол-матрица , ал бір ғана тік жолдан құралған матрицаны бағана-матрица деп атайды:
- жол-матрица;
- бағана матрица.
Жол матрица мен бағана матрицаны кейде вектор деп те айтады. .
Жатық жолдар саны мен тік жолдар саны тең болатын матрица квадрат матрица деп аталады,
.
Квадрат матрицаның
элементтері
диагоналдық элементтер
деп аталады да, матрицаның
негізгі диагоналін
құрайды. Ал
элементтері
қосымша диагоналдық элементтер
деп аталады да, матрицаның
қосымша диагоналін
құрайды.
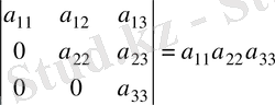
Квадрат матрицаның негізгі диагоналінің астындағы немесе үстіндегі элементтері нолге тең болса, матрица үшбұрышты матрица деп аталады,
,
![]()
Диагоналды емес элементтерінің бәрі нолге тең болатын квадрат матрица диагоналды матрица деп аталады,
.
Барлық диагоналды элементтері бірге тең болатын диагоналды матрица бірлік матрица деп аталады және оны Е әрпімен белгілейді,
.
Барлық элементтері нолге тең матрица нолдік матрица деп аталады.
МАТРИЦАЛАРҒА ҚОЛДАНЫЛАТЫН АМАЛДАР
1. Матрицаны санға көбейту . Матрицаны санға көбейту үшін оның барлық элементтерін сол санға көбейту керек:
Мысалы,
матрицасын
санына көбейтейік:
.
Осыдан матрицаның барлық элементтерінің ортақ көбейткішін матрица алдына шығаруға болатынын аңғару қиын емес.
2. Матрицаларды қосу және алу
.
Өлшемдері бірдей матрицаларды ғана қосуға болады.
және
матрицаларының қосындысы деп элементтері осы матрицалардың сәйкес элементтерінің қосындысы болатын, А + В матрицаны айтамыз:
.
Мысалы,
мен
матрицаларын қосайық:
.
А матрицасынан В матрицасын алу үшін А матрицасына В матрицасын -1-ге көбейтіп қосу жеткілікті:
A - B = A+(-1) B
немесе А матрицасының әр элементінен В матрицасының сәйкес элементтері алынады. Мысалы А матрицасынан В матрицасын алайық:
.
3. Матрицаларды көбейту. Бірінші матрицаның тік жолдар саны мен екінші матрицаның жатық жолдар саны тең болған жағдайда ғана екі матрицаны көбейтуге болады. Өлшемі m x k болатын А матрицасы мен өлшемі k x n болатын В матриасы берілсін:
Осы екі матрицаны көбейткенде өлшемі m x n болатын көбейтінді С матрица аламыз:
С матрицасының
элементі
А
матрицаның
-жатық жол элементтерін
В
матрицаның
-тік жолының сәйкес элементтеріне көбейтіп қосқанға тең болады:
,
Equation. 3 . (1)
Мысалы
,
матрицасы мен
матрицасын көбейтейік. Бірінші матрица үш тік жолдан, ал екінші матрица үш жатық жолдан тұрғандықтан бұл матрицаларды көбейтуге болады. Көбейтінді матрицаның өлшемін анықтайық:
,
яғни,
.
k=3
болғандықтан (1) формуланы қолданғанда үш қосылғыш болады:
,
.
элементін табу үшін формуладағы
i=1, j=1
деп аламыз, сонда
,
яғни А матрицаның 1-жатық жол элементтерін В матрицаның 1-тік жолының сәйкес элементтеріне көбейтіп қостық. Осылай С матрицаның барлық элементтері табылады:
C=
=
= =
.
Қосу және көбейту амалдарының мынадай қасиеттері бар:






Бұл қасиеттер сандарға жасалатын амалдар қасиеттеріне ұқсас. Енді матрицаның өзіндік ерекшелігіне байланысты қасиеттерін қарастырайық.
