Дененің қызу және суу процестері


Курстық жұмыстың мазмұны
Кіріспе . . . 4
I. Технологиялық бөлім . . . 5
Қызу, суу, булау процестері туралы ақпарат . . . 5
1. 1. Қызу және суу құбылысы . . . 5
1. 2. Булау процестері . . . 8
II. Конструкторлық бөлім . . . 12
Қызу, суу, булау процестері параметрлерінің негізгі сипаттамалары . . . 12
2. 1 Қызу және суу процестерінің параметрлері . . . 12
2. 2 Булау процестерінің аппараттары мен аспаптары . . . 16
III. Есептеу бөлімі . . . 20
Электр қозғалтқыштарын қыздыру және салқындату . . . 20
3. 1 Қыздыру теңдеуі. Тұрақты қыздыру . . . 20
IV. Еңбекті қорғау және қауіпсіздік ережелері бөлімі . . . 23
4. 1. Қызу, суу және булау процестері кезіндегі қауіпсіздік ережелері . . . 23
Қорытынды . . . 24
Пайдаланылған әдебиеттер тізімі . . . 25
Кіріспе
Курстық жұмыстың тақырыбы: «Қызу, суу, булау процестерін сипаттайтын параметрлер». Курстық жұмыстың мақсаты: қызу, суу және булау процестерін сипаттайтын параметрлерді анықтау; булау және қыздыру, суыту аппараттары мен аспаптарын қарастыру.
Курстық жұмыс сәйкестігі: қызу, суу және булау процестерінің жүруін сипаттайтын параметрлерді білу өте маңызды. Сонымен қатар, қызу және суу, булау процестері тек қана табиғи жолмен болмайды. Бұл процестер жасанды, аппараттардың көмегімен де орындалады. Аппараттардың тиімділігі мен түрлерін ажырата білу қазіргі таңда өте маңызды болып табылады.
Курстық жұмыс кіріспеден, технологиялық бөлімнен, конструкторлық бөлімнен, есептеу бөлімінен, еңбекті қорғау және қауіпсіздік ережелері бөлімінен, қорытындыдан және пайдаланылған әдебиеттер тізімінен тұрады. Курстық жұмыс 27 беттен тұрады.
Курстық жұмыстың бірінші бөлімінде, яғни, технологиялық бөлімде қызу, суу және булау процестерінің жалпы түсініктері туралы жазылған.
Курстық жұмыстың екінші бөлімінде, яғни, конструкторлық бөлімде қызу, суу және булау процестерінің жүру параметрлері мен қолданыстағы аппараттар туралы толықтай жазылған.
Курстық жұмыстың үшінші бөлімінде, яғни, есептеу бөлімінде қызу және суу процестерінің қажетті есептеулері, электр қозғалтқыштарын қыздыру және салқындату процесінің өлшемдері, қыздыру теңдеуі мен тұрақты қыздыру есептемелері жазылған.
Курстық жұмыстың төртінші бөлімінде, яғни, еңбекті қорғау және қауіпсіздік ережелері бөлімінде қызу, суу және булау процестері кезіндегі қауіпсіздік ережелері туралы жазылған.
Курстық жұмысты жазу кезінде қолданған әдебиеттер пайдаланылған әдебиеттер тізімінде көрсетілген.
I. Технологиялық бөлім
Қызу, суу, булау процестері туралы ақпарат
1. 1. Қызу және суу құбылысы
Жылу құбылыстары - денелер мен заттардың температурасының өзгеруіне байланысты құбылыстар. Жылу процестері жылу құбылыстарының бір түрі болып табылады - бұл денелер мен заттардың температурасы өзгеретін, сондай-ақ олардың агрегаттық жай-күйінің өзгеруі мүмкін процестер.
Жылу процестері жер бетінде кең таралған. Табиғатта бұл жердің күн сәулесімен қызуы, мұздықтардың еруі, қардың түзілуі, жауын-шашынның түсуі, судың булануы және басқа да көптеген құбылыстар. Техникада жылу процестері жылу қозғалтқыштары мен тоңазытқыш қондырғыларда пайдаланылады, металлургияда, химия өнеркәсібінде, электр энергетикада және т. б. кеңінен қолданылады.
