Бөлшектің тыныштық массасы мен энергиясы


Релятивті механикада кейбір физикалық шамаларды кеңістік пен уақыт, күш пен қуат т. с. с. біріктіріп, бір ғана 4-вектор түрінде көрсетуге болатының көрдік. Ал 4-ші компоненті бөлшектің энергиясымен байланыстыруға болады. Ол үшін оны жарық жылдамдығына көбейтіп және бөлейік. Егер 4-импульстан төртінші компонентті былай жазуға болады:
(1)
сонымен 4-импульс бөлшектің маңызды сипаттамаларын көрсететін оның энергиясымен импульсін біріктіріеді.
Сондықтан да релятивті қозғалыс теңдеуінің бірінші үш компоненті кәдімгі импульстің өзгеру заңдылығын берсе, төртінші компонентті энергияның өзгеру заңдылығын береді. Егер бөлшекке ешқандай күш әсер етпесе, яғни
болса, онда қозғалыс теңдеуі мына түрде жазылады:
(2)
бұдан
болатының, яғни 4-импульстің сақталатыны шығады. (2) таңдеуінің бірінші үш компонентін интегралдап, байырғы импульстің сақталу заңын, ал төртінші компанентің интегралдап, энергияның сақталу заңын аламыз. Классикалық механикадағы маңызды екі заң - энергия мен импульстің сақталу заңдары релятивті механикада біріктіріліп, бір ғана 4-импульстің сақталу заңы түрінде беріледі. Импульстің сақталу заңы -кеңістіктен, ал энергияның сақталу заңы -уақыттың біртектілігінен туындайтынын ескерсе, релятивті механикада, кеңістік пен уақыттың біріктірілуіне орай, бұл екеуінің де (екі заңын да) біріктірілуі табиғи нәрсе.
Ендеше, 4-импульстің сақталу заңын 4-кеңістіктің біртектілігінің салдары деп қарау керек. 4-импульстің модулінің квадраты инвариантты болу керек:
(3)
ал 4-импульстің компоненттері -жеке алғанда салыстырмалы шамалар. Олар белгілі заңдылық бойынша түрленетінің көруге болады:
(4)
немесе бұл түрлендіруді ашып жазсақ:
(5)
яғни импульс та, энергия да-салыстырмалы шамалар. Егер бөлшек
жүйесінде козғалмай түрса,
түрінде болады.
Онда
(6)
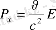
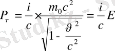
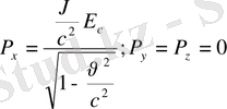
мұндағы
-бөлшектің қозғалмай тұрғандағы меншікті энергиясы. (6) формуладан х осінің бойымен
жылдамдықпен қозғалып бара жатқан бөлшектің энергиясы мен импульс арасындағы байланысты алуға болады:
(7)
бұдан энергияның ағыны 1Е болғанда бөлшектің импульсы да болатынын көреміз. Сондықтан бөлшектің импульсы оның энергиясын тасымалдау қабілетін көрсетеді. Бұл тұжырым бөлшектре үшін ғана емес, кез келген материялық объектілер үшін де дұрыс болады. Электрмагниттік өрістін энергиясы мен импульс арасындада осындай қатынас болуы керек.
Бөлшектің 4-импульсінің төртінші компонентінің нөлге айнала алмайтындығынан, оның энергиясының да нөл болмайтындығы шығады. Бұл қасиет релятивті механиканың классикалық механикадан түбегейлі өзгешелігін көрсетеді. Классикалық механика бойынша, қозғалмай тұрған бөлшектің энергиясы да нөл болуы керек.
Қазақстан Республикасы Білім және Ғылым министрлігі Ы. Алтынсарин атындағы Арқалық мемлекеттік педагогика институты
Жаратылыстану және ақпараттандыру факультеті
Тақырыбы: Бөлшектің тыныштық массасы мен энергиясы. Масса мен энергияның эквиваленттілігі.
Орындаған: Абдукадирова А.
Ф-31 тобының студенті
Тексерген: Абдигалиева Ж.
Арқалық қаласы
... жалғасы- Іс жүргізу
- Автоматтандыру, Техника
- Алғашқы әскери дайындық
- Астрономия
- Ауыл шаруашылығы
- Банк ісі
- Бизнесті бағалау
- Биология
- Бухгалтерлік іс
- Валеология
- Ветеринария
- География
- Геология, Геофизика, Геодезия
- Дін
- Ет, сүт, шарап өнімдері
- Жалпы тарих
- Жер кадастрі, Жылжымайтын мүлік
- Журналистика
- Информатика
- Кеден ісі
- Маркетинг
- Математика, Геометрия
- Медицина
- Мемлекеттік басқару
- Менеджмент
- Мұнай, Газ
- Мұрағат ісі
- Мәдениеттану
- ОБЖ (Основы безопасности жизнедеятельности)
- Педагогика
- Полиграфия
- Психология
- Салық
- Саясаттану
- Сақтандыру
- Сертификаттау, стандарттау
- Социология, Демография
- Спорт
- Статистика
- Тілтану, Филология
- Тарихи тұлғалар
- Тау-кен ісі
- Транспорт
- Туризм
- Физика
- Философия
- Халықаралық қатынастар
- Химия
- Экология, Қоршаған ортаны қорғау
- Экономика
- Экономикалық география
- Электротехника
- Қазақстан тарихы
- Қаржы
- Құрылыс
- Құқық, Криминалистика
- Әдебиет
- Өнер, музыка
- Өнеркәсіп, Өндіріс
Қазақ тілінде жазылған рефераттар, курстық жұмыстар, дипломдық жұмыстар бойынша біздің қор #1 болып табылады.

Ақпарат
Қосымша
Email: info@stud.kz