8
) Біріншіден, екі матрицаның
АВ
көбейтіндісі болғанмен
ВА
көбейтіндісі болмауы мүмкін. Мысалы,
көбейтіндісі бар, бірақ
көбейтіндісі жоқ, себебі бірінші матрицаның тік жолдар саны екінші матрицаның жатық жолдар санына тең емес;
екіншіден,
АВ
және
ВА
көбейтінділері бар болғанмен, олардың өлшемдері әртүрлі болуы мүмкін. Мысалы,
және
көбейтінділер бар, бірақ өлшемдері әртүрлі:
,
;
үшіншіден,
АВ
және
ВА
көбетінділер бар және олардың өлшемдері бірдей болғанмен, жалпы жағыдайда, көбейтудің коммутативті заңы орындалмайды, яғни
АВ
BA
.
Мысал
.
мен
матрицалары берілген.
АВ
және
ВА
көбейтінділерін табау керек.
Шешуі. Берілген матрицалар өлшемдері 2 х 2 квадрат матрицалар, оларды көбейтуге болады:
.
.
Көріп отырғанымыздай
АВ
BA
.
9 ) А -квадрат матрица болса, онда мына теңдік орындалады:
АЕ = ЕА = А.
4. Матрицаны транспонерлеу.
Қандай да бір
А
матрицасының жатық жолын сәйкес тік жол етіп жазғаннан пайда болған матрицаны берілген матрицаның
транспонерленген матрицасы
деп атайды да,
деп белгілейді. Берілген матрицаның өлшемі
m
x
n
болса, оның транспонерленген матрицасының өлшемі
n
x
m
болады. Мысалы,
матрицасының бірінші жатық жолын бірінші тік жол етіп, ал екінші жатық жолын екінші тік жол етіп жазып оның транспонерленген матрицасын
аламыз.
АНЫҚТАУЫШ. МИНОР ЖӘНЕ АЛГЕБРАЛЫҚ ТОЛЫҚТАУЫШ
Квадрат матрицаны сипаттауға қажетті анықтауыш ұғымын енгізейік.
Екінші ретті матрицаның
анықтауышы немесе екінші ретті анықтауыш деп мынадай санды айтады:
Мысалы,
матрицаның анықтауышын есептейік:
.
Ал үшінші ретті матрицаға
үшінші ретті анықтауыш сәйкес келеді:
.
Бұл анықтауыштың есептелуін үшбұрыш ережесі немесе Саррус ережесімен оңай есте сақтауға болады. Бұл ереже бойынша алғашқы оң таңбалы үш қосылғыш 1-схема, ал кейінгі теріс таңбалы үш қосылғыш 2-схемамен есептелінеді.
1-схема 2-схема
Мысалы, мынадай үшінші ретті анықтауышты есептейік:
Реті үштен көп болатын анықтауыштарды есептеу үшін жаңа ұғымдар қажет болады.
Анықтама.
n-ретті квадрат матрицаның
-жатық жолы мен
-тік жолын сызып тастағаннан кейін пайда болған (n-1) -ретті анықтауықты
элементінің миноры деп атайды және
деп белгілейді
.
Үшінші ретті марицаның
элементінің миноры мынадай екінші ретті анықтауыш болады:
.
элементінің алгебралық толықтауышы деп мынадай санды айтады:
Үшінші ретті марицаның
элементінің алгебралық толықтауышы мынадай сан:
Мысалы,
матрицасының бірінші жатық жолдағы элементтерінің миноры мен алгебралық толықтауыштарын есептейік:
,
,
,
,
,
,
,
.
Лаплас теоремасы.
квадрат матрицаның Δ анықтауышы оның кез келген жол элементтерін сәйкес алгебралық толықтауыштарға көбейтіп қосқанға тең:
- бұл анықтауыштың i -жатық жолы бойынша жіктелініп есептелуі.
- бұл анықтауыштың j -тік жолы бойынша жіктелініп есептелуі.
Алдыңғы мысалдағы
матрицасының анықтауышын бірінші жатық жолы бойынша жіктеп есептейік:
,
мұндағы алгебралық толықтауыштардың дайын мәндерін алдыңғы мысалдан алдық.