Жылу құбылыстары адамдардың, жануарлар мен өсімдіктердің өмірінде үлкен рөл атқарады. Олардың маңызы өте жоғары. Шынында да, жыл мезгілін ауыстырған кезде температураның 20-30°С-қа өзгеруі біздің айналамызда қарқынды өзгеріп отырады. Қоршаған ортаның температурасына Жердегі өмір сүру мүмкіндігі байланысты. Адамдар от алуды және қолдауды үйренгеннен кейін қоршаған ортадан салыстырмалы тәуелсіздікке қол жеткізді. Бұл адамзат дамуының алдында жасалған ең үлкен жаңалықтардың бірі болды, ол оның одан әрі дамуына ықпал етті.
Жылу үдерістерінсіз біз көптеген әдетті заттарды жасай алмаймыз, Мысалы, тоңазытқыштан алынған тамақты жылытып, ыстық сорпаны салқындатып, тоңазытқышты бұзбау үшін "еріту", шай қайнату үшін шәйнекті қайнату, іш киімдерді кептіру, плитада тамақ дайындау, орманда от жағу. Біз ешқашан жаңбыр, қар, шаю және т. б. көрмейміз.
Жылу процестері біздің өмірімізде маңызды, онсыз адамның Жер бетінде қалыпты болуы мүмкін емес. Сондықтан оларды барынша егжей-тегжейлі зерттеу қажет, өйткені олар бізді барлық жерде сүйемелдейді. Бір сөзбен айтқанда, жылу процестері-адамдар өмірінің ажырамас бөлігі.
Жылу қозғалысы - зат түзетін бөлшектердің ретсіз (ретсіз) қозғалысы процесі. Температура жоғары болса, бөлшектер қозғалысының жылдамдығы соғұрлым көп. Көбінесе атомдар мен молекулалардың жылу қозғалысы қарастырылады. Заттың молекулалары немесе атомдары үнемі ретсіз қозғалыста болады.
Бұл қозғалыс кез-келген затта заттың температурасына байланысты ішкі кинетикалық энергияның болуын тудырады. Сондықтан, үнемі молекулалар немесе атомдар бар ретсіз қозғалыс жылу деп аталады.
Жылу құбылыстарын зерттеу денелердің механикалық энергиясы қаншалықты азайғанын, олардың механикалық және ішкі энергияларының соншалықты ұлғаюын көрсетеді, кез келген процестерде өзгеріссіз қалады. Бұл энергияны сақтау Заңы. Энергия ештеңе пайда болмайды және ешқайда жоғалмайды. Ол өзінің толық мәнін сақтай отырып, бір түрден екіншісіне ауыса алады.
Молекулалардың жылу қозғалысы ешқашан тоқтатылмайды. Сондықтан кез келген дене әрқашан ішкі күшке ие. Ішкі энергия дененің температурасына, Заттың агрегаттық жағдайына және басқа да факторларға байланысты және дененің механикалық жағдайына және оның механикалық қозғалысына байланысты емес. Жұмыс жасамай дененің ішкі қуатын өзгерту жылу беру деп аталады.
Жылу беру әрқашан денеден төмен температурамен денеге қарай бағытта жүреді. Жылу процестері - жылу құбылыстарының бір түрі; денелер мен заттардың температурасы өзгеретін, сондай-ақ олардың агрегаттық жай-күйінің өзгеруі мүмкін процестер. Жылу процестеріне жатады: Қыздыру; Салқындату; Бу түзілуі; Кипение; Булану; Кристалдану; Жүзу; Конденсация; Жану; Сублимация; Десублимация.