Лаплас теоремасы n -ретті анықтауыш есептеуді ( n-1 ) -ретті анықтауыш есептеуге келтіріледі. Сонымен, кез келген n -ретті (n>3) анықтауышты дәрежесін төмендету арқылы екінші ретті анықтауышты есептеуге келтіруге болады екен.
Енді анықтауыш қасиеттерін қарастырайық.
1-қасиет. Анықтауыштың жатық жолдарын сәкес тік жолдарымен алмастырғаннан, яғни транспонерлегеннен, анықтауыш мәні өзгермейді:
.
Теңдіктің дұрыстығын анықтауыштарды есептеу арқылы тексеруге болады.
2-қасиет. Анықтауыштың қандай да бір жолының ортақ көбейткішін анықтауыш алдына шығаруға болады. Үшінші ретті анықтауыштың екінші жолындағы ортақ көбейткішті анықтауыш алдына шығарамыз:
![]()
.
Теңдіктің дұрыстығына берілген матрицаны екінші жол бойынша жіктеп тексеруге болады.
3-қасиет. Анықтауыштың екі жолының орнын ауыстырғаннан анықтауыш таңбасы қарама-қарсы таңбаға өзгереді. Үшінші ретті анықтауыштың бірінші және екінші жолдарын алмастырайық:
Теңдіктің дұрыстығын екінші анықтауышты бірінші жол бойынша жіктеп тексеруге болады.
4-қасиет. Егер анықтауыштың екі жолы бірдей болса, онда анықтауыш мәні нолге тең. Үшінші ретті анықтауыштың бірінші және екінші жолдары бірдей болсын:
=0.
Теңдіктің дұрыстығын осы екі жолдың орндарын алмастырып 3-қасиетті қолданып тексеруге болады.
5-қасиет.
Анықтауыштың бір жолын қандай да бір санға көбейтіп басқа жолға қосқаннан анықтауыш мәні өзгермейді.
Үшінші ретті анықтауыштың бірінші жолын
-ға көбейтіп екінші жолға қосайық:
.
Теңдіктің дүрыстығын екінші анықтауышты мынадай
+
анықтауыштардың қосындысы түрінде жазайық. Сонда бірінші қосылғыш берілген анықтауыш болады да, екінші анықтауыш нолге тең.
6-қасиет. Үшбұрышты матрицаның анықтауышы диагональ бойындағы элементтердің көбейтіндісіне тең:
.
Теңдіктің дұрыстығын анықтауышты бірінші тік немесе үшінші жатық жол бойынша жіктеп тексеруге болады.
Осы қасиеттер көмегімен жоғары ретті анықтауыштар есептеуді көп жеңілдетуге болады. Анықтауышты қандай да бір жолында неғұрлым көп ноль болатындай етіп түрлендіріп, сол жол бойынша жіктеп анықтауыш реті төмендетіледі. Мысалы мынадай төртінші ретті
анықтауышты есептейік.
Анықтауышты үшбұрышты түрге келтіреміз. Алдымен 5-қасиет бойынша анықтауыштың бірінші жолын 1-ге көбейтіп үшінші жолға, (-1) -ге көбейтіп төртінші жолға қосайық (есепте көрсетілген) . Сонда анықтауыштың бірінші тік жолында
элементтен басқасы нолге айналады.
Енді осы қасиетті пайдаланып
элементінің астында тұрған сандарды нолге айналдырамыз. Соңында
элементінің астында тұрған сандарды нолге айналдырамыз. Анықтауыш үшбұрышты түрге келді. 6-қасиет бойынша анықтауыш мәнін диагональдік элементтерді көбейтіп табамыз.
![]()
=
![]()
=
![]()
=
=
Equation. 3 .
КЕРІ МАТРИЦА
квадрат матрица қарастырайық.
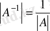
Анықтама. Анықтауышы нолге тең матрица ерекше , ал нолге тең емес матрица ерекше емес матрица деп аталады .
Кез келген
сан үшін мына
теңдігін қанағаттандыратындай кері сан табылады. Квадрат матрица үшін де осындай ұғым енгіземіз.
Анықтама. А квадрат матрица үшін мына
теңдікті қанағаттандыратын
матрица А матрицаның
кері матрицасы
деп аталады
.
Кері матрицаны мына формуламен табады:
,
мұндағы
-матрица анықтауышы, ал
-берілген матрицаның
элементтерінің алгебралық толықтауыштары,
i=1, 2, …, n; j=1, 2, …, n.
Кез келген квадрат матрицаның кері матрицасы бола бермейді.
Теорема
(кері матрица болуының қажетті және жеткілікті шарты) .
Матрицаның кері матрицасы болуы үшін ол ерекше емес (
) матрица болуы қажетті және жеткілікті.
Мысал
.
матрицасының кері матрицасын табу керек.
Шешуі . Алдымен анықтауышын есептейік.
=
=
Equation. 3 .
, яғни кері матрица бар. Енді элементтердің алгебралық толықтауыштарын есептейік.
,
,
,
,
,
,
,
,
.
Табылған мәндерді формулаға қойып кері матрицаны табамыз.
.
Кері матрицаның дұрыс табылғандығын
теңдігін тексеру арқылы көз жеткізуге болады:
.
Берілген матрицаға кері матрицаны элементар түрлендірулер әдісімен де табуға болады. Бұл әдіс матрицаға элементар түрлендірулер қолдануға сүйенеді . Матрицаның элементар түрлендірулері деп мынадай түрлендірулерді айтамыз:
- Матрицаны транспонерлеу;
- Жолдардың орнын алмастыру;
- Қандай да бір жолдың барлық элементтерін нолден өзге санға көбейту;
- Қандай да бір жолдың барлық элементтерін нолден өзге санға көбейтіп басқа жолдың сәйкес элементтеріне қосу;
- Барлық элементі ноль болатын жолды алып тастау.
Енді кері матрица табу ережесіне көшейік: Берілген
матрицаның оң жағына бірлік матрица жалғап жазу керек. Сонда
өлшемді кеңейтілген матрица пайда болады. В матрицаға А матрицасының орнында бірлік матрица пайда болғанға дейін жатық жолдарына элементар түрлендірулер жасалады. Нәтижесінде бірлік матрицаның орнында
кері матрица пайда болады.
Мысалы
, жоғарыдағы қарастырылған
матрицаның кері матрицасын осы әдіспен тауып көрейік. Берілген матрицаның оң жағына бірлік матрица жазып, элементар түрлендірулер жүргіземіз.
.
Соңында бірлік матрицаның орнында пайда болған матрица кері матрица болады:
Equation. 3 .
Ерекше емес матрицалар үшін мынадай қасиеттер дұрыс болады:
1)
, 2)
,
3)
, 4)
.
МАТРИЦА РАНГІСІ
m
x
n
өлшемді А матрицаның бірнеше жатық және тік жолдарын сызып тастап
k
өлшеміді,
k
min
(m, n),
квадрат матрица алуға болады. Осы квадрат матрица анықтауышы берілген матрицаның
k өлшемді миноры
деп аталады.
матрицаның
k
-өлшемді минорлар саны
Equation. 3 болады.
Анықтама. Матрицаның нолге тең емес минорларының ең үлкен реті матрица рангісі деп аталады :
r=r(A) = rangA .
Анықтамадан бірден мынадай тұжырымдар жасауға болады:
1.
матрицасының рангісі оның өлшемдерінің кішісінен артпайды:
r(A)
min(m, n) .
2. Барлық элементтері ноль болғанда ғана (нолдік матрица) матрица рангісі ноль болады.
3. n-ретті квадрат матрица ерекше емес болғанда матрица рангісі n-ге тең болады.
Мысал
.
матрицаның рангісін есептейік.
Шешуі
. Матрица өлшемі
3
х
4
болғандықтан, оның рангісі 3-тен артпайды,
r(A)
min
(3, 4)
. Егер үшінші ретті минорлардың ең болмағанда біреуі нолден өзгеше болса, онда матрица рангісі 3-ке тең болады. Үшінші ретті минорлар матрицаның бір тік жолын сызып тастағанда пайда болады:
,
,
,
.