1-сурет. Дененің қызу процесі
Қызған кезде дене жылу алады, ал салқындағанда оны береді. Мұнда с-заттың меншікті жылу сыйымдылығы, m-заттың салмағы, - соңғы және бастапқы температуралардың айырмасы. Бұл формула денені суыту кезінде бөлінетін жылу мөлшерін есептеу үшін жарамды. Заттың меншікті жылу сыйымдылығы - бұл жылу мөлшерін көрсететін физикалық шама, оны 1 °С қыздыру үшін осы заттың 1 кг жеткізу керек. СИ жүйесіндегі меншікті жылу сыйымдылығын өлшеу бірлігі: [ с ] = 1 Дж/(кг°С) . Денені бұрынғы температураға дейін суытқан кезде осы денені қыздыруға жұмсалған жылу мөлшері бөлінеді.
2-сурет. Дененің қызу және суу процестері
Қызу - дене немесе зат температурасының жоғарылау процесі. Бұл процесс қоршаған ортадан энергия (жылу) жұтумен бірге жүреді. Қыздыру кезінде Заттың агрегаттық күйі өзгермейді.
Қызу кезінде жылу мөлшерін есептеу формуласы:
Q = cm (t2 - t1 ) ,
Q-жылу саны,
с-заттың меншікті жылу сыйымдылығы (кесте шамасы),
m-заттың салмағы,
t 1-Бастапқы температура,
t 2-соңғы температура,
а (t2 - t1) - Соңғы және бастапқы температура арасындағы айырмашылық.
Мен тәжірибе арқылы қыздыруды табуды шештім.
1. Мен краннан стаканға су құйдым және оның температурасын өлшедім (20°C) .
2. Содан кейін мен батареяға стақан салып, біраз уақыттан кейін су температурасын өлшедім (30°C) .
3. Ең ыстық батареяда біраз уақыт су құйылған стақан ұстап, мен температураны тағы да өлшедім (50°C) .
Суыту ұзақтығын тұрақты жылу режимі Заңының негізінде есептеуге болады. Тоңазыту технологиясында бұл әдіс оның қарапайымдылығы мен әмбебаптығы салдарынан кеңінен қолданылады.
Денені салқындату немесе қыздыру туралы есептің классикалық шешімінен, Фурье өлшемінің айтарлықтай үлкен мәні кезінде жылу режимі тұрақты болатын жағдайлар бар.
Процестің температурасын мынадай өрнектермен жақынырақ сипаттауға болады, мұнда Т (с-1) шамасы, суыту қарқыны деп аталатын, дене нүктесінің қандай нүктесінде t температурасының өлшенуіне байланысты емес, ал А коэффициенті температураға байланысты.
Бұл тұрақты жылу режимін жақындату деп аталады. Әдетте үш мән а қолданылады: дене ортасындағы температура үшін (Ац), орташа облыстық температура үшін (А 0б) және беттің температурасы үшін (Апов), бұл ретте соңғы екі мәндер өзара өлшеусіз коэффициентпен байланысты.
мұнда cv-көлемді жылу сыйымдылығы, Дж/(м 3 * К) ;
R-дененің бетінен дененің тереңдігінде одан ең алыс нүктеге дейінгі қашықтық ретінде түсінілетін дененің тән өлшемі, м;
Ф-дене формасының өлшемсіз коэффициенті;
BI-Био саны;
- BI санының және дене формасының кейбір функциясы болып табылатын өлшемсіз параметр;
S-алаң.
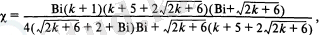
Сондықтан, m, Апов және Аоб сандары (2) арақатынасымен байланысты және осы үш параметрлердің екеуін біле отырып, үшінші параметрді есептеуге болады.
Параметрді анықтау, жалпы айтқанда, тек сандық болуы мүмкін, бірақ жақын ара қатынасы бар (квазиодномалық жақындауға негізделген) :
(1)
Бұл жерде к өлшемсіз параметрі:
(2)
1. 2. Булау процестері
Булау - ұшпайтын қатты зат ерітіндісінің концентрациясы. Бұл процесс еріткіш ішінара буланып бастаған кезде міндетті түрде сұйықтық қайнаған жағдайда жүреді.
Булау дистилляцияны (ерітілген заттарды бөліп алу), кристалдауды (ұшпайтын заттар қатты күйінде бөлінеді) немесе ұшпайтын заттар ерітінділерінің концентрациясын жүргізу мүмкіндігі болу үшін қолданылады.