Үшінші ретті минорлардың бәрі нолге тең болғандықтан, ранг 3-ке тең бола алмайды. Енді екінші ретті минорлардың ішінен (олардың саны
) ең болмағанда бір нолге тең емес минор тапсақ, матрица рангісі 2-ге тең болады. Екінші ретті минорлар матрицаның бір жатық, екі тік жолын сызып тастағанда пайда болады. Айталық бірінші жатық жол мен бірінші және екінші тік жолдарды сызып тастағанда пайда болатын мына минор:
, сондықтан
r(A) =2
.
Матрица өлшемі артқан сайын оның рангісін барлық нолден өзге минорларды есептеу жолымен анықтау қиындайды. Матрица рангісін элементар түрлендірулер әдісімен табу ондай қиындықтардан құтқарады.
Теорема. Элементар түрлендірулер матрица рангісін өзгертпейді.
Дәлелдеуі. Матрицаға элементар түрлендірулер жүргізгенде оның анықтауышы не өзгермей сақталады, не нолге тең емес санға көбейтіледі. Яғни, оның реті өзгермейді деген сөз. Олай болса, нолден өзгеше минорлардың немесе матрица рангісінің реті де өзгермейді.
Осы теореманы ескеріп, элементар түрлендірулер жасап, берілген матрицаны барлық диагоналдік элементтері нолден өзгеше болатындай етіп сатылы түрге келтіреміз:
,
мұндағы
r
п.
Осы шарттың орындалуын матрицаны транстонерлеу арқылы қамтамасыз етуге болады.
Сонда матрицаның r -ретті нолден өзге миноры
бар болады да, матрица рангісі r- ге тең болады, яғни
r(A) =r.
Мысал
.
матрицасының рангісін есептейік.
Шешуі . Элементар түрлендірулер көмегімен матрицаны сатылы түрге келтіреміз.
.
Соңғы матрица сатылы түрге келді және онда нолге тең емес үшінші ретті минор бар екенін бірден көруге болады:
. Сонымен матрица рангісі 3-ке тең,
r(A) =3.
ТЕОРИЯЛЫҚ СҰРАҚТАР
- Матрица дегеніміз не және оның қандай түрлерін білесің?
- Анықтауыш дегеніміз не және оны есептеудің Саррюс ережесін түсіндір.
- Минор және алгебралық толықтауыш деген не?
- Лаплас теоремасын не үшін және қалай қолданылатынын түсіндір.
- Матрица рангсін қалай есептейді?
ЕКІНШІ ЛЕКЦИЯ
СЫЗЫҚТЫ ТЕҢДЕУЛЕР ЖҮЙЕСІ
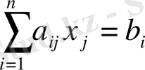
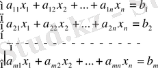
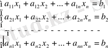
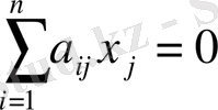
Негізгі ұғымдар мен анықтамалар. n белгісізді m теңдеуден тұратын жүйе деп мынадай жүйені айтады:
(1)
мұндағы
(i=1, 2, …, m, j=1, 2, …, n) -
теңдеу коэффициенттері деп, ал
(i=1, 2, …, m) -
бос мүшелері деп аталады. (1) теңдеудің қысқаша жазылуы мынадай:
(i=1, 2, …, m)
(1’)
- жүйенің бос мүшелерінің бәрі нолге тең болса,
(i=1, 2, …, m)
(2)
жүйе біртекті жүйе деп аталады.
Жүйенің әрбір теңдеуін тепе-теңдікке айналдыратын
сандар тізбегі
теңдеулер жүйесінің шешімі
деп аталады. Осы шартты қанағаттандыратын барлық
шешімдер
шешімдер жиынын
құрады. Жүйенің шешімдер жиынын табу процесін жүйені шешу дейді.
(1) жүйенің ең болмағанда бір шешімі болса жүйе үйлесімді , ал шешімі болмаса үйлесімсіз деп аталады.