Ерітіндіден таза еріткіш шыққан кезде булаудың жарқын мысалы-теңіз суының Тұщы жағдайына келтіру. Бұл жағдайда алынған су буын конденсациялайды және мұндай суды әр түрлі мақсаттар үшін қолданады.
Буланатын ерітінділер қайнағанға дейін қызуы үшін келесі тәсілдермен қолданылады:
- су буымен қыздыру;
- температурасы жоғары жылу тасығыштар;
- электр жылыту түрі.
Су бу конденсациясының меншікті жылуы мен жылу беру коэффициентінің жоғары сипаттамалары есебінен ең танымал нұсқа болып табылады. Булау әдетте әрекет ету принципі бойынша өз түрлері бар арнайы буландыру жабдығында жүзеге асырылады.
Буландыру аппараттары:
Үздіксіз жұмыс істейтін - бұл жағдайда аппаратқа ерітіндіні үздіксіз береді, қажетті концентрацияны алады, ал буланған ерітіндіні одан үздіксіз шығарады.
Мерзімді - кезеңді булау жабдықтың өнімділігі аз болған жағдайда жоғары дәрежелі концентрация алу мақсатында жүргізіледі. Бұл ретте аппаратқа ерітінді береді, содан кейін оны концентрацияның қажетті жағдайына дейін буландырады, міндетті түрде құйып, сол ерітіндінің жаңа дозасын қайтадан жүктейді.
Химиялық өнеркәсіп саласында жиі үздіксіз жұмыс істейтін булау қондырғылары пайдаланылады, себебі қатты қыздырылатын беттен үлкен өнімділігі бар. Оның көлемі бір аппаратта 2500 м2 дейін жетуі мүмкін.
Алайда, химиялық технологияда беттік нұсқаның буландырғыш агрегаттары да, атап айтқанда бумен жылытудың үздіксіз әрекетімен ерекшеленетін тік түтікше қолданылады.
3-сурет. Мәжбүрлі айналымы бар аспап
Сондай-ақ, булау жабдықтары бірнеше түрге бөлінеді, олар қайнаған сұйықтықтың қозғалыс принципі бойынша:
- еркін айналымдағы аспаптар;
- табиғи айналымы бар аспаптар;
- мәжбүрлі айналымы бар аспаптар;
пленкалы типті булау аппараттары (оларға роторлы типті жабдық жатады) .
4-сурет. Ваккумды булау аппараты
Бүрку құбыры мен шығарылған қыздыру камерасы бар табиғи циркуляциясы бар Аппарат. Бұл құралда ерітінді аппараттың жекелеген орындарындағы тығыздық көрсеткіштерінің айырмашылығынан циркуляциялайды. Булануға ұшырайтын ерітінді құбырлар бойынша көтеріле отырып қыздырылады және өзінің көтерілу шамасына қарай бүркеді. Бу мен сұйықтықтың пайда болған қоспасын арнайы бөлгішке (сепараторға) анықтайды, онда бу мен сұйық фазаларды бір-бірінен бөліп алады.
Бұл ретте бу түзілетін кеңістіктің биіктігі міндетті түрде будан алынған сұйықтық тамшыларын толық айырудан өту шарттарын қанағаттандыруы тиіс, олар кейін қайнату құбырлары арқылы шығарылады. Одан әрі екінші бу қайтадан сепаратор арқылы өткізіледі және бүріккішті тамшылардан босатады, ал айналмалы құбыр бойынша ерітіндінің өзі қыздыру камерасына қайтарылады.
5-сурет. Булау процесіндегі шыны
Мұндай аппараттарда үстіңгі қабаттарды әртүрлі шөгінділерден тазарту оңай өтеді, себебі қыздыру камерасының ашық жоғарғы қақпағы есебінен құбырларға қол жеткізу жеңілдейді.
Ерітіндінің аса белсенді айналымы үшін жағдайлар циркуляциялық құбырдың өзі іс жүзінде қыздырмауы, ал сыртқа шығарылатын циркуляциялық құбырдағы ерітіндінің тығыздығы қыздыру камераларында орналасқан басқа циркуляциялық құбырларға қарағанда әлдеқайда көп болуы есебінен жасалады. Бұл шөгінділердің бетінде пайда болмайды және ерітіндінің айналуының салыстырмалы үлкен жылдамдығын қамтамасыз етеді.