Үйлесімді жүйенің бір ғана шешімі болса, жүйе анықталған , ал шешімі бірден көп болса анықталмаған деп аталады.
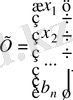
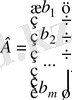
Енді (1) жүйеге мынадай белгілеулер енгізейік:
,
,
А - жүйе коэффициенттерінен құрылған матрица немесе жүйе матрицасы, Х - жүйенің бос мүшелерінен құрылған бағана матрица, В - жүйенің бос мүшелерінен құрылған бағана матрица. Осы белгілеулерді қолданып (1) жүйені былайша жазуға болады:
АХ=В (3)
(3) теңдеу (1) жүйенің матрицалық жазылуы болып табылады.
Егер жүйе матрицасына бос мүшелер матрицасын жалғап жазсақ,
,
жүйенің кеңейтілген матрицасын аламыз.
Кронеккер-Капелли теоремасы. Егер сызықты теңдеулер жүйесінің негізгі матрицасы мен кеңейтілген матрицасының ранглері тең болса, онда жүйе үйлесімді болады.
Теорема бойынша жүйе үйлесімді болуы үшін
болуы керек. Бұл кезде
r
жүйе рангісі
деп аталады.
Үйлесімді жүйенің рангісі жүйедегі белгісіздер санына тең болса (r=n) , онда жүйе анықталған болады, ал егер жүйенің рангісі жүйедегі белгісіздер санынан кем болса (r<n) , онда жүйе анықталмаған болады.
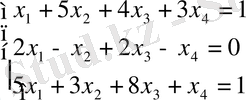
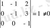
Мысалы , мынадай жүйе қарастырайық:
Жүйенің кеңейтілген матрицасын жазып, элементар түрлендірулер жасайық:
Жүйе матрицасы мен кеңейтілген матрицаның екінші ретті нолге тең емес минорлары бар екенін көру қиын емес және
. Кронеккер-Капелли теоремасы бойынша жүйе үйлесімді.
Жүйе рангісі r=2 , ал белгісіздер саны n=4, r<n болғандықтан жүйе анықталмаған, яғни шексіз көп шешімі бар.
Енді жүйені шешу мәселесіне көшейік.
ЖҮЙЕ ШЕШУДІҢ КРАМЕР ӘДІСІ
Бұл әдіс жүйедегі теңдеулер саны мен белгісіздер саны тең болғанда, яғни m=n , қолдануға болады. Демек, жүйе түрі мынадай болады:
(4)
Жүйедегі теңдеулер саны мен белгісіздер саны тең, онда жүйе матрицасы квадрат матрица болады. Сол квадрат матрицаның анықтауышын
деп белгілейік:
Крамер ережесі
.
-жүйе анықтауышы, ал
-
анықтауыштың j-тік жолын бос мүшелермен алмастырғаннан пайда болған анықтауыш болсын. Сонда, егер
болса жүйенің жалғыз шешімі бар болады және мынадай формуламен табылады:
(i=1, 2, …, n)
(5)
(5) формуланы Крамер формуласы деп атайды.
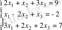
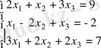
Осы ережені қолданып мынадай жүйені шешейік
Шешуі
. Алдымен
анықтауышты есептейміз,
.
(j=1, 2, 3)
анықтауыштарды есептейік
,
,
Енді Крамер формуласын қолданып белгісіздерді табамыз:
,
,
.
Сонымен, берілген жүйенің жалғыз (-1; 2; 3) шешімі табылды, жүйе анықталған екен.
ЖҮЙЕ ШЕШУДІҢ КЕРІ МАТРИЦАЛЫҚ ӘДІСІ
Бұл әдіс те жүйедегі теңдеулер саны мен белгісіздер саны тең болғанда, яғни m=n , қолдануға болады. Жүйенің матрицалық жазылуын қарастырайық:
АХ=В,
мұндағы
,
,
.