Булау процесі қалай болатынын егжей-тегжейлі түсіну үшін, булау аппараттары қалай құрылатын білу қажет. Өнеркәсіпте қолдануға болатын буландыру жабдығы конструкцияларының барлық нұсқалары жіктеледі:
- жылыту бетінің түрі бойынша (жылан, түтікшелер немесе бу жейделері) ;
- жылу тасығыштың түрі бойынша (жоғары температуралы жылу тасығыштар, электроткалар, су буы және т. б. ) . ) ;
- қыздыру бетінің орналасуы бойынша (тік, көлденең немесе мүлдем көлбеу қыздыру камерасы бар аспаптар) ) ;
- жылыту камерасы құбырларының ішінде немесе сыртынан жылу тасығыштың қозғалыс сипатына байланысты.
Алайда, барлық буландыру аппараттарын жіктеу үшін аса маңызды белгі ерітіндінің айналуының еселігі мен түрін есептейді, өйткені дәл осы көрсеткіштер олардың жұмысының қарқындылығын жақсы сипаттайды.
Осыған байланысты булау жабдықтары кіші түрге бөлінеді:
- еркін (ұйымдастырылмаған), табиғи бағытталған және мәжбүрлі айналымы бар булау аппараттары;
- ерітінді ерітіндінің циркуляциясын айналып өтіп, аппарат арқылы тек бір рет буланатын тура ағынды аппараттар және ерітіндінің бірнеш
- рет циркуляциясымен жұмыс істейтін аппараттар;
- буландыру процесі қалай ұйымдастырылғанына байланысты, мерзімді және үздіксіз әрекет ететін аппараттарды бөледі.
II. Конструкторлық бөлім
Қызу, суу, булау процестері параметрлерінің негізгі сипаттамалары
- Қызу және суу процестерінің параметрлері
Қызу деп оларға жылу беру арқылы материалдардың температурасын арттыру процесі аталады. Тағам технологиясында кеңінен таралған қыздыру әдістері ыстық сумен немесе су буымен қаныққан басқа да сұйық жылу тасымалдағыштармен, оттық газдармен және электр тогымен қыздыру болып табылады.
Бұл мақсаттар үшін әртүрлі құрылымдағы жылу алмастырғыштар қолданылады.
Судың қызуы 100°С төмен температурада азық-түлік өнімдерінің температурасын арттыру және пастерлеу үшін қолданылады.
Ыстық сұйықтықтарды қыздырудың басқа тәсілі-жылытқыш моншаның көмегімен жылыту. Көйлек электр қыздырғыштың көмегімен немесе жыланғышқа берілетін жоғары қысымды су буымен қаныққан жағу газдарымен қыздырылады.
Бұл оның келесі артықшылықтарымен түсіндіріледі: су буының конденсациясы кезінде бөлінетін жылудың көп мөлшері (2024 . . . Абсолюттік қысым кезінде конденсацияланатын будың 1 кг 2264 кДж тиісінше 0, 1 (1, 0МПа) ; конденсациялайтын будан қабырғаға жылу беру жоғары коэффициентімен - шамамен 20 000 - 40 000 кДж /м2) жылудың біркелкілігі.
Арнайы пештерде қатты, сұйық немесе газ тәрізді отынды жағу кезінде пайда болатын оттық газдармен қыздыру, мысалы, кептіргіштерді жылыту үшін пайдаланылады.
Электр тогының қызуы тікелей және жанама әсер ететін кедергінің электр пештерінде жүзеге асырылады. Тікелей жұмыс істейтін пештерде дене электр тогынан өткен кезде қызады.
Жоғары жиіліктегі токпен қыздыру айнымалы электр тогының диэлектрикіне әсер еткенде диэлектрик молекуласының тербелмелі қозғалысқа келуіне негізделген, бұл ретте энергияның бір бөлігі диэлектрик молекулалары арасындағы үйкелісті еңсеруге жұмсалады және денені қыздырып, жылуға айналады.
Суу - материалдар температурасының төмендеу процесі, олардан жылу шығару арқылы. Суу жылу тасымалдағыштар қабырғамен бөлінген немесе араластыру кезінде жылумен алмасатын жылу алмастырғыштарда жүзеге асырылады. Мысалы, газдар суды шашырату арқылы салқындатады.
Мұздатқыш бірқатар өнімдерді, мысалы, балмұздақ, нөлге жақын температураға дейін салқындату үшін қолданылады.
Жылу беру - екі жылу тасымалдағыштың арасындағы олардың қатты қабырғасы арқылы жылу алмасу.
Жылу тасығыш - қозғалатын орта (газ, бу, сұйықтық), жылу пеоеносының пайдаланылатын түбі.
Жылу өткізгіштік деп жылу қозғалысының және шағын бөліктердің өзара іс-қимылының нәтижесінде дененің неғұрлым қызған учаскелерінен аз қызғанышқа жылу энергиясын тасымалдау процесі аталады. Жылу өткізгіштігінің нәтижесінде дене температурасы теңестіріледі.
Фурье (1768-1830) орнатылған және оның атымен аталған жылу өткізгіштігінің негізгі заңы жылу өткізгіштігімен берілген dQ жылу мөлшері dt/dl температурасының градиентіне, dt уақытына және DF қимасының ауданына, жылу ағынының перпендикуляр бағытына перпендикуляр:
(3)
мұнда λ. - ортаның жылу өткізгіштік коэффициенті, Вт/(м-К) .
Заттардың жылуөткізгіштік коэффициенті олардың табиғатына және агрегаттық күйіне, температурасына және қысымына байланысты.
Дененің беті мен қоршаған орта арасындағы жылу алмасу процесі жылу береді.
Жылу беру қарқындылығы коэффициентпен сипатталады.
Жылу алмасу беті мен Орта (жылу тасығыш) арасындағы температуралық Арынға қатысты тең жылу беру.
Жылу берудің негізгі заңы-Ньютонагласит Заңы: жылу алмасу бетінен ағынға, сұйықтыққа (газға) немесе ағыннан жылу алмасу бетіне дейін берілген dQ жылу мөлшері, F жылу алмасу бетінің ауданына тікелей пропорционал, tст бетінің және TF ағынының ядросы температурасының әртүрлілігі (немесе керісінше) және dt процессінің ұзақтығы.
Жылу мен суудың ауысуы судың барлық қалыңдығында бір мезгілде жүреді. Температураның күрт өзгеруі су айдынының бетінде байқалады, онда олар динамикалық және конвективті араласу әсерінен, ағыстар мен толқулар судың барлық қалыңдығына таралады.
Әр түрлі тереңдіктегі су тығыздығының әртүрлілігі әсерінен болатын конвективті араластыру бағыты конвекция пайда болған сәтке қарай 4°С жоғары немесе төмен температураға (тұщы көлдер үшін) байланысты әр түрлі болады.
Егер көлдің суының температурасы 0-ден 4°С-қа дейін болса, онда жер бетінде температурасы төмен су болады, ал төменірек тығыздықтың өзгеруіне сәйкес температурасы 4°С-қа жақындап келе жатқан біртіндеп ұлғаятын қабаттар орналасады. Жылу балансының кіріс құрамдастары шығыннан асып түсетін сәттен бастап үстіңгі қабаттардың температурасы артады, олар 4°С дейін қызып, неғұрлым ауыр тереңге түседі, ал конвекцияның әсерінен олардың орнына судың суық массасы көтеріледі.
Көл суының барлық қалыңдығы бойынша температура 4°С жеткенде, үстіңгі қабаттардың одан әрі қызуы олардың температурасының жоғарылауына алып келеді, бірақ конвекцияның тереңдігіне жылудың таралуы болмайды. Су температурасының жер бетінен тереңдікте азаюымен сипатталатын тік термиялық стратификация пайда болады.