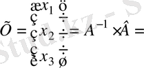
Айталық
А
ерекше емес матрица болсын, яғни матрица анықтауышы нолге тең емес, олай болса әр уақытта
кері матрицасы бар болады. Теңдеуді сол жағынан кері матрицаға көбейтейік,
АХ=
В
А=E
болатындықтан,
ЕХ=
В,
кез келген матрицаның бірлік матрицаға көбейтіндісі сол матрицаның өзіне тең болатындықтан, ЕХ=Х:
Х=
В.
Сонымен, кері матрицалық әдіс бойынша жүйенің шешімін табу үшін бос мүшелерден құралған матрицаны жүйе матрицасының кері матрицасына көбейту керек екен .
Жоғарыда карастырылған
жүйені осы әдіс бойынша шешіп көрейік.
Шешуі.
болғандықтан, жүйе матрицасы ерекше емес. Осы матрицаның кері матрицасын табамыз:
.
Енді
Х=
В
теңдікті қолданып белгісіздерді табамыз:
.
Сонымен,
,
,
шешімдері табылды.
ЖҮЙЕ ШЕШУДІҢ ГАУСС ӘДІСІ
n белгісізді m теңдеуден тұратын жүйе қарастырайық,
.
Гаусс әдісі - жүйедегі айнымалыларды түрлендірулер көмегімен біртіндеп жойып, жүйені сатылы түрге келтіріп, айнымалыларды біртіндеп табатын әдіс. Гаусс түрлендірулері мынадай:
- Кез келген екі теңдеудің орындарын ауыстырып жазу;
- Кез келген теңдеудің екі жағын нолден өзге санға көбейту;
- Қандай да бір теңдеуді нолден өзге санға көбейтіп, басқа теңдеуге сәйкесінше қосу;
- 0=0түріндегі теңдеуді сызып тастау.
Гаусс түрлендірулерін жүйенің өзіне қолданғаннан гөрі оның кеңейтілген матрицасына қолданған ұтымды болады. Олай болса жүйенің кеңейтілген матрицасын қарастырайық,
.
Осы матрицаны түрлендірулер нәтижесінде мынадай түрге келтіреміз:
Матрицаның элементтері
арқылы белгіленіп тұрғанымен, шын мәнінде олар түрлендірулер нәтижесінде өзгерген. Бұл белгілеулер жазуды ықшамдау үшін ғана пайдаланылып отыр.
Соңғы матрицаға сәйкес келетін теңдеулер жүйесі мынадай:
(6)
- Іс жүргізу
- Автоматтандыру, Техника
- Алғашқы әскери дайындық
- Астрономия
- Ауыл шаруашылығы
- Банк ісі
- Бизнесті бағалау
- Биология
- Бухгалтерлік іс
- Валеология
- Ветеринария
- География
- Геология, Геофизика, Геодезия
- Дін
- Ет, сүт, шарап өнімдері
- Жалпы тарих
- Жер кадастрі, Жылжымайтын мүлік
- Журналистика
- Информатика
- Кеден ісі
- Маркетинг
- Математика, Геометрия
- Медицина
- Мемлекеттік басқару
- Менеджмент
- Мұнай, Газ
- Мұрағат ісі
- Мәдениеттану
- ОБЖ (Основы безопасности жизнедеятельности)
- Педагогика
- Полиграфия
- Психология
- Салық
- Саясаттану
- Сақтандыру
- Сертификаттау, стандарттау
- Социология, Демография
- Спорт
- Статистика
- Тілтану, Филология
- Тарихи тұлғалар
- Тау-кен ісі
- Транспорт
- Туризм
- Физика
- Философия
- Халықаралық қатынастар
- Химия
- Экология, Қоршаған ортаны қорғау
- Экономика
- Экономикалық география
- Электротехника
- Қазақстан тарихы
- Қаржы
- Құрылыс
- Құқық, Криминалистика
- Әдебиет
- Өнер, музыка
- Өнеркәсіп, Өндіріс
Қазақ тілінде жазылған рефераттар, курстық жұмыстар, дипломдық жұмыстар бойынша біздің қор #1 болып табылады.

Ақпарат
Қосымша
Email: info@stud.kz