Күзде тікелей стратификация бұзылғаннан кейін және қайта стратификация бұзылғаннан кейін көктемде Орнатылатын тереңдік бойынша температура тұрақтылығының құбылысын Күзгі және көктемгі гомотермия деп атайды.
Тәуліктік жылу алмасу нәтижесінде көрсетілген сурет біршама күрделенеді. Көктемнен бастап, тікелей температуралық стратификация орнатылғаннан кейін, күні бойы судың жоғарғы қабаттары қызады, ал түнде күннің қызуы тоқтаған кезде салқындайды. Бұл процесс ақыр соңында судың кейбір беттік қабатындағы температураны теңестіруге әкеледі. Нәтижесінде, осы қабаттың төменгі шекарасында температура күрт өзгереді, ол температура секірудің қабаты деп аталады. Жаз бойы секіру қабаты тұрақсыз; көктемде пайда болған кезде, ол жазда тереңдей түседі және тек күзде ғана жоғалып кетеді.
(4)
BI 2 кезінде Ф кез келген мәндерінде осы коэффициенттің мәні 0, 95 < Аоб < 1 шегінде жатыр. Ауадағы суыту немесе қыздыру кезінде Bi саны, әдетте, 2-ден аз болғандықтан, Аоб = 1 алуға болады, ал Апов (2) формуласы бойынша есептеледі. Егер жылу беру коэффициенті өте жоғары болса (мысалы, суда салқындату кезінде не болады), онда (4) қатынасты қолдануға болады, тағы да АОБ арқылы (2) формуласы бойынша Апов есептей отырып.
Ац тұрақтылығының мәні үшін сенімді формулалар жоқ, сондықтан оны 1-кестеде анықтауға болады.
1-кесте. Ац коэффициентінің мәні
Қажет болған жағдайда суу уақытын табуға болады (берілген t температурасына дейін бетінде, ортасында немесе орташа облыстық) :
(5)
А орнына А-ның, Ац немесе Аоб-ның тиісті мәндерін орналастыра отырып.
Орташа көлемді температура мен үстіңгі қабаттың температурасы арасындағы байланыс:
(6)
Егер t температурасы бастыға жақын болса, онда (5) формуладағы логарифм астындағы өрнек бірліктен аз болуы мүмкін, яғни ф суыту (немесе қыздыру) уақыты өте аз және регся теориясы теріс болады. Бұл жерде жылу режимі қолданылмайтынын көрсетеді.
... жалғасы- Іс жүргізу
- Автоматтандыру, Техника
- Алғашқы әскери дайындық
- Астрономия
- Ауыл шаруашылығы
- Банк ісі
- Бизнесті бағалау
- Биология
- Бухгалтерлік іс
- Валеология
- Ветеринария
- География
- Геология, Геофизика, Геодезия
- Дін
- Ет, сүт, шарап өнімдері
- Жалпы тарих
- Жер кадастрі, Жылжымайтын мүлік
- Журналистика
- Информатика
- Кеден ісі
- Маркетинг
- Математика, Геометрия
- Медицина
- Мемлекеттік басқару
- Менеджмент
- Мұнай, Газ
- Мұрағат ісі
- Мәдениеттану
- ОБЖ (Основы безопасности жизнедеятельности)
- Педагогика
- Полиграфия
- Психология
- Салық
- Саясаттану
- Сақтандыру
- Сертификаттау, стандарттау
- Социология, Демография
- Спорт
- Статистика
- Тілтану, Филология
- Тарихи тұлғалар
- Тау-кен ісі
- Транспорт
- Туризм
- Физика
- Философия
- Халықаралық қатынастар
- Химия
- Экология, Қоршаған ортаны қорғау
- Экономика
- Экономикалық география
- Электротехника
- Қазақстан тарихы
- Қаржы
- Құрылыс
- Құқық, Криминалистика
- Әдебиет
- Өнер, музыка
- Өнеркәсіп, Өндіріс
Қазақ тілінде жазылған рефераттар, курстық жұмыстар, дипломдық жұмыстар бойынша біздің қор #1 болып табылады.

Ақпарат
Қосымша
Email: info@stud.kz